Journal of Agricultural Science and Technology ›› 2024, Vol. 26 ›› Issue (3): 91-97.DOI: 10.13304/j.nykjdb.2022.1066

• INTELLIGENT AGRICULTURE & AGRICULTURAL MACHINERY • Previous Articles     Next Articles

Research on Interpretation of Ramie Lodging Information Based on Unmanned Aerial Vehicles

Wei WANG(), Hongyu FU, Jianning LU, Yunkai YUE, Ruifang YANG(), Guoxian CUI(), Wei SHE   

  1. Ramie Research Institute,Hunan Agricultural University,Changsha 410128,China
  • Received:2022-12-07 Accepted:2023-03-22 Online:2024-03-15 Published:2024-03-07
  • Contact: Ruifang YANG,Guoxian CUI

基于无人机航拍的苎麻倒伏信息解译研究

王薇(), 付虹雨, 卢建宁, 岳云开, 杨瑞芳(), 崔国贤(), 佘玮   

  1. 湖南农业大学苎麻研究所,长沙 410128
  • 通讯作者: 杨瑞芳,崔国贤
  • 作者简介:王薇 E-mail:984140573@qq.com
  • 基金资助:
    国家重点研发计划项目(2018YFD0201106);国家现代农业产业技术体系建设项目(CARS-16-E11);国家自然科学基金项目(31471543);湖南省教育厅重点项目(23A0178)

Abstract:

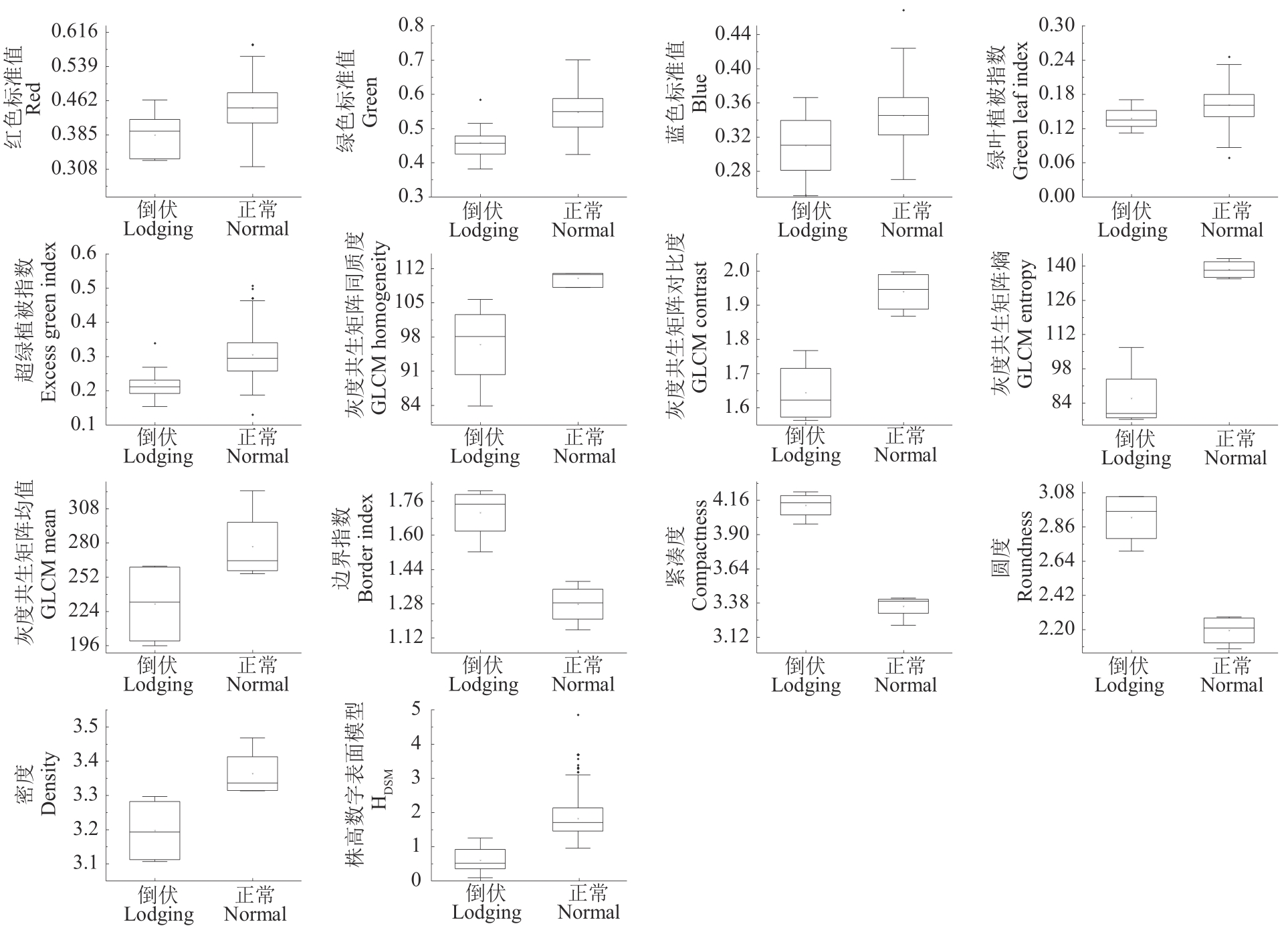
The most common damage to ramie tramet cultivation is stem loading. Traditional monitoring methods have drawbacks such as being time-consuming and inefficient. A method for obtaining ramie lodging information was investigated by unmanned aerial vehicles (UAV) in this study. Firstly, the canopy orthophoto and digital surface model (DSM) of ramie were created using Pix4D Mapper software. Then, the spectral, textural, and shape features of the canopy were extracted from the DSM, along with the canopy height index. Finally, a combination of 3 machine learning algorithms was used to createa classification model for normal and lodging canopies. The results showed that the DSM-based extracted plant height information could effectively replace the actual measured plant height in the field, with a model R2 of 0.899. The spectral, textural, shape, and height characteristics of fallen and normal ramets differed. The support vector machine and decision tree models outperformed the other learning algorithms, achieving 99% accuracy and efficiently identifying normal/lodging ramie plots. Above results provided technical assistance for accurate and rapid assessment of crop lodging.

Key words: ramie, lodging, unmanned aerial vehicles(UAV), visible light camera, digital surface model(DSM)

摘要:

茎杆倒伏是苎麻三麻培育中最常见的灾害,传统的监测方法具有耗时耗力、不及时等局限性。提出了一种基于无人机航拍获取苎麻倒伏信息的方法,首先利用Pix4D Mapper软件生成苎麻的冠层正射影像和数字表面模型(digital surface model,DSM),基于正射影像提取苎麻光谱、纹理及形状特征,基于DSM提取苎麻株高指标,最后结合3种机器学习算法构建正常/倒伏苎麻分类模型。结果表明,基于DSM提取的株高信息可以有效代替大田实测株高,模型R2为0.899。倒伏和正常苎麻在光谱、纹理、形状及株高特征上具有差异。在3种机器学习算法中,支持向量机和决策树模型的性能最好,准确率达到99%,能够高效地识别苎麻倒伏地块。以上研究结果为准确、快速评估作物倒伏情况提供了技术支撑。

关键词: 苎麻, 倒伏, 无人机, 可见光相机, 数字表面模型

CLC Number: