








Journal of Agricultural Science and Technology ›› 2025, Vol. 27 ›› Issue (6): 52-63.DOI: 10.13304/j.nykjdb.2024.0616
• BIOTECHNOLOGY & LIFE SCIENCE • Previous Articles Next Articles
Manhong WANG1,2(
), Meijuan XIAO3, Ahmad IRSHAD2, Eltyb Ahmed Nimir NIMIR4, Ibrahim El Dessougi HANADI4, Guisheng ZHOU2(
), Guanglong ZHU1,2(
)
Received:2024-08-02
Accepted:2024-12-03
Online:2025-06-15
Published:2025-06-23
Contact:
Guisheng ZHOU,Guanglong ZHU
王满红1,2(
), 肖梅娟3, IRSHAD Ahmad2, NIMIR Eltyb Ahmed Nimir4, HANADI Ibrahim El Dessougi4, 周桂生2(
), 朱广龙1,2(
)
通讯作者:
周桂生,朱广龙
作者简介:王满红 E-mail: mx120230760@stu.yzu.edu.cn
基金资助:CLC Number:
Manhong WANG, Meijuan XIAO, Ahmad IRSHAD, Eltyb Ahmed Nimir NIMIR, Ibrahim El Dessougi HANADI, Guisheng ZHOU, Guanglong ZHU. Identification and Evaluation of Salt Tolerance in Sorghum at Seedling Stage[J]. Journal of Agricultural Science and Technology, 2025, 27(6): 52-63.
王满红, 肖梅娟, IRSHAD Ahmad, NIMIR Eltyb Ahmed Nimir, HANADI Ibrahim El Dessougi, 周桂生, 朱广龙. 高粱苗期耐盐性鉴定与评价[J]. 中国农业科技导报, 2025, 27(6): 52-63.
Add to citation manager EndNote|Ris|BibTeX
URL: https://nkdb.magtechjournal.com/EN/10.13304/j.nykjdb.2024.0616
编号 Code | 品种名称 Variety name | 育成国家或地区 Breeding country or region |
|---|---|---|
| V1 | 龙杂23 Longza 23 | 黑龙江 Heilongjiang |
| V2 | 龙杂24 Longza 24 | 黑龙江 Heilongjiang |
| V3 | 龙杂35 Longza 35 | 黑龙江 Heilongjiang |
| V4 | 龙杂34 Longza 34 | 黑龙江 Heilongjiang |
| V5 | 龙杂21 Longza 21 | 黑龙江 Heilongjiang |
| V6 | 龙杂22 Longza 22 | 黑龙江 Heilongjiang |
| V7 | 龙杂27 Longza 27 | 黑龙江 Heilongjiang |
| V8 | 大力士 Hunnigreen | 美国 America |
| V9 | 大卡 Big Kahuna | 美国 America |
| V10 | 海牛 Hainiu | 澳大利亚 Australia |
| V11 | 绿宝红 Lyubaohong | 山西 Shanxi |
| V12 | 抗四 Kangsi | 山西 Shanxi |
| V13 | 晋杂12 Jingza 12 | 山西 Shanxi |
| V14 | 晋杂35 Jingza 35 | 山西 Shanxi |
| V15 | 佳矮60 Jiaai 60 | 山西 Shanxi |
| V16 | 晋红缨2号 Jinghongying 2 | 山西 Shanxi |
| V17 | 黄河 Huanghe | 山西 Shanxi |
| V18 | 鼎新糯 Dingxinnuo | 河北 Hebei |
| V19 | 冀梁6号 Jiliang 6 | 河北 Hebei |
Table 1 Sorghum varieties used in this study
编号 Code | 品种名称 Variety name | 育成国家或地区 Breeding country or region |
|---|---|---|
| V1 | 龙杂23 Longza 23 | 黑龙江 Heilongjiang |
| V2 | 龙杂24 Longza 24 | 黑龙江 Heilongjiang |
| V3 | 龙杂35 Longza 35 | 黑龙江 Heilongjiang |
| V4 | 龙杂34 Longza 34 | 黑龙江 Heilongjiang |
| V5 | 龙杂21 Longza 21 | 黑龙江 Heilongjiang |
| V6 | 龙杂22 Longza 22 | 黑龙江 Heilongjiang |
| V7 | 龙杂27 Longza 27 | 黑龙江 Heilongjiang |
| V8 | 大力士 Hunnigreen | 美国 America |
| V9 | 大卡 Big Kahuna | 美国 America |
| V10 | 海牛 Hainiu | 澳大利亚 Australia |
| V11 | 绿宝红 Lyubaohong | 山西 Shanxi |
| V12 | 抗四 Kangsi | 山西 Shanxi |
| V13 | 晋杂12 Jingza 12 | 山西 Shanxi |
| V14 | 晋杂35 Jingza 35 | 山西 Shanxi |
| V15 | 佳矮60 Jiaai 60 | 山西 Shanxi |
| V16 | 晋红缨2号 Jinghongying 2 | 山西 Shanxi |
| V17 | 黄河 Huanghe | 山西 Shanxi |
| V18 | 鼎新糯 Dingxinnuo | 河北 Hebei |
| V19 | 冀梁6号 Jiliang 6 | 河北 Hebei |
Fig. 1 Germination rate of each Sorghum variety under different salt level treatmentsNot:Different lowercase letters indicate significant differences between different salt level treatments of the same sorghum variety at P<0.05 level; code of variety same as Table 1.
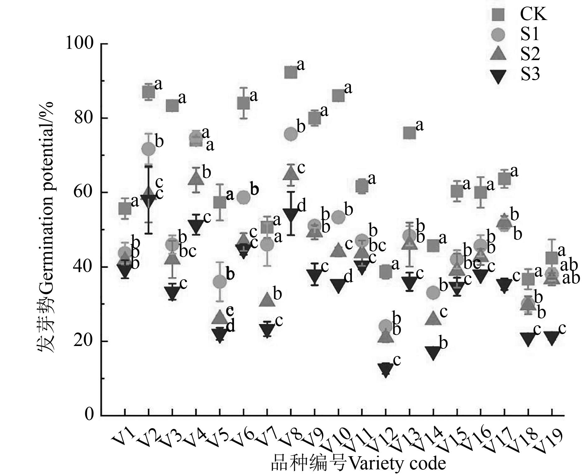
Fig. 2 Germination potential of each Sorghum variety under different salt level treatmentsNote:Different lowercase letters indicate significant differences between different salt level treatments of the same sorghum variety at P<0.05 level; code of variety same as Table 1 .
| 指标 Index | 处理 Treatment | 范围 Range | 均值 Mean | 标准差 Standard deviation | 变异系数 CV/% |
|---|---|---|---|---|---|
| 株高PH/cm | CK | 20.03~59.27 | 27.94 | 10.56 | 0.38 |
| S1 | 9.67~25.27 | 16.02 | 3.83 | 0.24 | |
| S2 | 7.13~16.80 | 11.69 | 3.02 | 0.26 | |
| S3 | ~11.47 | 5.70 | 2.76 | 0.48 | |
| 茎粗SD /mm | CK | 1.10~34.12 | 2.15 | 0.74 | 0.34 |
| S1 | 1.03~3.41 | 1.85 | 0.51 | 0.28 | |
| S2 | 0.92~2.44 | 1.66 | 0.36 | 0.22 | |
| S3 | ~1.72 | 1.25 | 0.48 | 0.38 | |
| 叶面积LA/cm2 | CK | 7.44~77.2 | 20.51 | 20.78 | 1.01 |
| S1 | 2.16~19.70 | 7.63 | 4.16 | 0.55 | |
| S2 | 1.31~ 9.09 | 4.35 | 2.10 | 0.48 | |
| S3 | ~3.95 | 1.59 | 1.19 | 0.75 | |
| 地上部鲜重AFW/mg | CK | 114.67~2 425.60 | 505.73 | 600.06 | 1.19 |
| S1 | 57.47~486.73 | 216.85 | 126.40 | 0.58 | |
| S2 | 26.53~270.87 | 126.41 | 66.03 | 0.52 | |
| S3 | ~88.70 | 50.57 | 27.83 | 0.55 | |
| 地上部干重 ADW/mg | CK | 6.67~74.00 | 28.92 | 19.51 | 0.67 |
| S1 | 4.30~34.30 | 29.45 | 19.41 | 0.66 | |
| S2 | 3.30~20.57 | 17.82 | 10.95 | 0.61 | |
| S3 | ~17.70 | 10.90 | 5.57 | 0.51 | |
| 地下部鲜重 RFW/mg | CK | 85.40~1 170.33 | 291.57 | 319.83 | 1.10 |
| S1 | 40.10~449.33 | 163.27 | 126.71 | 0.78 | |
| S2 | 35.73~208.63 | 92.49 | 44.94 | 0.49 | |
| S3 | ~79.93 | 48.91 | 26.00 | 0.53 | |
| 地下部干重 RDW/mg | CK | 14.90~271.97 | 50.57 | 70.55 | 1.40 |
| S1 | 8.77~77.57 | 24.59 | 21.98 | 0.89 | |
| S2 | 4.77~35.83 | 14.51 | 9.12 | 0.63 | |
| S3 | ~16.30 | 7.73 | 3.50 | 0.45 | |
| SPAD | CK | 15.47~33.33 | 23.53 | 4.08 | 0.17 |
| S1 | 14.77~37.60 | 24.17 | 6.23 | 0.26 | |
| S2 | 11.53~23.70 | 19.01 | 3.09 | 0.16 | |
| S3 | ~21.67 | 10.35 | 5.69 | 0.55 | |
| 总根长RL/cm | CK | 14.99~714.35 | 204.15 | 205.84 | 1.01 |
| S1 | 10.76~294.21 | 102.10 | 83.43 | 0.82 | |
| S2 | 3.75~164.65 | 43.39 | 42.50 | 0.98 | |
| S3 | ~25.38 | 8.89 | 0.61 | 0.07 | |
| 根总表面积 RSA/cm2 | CK | 2.11~84.49 | 20.88 | 24.94 | 1.19 |
| S1 | 0.922~6.09 | 9.10 | 7.90 | 0.87 | |
| S2 | 0.69~11.62 | 3.83 | 3.07 | 0.80 | |
| S3 | ~2.38 | 1.13 | 0.21 | 0.19 | |
| 根系总体积 RV/mm3 | CK | 27.00~809.00 | 166.02 | 226.26 | 1.36 |
| S1 | 14.67~231.33 | 72.51 | 65.23 | 0.90 | |
| S2 | 8.00~92.67 | 33.16 | 24.06 | 0.73 | |
| S3 | ~24.00 | 13.32 | 7.03 | 0.53 |
Table 2 measurements value of indicators in Sorghum cultivars under salt stress
| 指标 Index | 处理 Treatment | 范围 Range | 均值 Mean | 标准差 Standard deviation | 变异系数 CV/% |
|---|---|---|---|---|---|
| 株高PH/cm | CK | 20.03~59.27 | 27.94 | 10.56 | 0.38 |
| S1 | 9.67~25.27 | 16.02 | 3.83 | 0.24 | |
| S2 | 7.13~16.80 | 11.69 | 3.02 | 0.26 | |
| S3 | ~11.47 | 5.70 | 2.76 | 0.48 | |
| 茎粗SD /mm | CK | 1.10~34.12 | 2.15 | 0.74 | 0.34 |
| S1 | 1.03~3.41 | 1.85 | 0.51 | 0.28 | |
| S2 | 0.92~2.44 | 1.66 | 0.36 | 0.22 | |
| S3 | ~1.72 | 1.25 | 0.48 | 0.38 | |
| 叶面积LA/cm2 | CK | 7.44~77.2 | 20.51 | 20.78 | 1.01 |
| S1 | 2.16~19.70 | 7.63 | 4.16 | 0.55 | |
| S2 | 1.31~ 9.09 | 4.35 | 2.10 | 0.48 | |
| S3 | ~3.95 | 1.59 | 1.19 | 0.75 | |
| 地上部鲜重AFW/mg | CK | 114.67~2 425.60 | 505.73 | 600.06 | 1.19 |
| S1 | 57.47~486.73 | 216.85 | 126.40 | 0.58 | |
| S2 | 26.53~270.87 | 126.41 | 66.03 | 0.52 | |
| S3 | ~88.70 | 50.57 | 27.83 | 0.55 | |
| 地上部干重 ADW/mg | CK | 6.67~74.00 | 28.92 | 19.51 | 0.67 |
| S1 | 4.30~34.30 | 29.45 | 19.41 | 0.66 | |
| S2 | 3.30~20.57 | 17.82 | 10.95 | 0.61 | |
| S3 | ~17.70 | 10.90 | 5.57 | 0.51 | |
| 地下部鲜重 RFW/mg | CK | 85.40~1 170.33 | 291.57 | 319.83 | 1.10 |
| S1 | 40.10~449.33 | 163.27 | 126.71 | 0.78 | |
| S2 | 35.73~208.63 | 92.49 | 44.94 | 0.49 | |
| S3 | ~79.93 | 48.91 | 26.00 | 0.53 | |
| 地下部干重 RDW/mg | CK | 14.90~271.97 | 50.57 | 70.55 | 1.40 |
| S1 | 8.77~77.57 | 24.59 | 21.98 | 0.89 | |
| S2 | 4.77~35.83 | 14.51 | 9.12 | 0.63 | |
| S3 | ~16.30 | 7.73 | 3.50 | 0.45 | |
| SPAD | CK | 15.47~33.33 | 23.53 | 4.08 | 0.17 |
| S1 | 14.77~37.60 | 24.17 | 6.23 | 0.26 | |
| S2 | 11.53~23.70 | 19.01 | 3.09 | 0.16 | |
| S3 | ~21.67 | 10.35 | 5.69 | 0.55 | |
| 总根长RL/cm | CK | 14.99~714.35 | 204.15 | 205.84 | 1.01 |
| S1 | 10.76~294.21 | 102.10 | 83.43 | 0.82 | |
| S2 | 3.75~164.65 | 43.39 | 42.50 | 0.98 | |
| S3 | ~25.38 | 8.89 | 0.61 | 0.07 | |
| 根总表面积 RSA/cm2 | CK | 2.11~84.49 | 20.88 | 24.94 | 1.19 |
| S1 | 0.922~6.09 | 9.10 | 7.90 | 0.87 | |
| S2 | 0.69~11.62 | 3.83 | 3.07 | 0.80 | |
| S3 | ~2.38 | 1.13 | 0.21 | 0.19 | |
| 根系总体积 RV/mm3 | CK | 27.00~809.00 | 166.02 | 226.26 | 1.36 |
| S1 | 14.67~231.33 | 72.51 | 65.23 | 0.90 | |
| S2 | 8.00~92.67 | 33.16 | 24.06 | 0.73 | |
| S3 | ~24.00 | 13.32 | 7.03 | 0.53 |
品种编号 Variety code | 耐盐系数 Salt resistance coefficient | ||||||||||||
|---|---|---|---|---|---|---|---|---|---|---|---|---|---|
株高 PH | 茎粗 SD | 叶面积 LA | 地上部鲜重 AFW | 地上部干重 SDW | 地下部鲜重 RFW | 地下部 干重 RDW | SPAD | 总根长 RL | 根总表面积 RSA | 根系 总体积 RV | |||
| V1 | 0.30 | 0.60 | 0.09 | 0.20 | 0.16 | 0.27 | 0.40 | 0.50 | 0.03 | 0.05 | 0.06 | ||
| V2 | 0.33 | 0.77 | 0.27 | 0.22 | 0.44 | 0.31 | 0.37 | 0.82 | 0.16 | 0.11 | 0.10 | ||
| V3 | 0.27 | 0.63 | 0.15 | 0.26 | 0.29 | 0.40 | 0.34 | 0.83 | 0.10 | 0.13 | 0.16 | ||
| V4 | 0.25 | 0.76 | 0.07 | 0.18 | 0.43 | 0.32 | 0.33 | 0.43 | 0.06 | 0.10 | 0.16 | ||
| V5 | 0.17 | 0.46 | 0.01 | 0.09 | 0.25 | 0.26 | 0.22 | 0.32 | 0.02 | 0.05 | 0.09 | ||
| V6 | 0.23 | 0.84 | 0.17 | 0.20 | 0.46 | 0.36 | 0.36 | 0.54 | 0.05 | 0.07 | 0.13 | ||
| V7 | 0.24 | 0.75 | 0.05 | 0.19 | 0.30 | 0.28 | 0.25 | 0.37 | 0.05 | 0.08 | 0.11 | ||
| V8 | 0.13 | 0.48 | 0.02 | 0.03 | 0.09 | 0.06 | 0.04 | 0.27 | 0.01 | 0.02 | 0.02 | ||
| V9 | 0.08 | 0.33 | 0.03 | 0.01 | 0.05 | 0.06 | 0.02 | 0.24 | 0.02 | 0.02 | 0.03 | ||
| V10 | 0.14 | 0.50 | 0.03 | 0.06 | 0.13 | 0.12 | 0.09 | 0.47 | 0.01 | 0.02 | 0.04 | ||
| V11 | 0.32 | 0.77 | 0.22 | 0.23 | 0.43 | 0.18 | 0.47 | 0.21 | 0.08 | 0.09 | 0.47 | ||
| V12 | 0.14 | 0.72 | 0.06 | 0.11 | 0.70 | 0.23 | 0.30 | 0.58 | 0.03 | 0.09 | 0.29 | ||
| V13 | 0.48 | 0.77 | 0.31 | 0.42 | 0.57 | 0.25 | 0.62 | 0.64 | 0.17 | 0.18 | 0.50 | ||
| V14 | |||||||||||||
| V15 | 0.26 | 0.19 | 0.14 | 0.15 | 0.23 | 0.27 | 0.23 | 0.26 | 0.08 | 0.23 | 0.22 | ||
| V16 | |||||||||||||
| V17 | 0.38 | 0.83 | 0.30 | 0.43 | 0.62 | 0.71 | 0.42 | 0.69 | 0.58 | 0.77 | 0.71 | ||
| V18 | 0.25 | 0.73 | 0.14 | 0.29 | 0.11 | 0.24 | 0.25 | 0.39 | 0.42 | 0.18 | 0.56 | ||
| V19 | 0.19 | 0.48 | 0.08 | 0.12 | 0.31 | 0.18 | 0.16 | 0.84 | 0.21 | 0.35 | 0.50 | ||
平均值 Average | 0.26 | 0.62 | 0.13 | 0.19 | 0.26 | 0.27 | 0.29 | 0.50 | 0.12 | 0.15 | 0.24 | ||
标准差 Standard deviation | 0.10 | 0.19 | 0.10 | 0.12 | 0.19 | 0.15 | 0.15 | 0.21 | 0.15 | 0.18 | 0.21 | ||
| 变异系数CV/% | 0.38 | 0.30 | 0.78 | 0.63 | 0.72 | 0.56 | 0.53 | 0.43 | 1.27 | 1.21 | 0.87 | ||
Table 3 Individual salt tolerance coefficients for each index at seedling stage of Sorghum varieties
品种编号 Variety code | 耐盐系数 Salt resistance coefficient | ||||||||||||
|---|---|---|---|---|---|---|---|---|---|---|---|---|---|
株高 PH | 茎粗 SD | 叶面积 LA | 地上部鲜重 AFW | 地上部干重 SDW | 地下部鲜重 RFW | 地下部 干重 RDW | SPAD | 总根长 RL | 根总表面积 RSA | 根系 总体积 RV | |||
| V1 | 0.30 | 0.60 | 0.09 | 0.20 | 0.16 | 0.27 | 0.40 | 0.50 | 0.03 | 0.05 | 0.06 | ||
| V2 | 0.33 | 0.77 | 0.27 | 0.22 | 0.44 | 0.31 | 0.37 | 0.82 | 0.16 | 0.11 | 0.10 | ||
| V3 | 0.27 | 0.63 | 0.15 | 0.26 | 0.29 | 0.40 | 0.34 | 0.83 | 0.10 | 0.13 | 0.16 | ||
| V4 | 0.25 | 0.76 | 0.07 | 0.18 | 0.43 | 0.32 | 0.33 | 0.43 | 0.06 | 0.10 | 0.16 | ||
| V5 | 0.17 | 0.46 | 0.01 | 0.09 | 0.25 | 0.26 | 0.22 | 0.32 | 0.02 | 0.05 | 0.09 | ||
| V6 | 0.23 | 0.84 | 0.17 | 0.20 | 0.46 | 0.36 | 0.36 | 0.54 | 0.05 | 0.07 | 0.13 | ||
| V7 | 0.24 | 0.75 | 0.05 | 0.19 | 0.30 | 0.28 | 0.25 | 0.37 | 0.05 | 0.08 | 0.11 | ||
| V8 | 0.13 | 0.48 | 0.02 | 0.03 | 0.09 | 0.06 | 0.04 | 0.27 | 0.01 | 0.02 | 0.02 | ||
| V9 | 0.08 | 0.33 | 0.03 | 0.01 | 0.05 | 0.06 | 0.02 | 0.24 | 0.02 | 0.02 | 0.03 | ||
| V10 | 0.14 | 0.50 | 0.03 | 0.06 | 0.13 | 0.12 | 0.09 | 0.47 | 0.01 | 0.02 | 0.04 | ||
| V11 | 0.32 | 0.77 | 0.22 | 0.23 | 0.43 | 0.18 | 0.47 | 0.21 | 0.08 | 0.09 | 0.47 | ||
| V12 | 0.14 | 0.72 | 0.06 | 0.11 | 0.70 | 0.23 | 0.30 | 0.58 | 0.03 | 0.09 | 0.29 | ||
| V13 | 0.48 | 0.77 | 0.31 | 0.42 | 0.57 | 0.25 | 0.62 | 0.64 | 0.17 | 0.18 | 0.50 | ||
| V14 | |||||||||||||
| V15 | 0.26 | 0.19 | 0.14 | 0.15 | 0.23 | 0.27 | 0.23 | 0.26 | 0.08 | 0.23 | 0.22 | ||
| V16 | |||||||||||||
| V17 | 0.38 | 0.83 | 0.30 | 0.43 | 0.62 | 0.71 | 0.42 | 0.69 | 0.58 | 0.77 | 0.71 | ||
| V18 | 0.25 | 0.73 | 0.14 | 0.29 | 0.11 | 0.24 | 0.25 | 0.39 | 0.42 | 0.18 | 0.56 | ||
| V19 | 0.19 | 0.48 | 0.08 | 0.12 | 0.31 | 0.18 | 0.16 | 0.84 | 0.21 | 0.35 | 0.50 | ||
平均值 Average | 0.26 | 0.62 | 0.13 | 0.19 | 0.26 | 0.27 | 0.29 | 0.50 | 0.12 | 0.15 | 0.24 | ||
标准差 Standard deviation | 0.10 | 0.19 | 0.10 | 0.12 | 0.19 | 0.15 | 0.15 | 0.21 | 0.15 | 0.18 | 0.21 | ||
| 变异系数CV/% | 0.38 | 0.30 | 0.78 | 0.63 | 0.72 | 0.56 | 0.53 | 0.43 | 1.27 | 1.21 | 0.87 | ||
Fig. 4 Correlation analysis of individual salt tolerance coefficients of Sorghum varieties for each indicatorNote:* and ** indicatesignificant correlations at P<0.05 and P<0.01 levels,respectively.
| 指标 Index | 主成分Principal component | ||
|---|---|---|---|
| 1 | 2 | 3 | |
| 株高 PH | 0.83 | -0.23 | -0.28 |
| 茎粗 SD | 0.63 | 0.05 | 0.40 |
| 叶面积 LA | 0.81 | -0.25 | -0.35 |
| 地上部鲜重 AFW | 0.84 | 0.14 | 0.03 |
| 地上部干重 ADW | 0.46 | 0.80 | 0.07 |
| 地下部鲜重 RFW | 0.54 | 0.44 | 0.59 |
| 地下部干重 RDW | 0.63 | -0.68 | 0.07 |
| SPAD | 0.61 | 0.44 | -0.37 |
| 总根长RL | 0.81 | 0.29 | -0.34 |
| 根总表面积 RSA | 0.89 | -0.16 | 0.12 |
| 根系体积 RV | 0.64 | -0.45 | 0.38 |
| 特征值Characteristic value | 5.57 | 1.94 | 1.12 |
| 贡献率Contribution rate/% | 50.66 | 17.66 | 10.18 |
| 累计贡献率Cumulative contribution rate/% | 50.66 | 68.32 | 78.50 |
| 因子权重Factor weight | 0.59 | 0.20 | 0.12 |
Table 4 Eigenvectors and contribution rates of principal components of each indicator for 19 sorghum varieties
| 指标 Index | 主成分Principal component | ||
|---|---|---|---|
| 1 | 2 | 3 | |
| 株高 PH | 0.83 | -0.23 | -0.28 |
| 茎粗 SD | 0.63 | 0.05 | 0.40 |
| 叶面积 LA | 0.81 | -0.25 | -0.35 |
| 地上部鲜重 AFW | 0.84 | 0.14 | 0.03 |
| 地上部干重 ADW | 0.46 | 0.80 | 0.07 |
| 地下部鲜重 RFW | 0.54 | 0.44 | 0.59 |
| 地下部干重 RDW | 0.63 | -0.68 | 0.07 |
| SPAD | 0.61 | 0.44 | -0.37 |
| 总根长RL | 0.81 | 0.29 | -0.34 |
| 根总表面积 RSA | 0.89 | -0.16 | 0.12 |
| 根系体积 RV | 0.64 | -0.45 | 0.38 |
| 特征值Characteristic value | 5.57 | 1.94 | 1.12 |
| 贡献率Contribution rate/% | 50.66 | 17.66 | 10.18 |
| 累计贡献率Cumulative contribution rate/% | 50.66 | 68.32 | 78.50 |
| 因子权重Factor weight | 0.59 | 0.20 | 0.12 |
品种编号 Variety code | μ:隶属函数值 Membership function value | D:耐盐性度量 Salt tolerance measure | B:综合耐盐系数 Salt tolerance coefficient | |||||
|---|---|---|---|---|---|---|---|---|
| μ1 | μ2 | μ3 | μ4 | 值 Value | 排名Ranking | 值 Value | 排名Ranking | |
| V1 | 0.39 | 0.63 | 0.42 | 0.24 | 0.43 | 11 | 0.24 | 12 |
| V2 | 0.84 | 1.00 | 0.00 | 0.51 | 0.74 | 1 | 0.36 | 3 |
| V3 | 0.65 | 0.95 | 0.36 | 0.89 | 0.70 | 3 | 0.32 | 5 |
| V4 | 0.66 | 0.85 | 1.00 | 0.71 | 0.74 | 2 | 0.28 | 10 |
| V5 | 0.17 | 0.76 | 0.68 | 0.59 | 0.39 | 13 | 0.18 | 14 |
| V6 | 0.50 | 0.76 | 0.70 | 0.37 | 0.57 | 8 | 0.31 | 8 |
| V7 | 0.48 | 0.73 | 0.86 | 0.55 | 0.58 | 6 | 0.24 | 11 |
| V8 | 0.42 | 0.46 | 0.96 | 0.41 | 0.49 | 10 | 0.11 | 16 |
| V9 | 0.45 | 0.39 | 0.92 | 1.00 | 0.54 | 9 | 0.08 | 17 |
| V10 | 0.62 | 0.41 | 0.91 | 0.35 | 0.58 | 7 | 0.15 | 15 |
| V11 | 0.55 | 0.00 | 0.53 | 0.44 | 0.42 | 12 | 0.31 | 6 |
| V12 | 0.14 | 0.59 | 0.71 | 0.65 | 0.35 | 14 | 0.30 | 9 |
| V13 | 1.00 | 0.05 | 0.31 | 0.68 | 0.70 | 5 | 0.45 | 2 |
| V14 | 18 | 18 | ||||||
| V15 | 0.00 | 0.43 | 0.12 | 0.87 | 0.18 | 17 | 0.21 | 13 |
| V16 | 19 | 19 | ||||||
| V17 | 0.79 | 0.36 | 0.75 | 0.77 | 0.70 | 4 | 0.59 | 1 |
| V18 | 0.28 | 0.38 | 0.36 | 0.00 | 0.28 | 16 | 0.32 | 4 |
| V19 | 0.23 | 0.30 | 0.41 | 0.96 | 0.33 | 15 | 0.31 | 7 |
平均值 Average | 0.49 | 0.34 | ||||||
变异系数 CV/% | 0.15 | 0.24 | ||||||
Table 5 Salt tolerance affiliation function analysis of 19 sorghum varieties
品种编号 Variety code | μ:隶属函数值 Membership function value | D:耐盐性度量 Salt tolerance measure | B:综合耐盐系数 Salt tolerance coefficient | |||||
|---|---|---|---|---|---|---|---|---|
| μ1 | μ2 | μ3 | μ4 | 值 Value | 排名Ranking | 值 Value | 排名Ranking | |
| V1 | 0.39 | 0.63 | 0.42 | 0.24 | 0.43 | 11 | 0.24 | 12 |
| V2 | 0.84 | 1.00 | 0.00 | 0.51 | 0.74 | 1 | 0.36 | 3 |
| V3 | 0.65 | 0.95 | 0.36 | 0.89 | 0.70 | 3 | 0.32 | 5 |
| V4 | 0.66 | 0.85 | 1.00 | 0.71 | 0.74 | 2 | 0.28 | 10 |
| V5 | 0.17 | 0.76 | 0.68 | 0.59 | 0.39 | 13 | 0.18 | 14 |
| V6 | 0.50 | 0.76 | 0.70 | 0.37 | 0.57 | 8 | 0.31 | 8 |
| V7 | 0.48 | 0.73 | 0.86 | 0.55 | 0.58 | 6 | 0.24 | 11 |
| V8 | 0.42 | 0.46 | 0.96 | 0.41 | 0.49 | 10 | 0.11 | 16 |
| V9 | 0.45 | 0.39 | 0.92 | 1.00 | 0.54 | 9 | 0.08 | 17 |
| V10 | 0.62 | 0.41 | 0.91 | 0.35 | 0.58 | 7 | 0.15 | 15 |
| V11 | 0.55 | 0.00 | 0.53 | 0.44 | 0.42 | 12 | 0.31 | 6 |
| V12 | 0.14 | 0.59 | 0.71 | 0.65 | 0.35 | 14 | 0.30 | 9 |
| V13 | 1.00 | 0.05 | 0.31 | 0.68 | 0.70 | 5 | 0.45 | 2 |
| V14 | 18 | 18 | ||||||
| V15 | 0.00 | 0.43 | 0.12 | 0.87 | 0.18 | 17 | 0.21 | 13 |
| V16 | 19 | 19 | ||||||
| V17 | 0.79 | 0.36 | 0.75 | 0.77 | 0.70 | 4 | 0.59 | 1 |
| V18 | 0.28 | 0.38 | 0.36 | 0.00 | 0.28 | 16 | 0.32 | 4 |
| V19 | 0.23 | 0.30 | 0.41 | 0.96 | 0.33 | 15 | 0.31 | 7 |
平均值 Average | 0.49 | 0.34 | ||||||
变异系数 CV/% | 0.15 | 0.24 | ||||||
| 1 | 陆宝金,田生昌,左忠,等.盐渍化土地可持续利用研究综述及展望[J].宁夏大学学报(自然科学版),2023,44(1):79-88. |
| LU B J, TIAN S C, ZUO Z, et al.. Review and prospect on sustainable utilization of salinized land [J]. J. Ningxia Univ. (Nat. Sci. ), 2023,44(1): 79-88. | |
| 2 | 章志,周凯,林伟波,等.基于生态服务功能重要性和生态脆弱性的沿海滩涂生态重要性识别与管控[J].江苏海洋大学学报(自然科学版),2024,33(2):31-39. |
| ZHANG Z, ZHOU K, LIN W B, et al.. Identification and management of the ecological importance of tidal flat based on the importance of ecological service functions and ecological fragility [J]. J. Jiangsu Ocean. Univ.(Nat.Sci.), 2024, 33(2):31-39. | |
| 3 | 孙现军, 胡正, 姜雪敏, 等.大豆种质资源苗期耐盐性鉴定评价与筛选[J].作物学报,2024,50(9):2179-2186. |
| SUN X J, HU Z, JIANG X M, et al.. Identification,evaluation and screening of salt-tolerant of soybean germplasm resources at seedling stage [J]. Acta Agron. Sin., 2024, 50(9): 2179-2186. | |
| 4 | 孙盛楠,严学兵,尹飞虎.我国沿海滩涂盐碱地改良与综合利用现状与展望[J].中国草地学报,2024,46(2):1-13. |
| SUN S N, YAN X B, YIN F H. Current situation and prospect of improvement and comprehensive utilization for saline-alkali land of coastal tidal flats in China [J]. Chin. J. Grassland, 2024,46(2):1-13. | |
| 5 | 穆志新,李萌,秦慧彬.高粱芽期耐盐指标筛选及耐盐性评价[J].山西农业科学,2017,45(7):1075-1079. |
| MU Z X, LI M, QIN H B. Screening of salt tolerance indices and salt tolerance evaluation of Sorghum germplasm resources at germination stage [J]. J. Shanxi Agric. Sci., 2017, 45(7):1075-1079. | |
| 6 | 徐鹏,李春宏,范昕琦,等.高粱CIPK家族基因的全基因组鉴定及非生物胁迫下的表达特征[J].江苏农业学报,2024,40(4):591-598. |
| XU P, LI C H, FAN X Q,et al..Whole genome-wide identification of CIPK family and their expression characteristics under abiotic stress in Sorghum bicolor [J].Jiangsu J. Agric. Sci., 2024, 40(4): 591-598. | |
| 7 | KAUR M, GUPTA N, KAUR N, et al.. Preliminary screening of Sorghum (Sorghum bicolor L.) germplasm for salinity stress tolerance at the early seedling stage [J]. Cereal Res.Commun., 2023, 51(3):603-613. |
| 8 | BEYAZ R, KIR H. Physio-biochemical analyses in seedlings of Sorghum-sudangrass hybrids that are grown under salt stress under in vitro conditions [J]. Turk.J.Biochem., 2020,45(2):177-184. |
| 9 | DESOKY E S M, MERWAD A R M, RADY M M. Natural biostimulants improve saline soil characteristics and salt stressed-Sorghum performance [J]. Commun.Soil Sci.Plant Anal., 2018, 49(8): 967-983. |
| 10 | JAYANTI T, HIMANI P, ANURAG M,et al.. Growth performance,nutritional status,forage yield and photosynthetic use efficiency of Sorghum [Sorghum bicolor (L.) Moench] under salt stress [J]. Range Manag. Agrofor., 2021, 42(1): 59-70. |
| 11 | GERESSU K, GEZAGHEGNE M. Response of some lowland growing Sorghum (Sorghum bicolor L.Moench) accessions to salt stress during germination and seedling growth [J]. Afr.J.Agric. Res., 2008, 3: 44-48. |
| 12 | KAUR N, SOHU R S, BHARDWAJ R, et al.. Forage quality analysis in response to salt stress and plant maturity in Sorghum [J/OL]. Cereal Res.Commun., 2024, 52(1): 5 [2024-07-06]. . |
| 13 | 张会慧,龙静泓,王均睿,等.不同种类盐胁迫对高粱幼苗生长及叶片光合机构功能的影响[J].生态学杂志,2019,38(1):161-172. |
| ZHANG H H, LONG J H, WANG J R, et al.. Effects of different salt stress conditions on growth of Sorghum seedlings and function of leaf photosynthetic apparatus [J]. Chin. J. Ecol., 2019, 38(1): 161-172. | |
| 14 | 阿曼姑·艾麦尔艾力,乃比·阿不来提,李陈建,等.盐胁迫对6个品种饲用甜高粱种子萌发和幼苗生长的影响[J].种子,2024,43(5):137-146. |
| Aimaieraili Amangu, Abulaiti Naibi, LI C J, et al.. Effects of salt stress on seed germination and seedling growth of 6 forage Sorghum dochna varieties [J]. Seed,2024,43(5):137-146. | |
| 15 | 徐晓雪,孙飞,肖梦颖,等.高粱品种萌发期耐盐性筛选与鉴定[J].种子,2020,39(8):6-11. |
| XU X X, SUN F, XIAO M Y, et al.. Screening and identification of salt-tolerant Sorghum varieties at germination stage [J]. Seed, 2020, 39(8):6-11. | |
| 16 | 孙璐,周宇飞,汪澈,等.高粱品种萌发期耐盐性筛选与鉴定[J].中国农业科学,2012,45(9):1714-1722. |
| SUN L, ZHOU Y F, WANG C, et al.. Screening and identification of Sorghum cultivars for salinity tolerance during germination [J]. Sci. Agric. Sin., 2012, 45(9): 1714-1722. | |
| 17 | 王春语,张丽霞,王平,等.高粱种子萌发期耐盐材料的筛选与鉴定[J].西南农业学报,2018,31(11):2229-2234. |
| WANG C Y, ZHANG L X, WANG P, et al.. Screening and identification of salt resistant materials of Sorghum at seed germination stage [J]. Southwest China J.Agric.Sci., 2018,31(11): 2229-2234. | |
| 18 | DING T L, YANG Z, WEI X C, et al.. Evaluation of salt-tolerant germplasm and screening of the salt-tolerance traits of sweet Sorghum in the germination stage [J]. Funct. Plant Biol., 2018, 45(10): 1073-1081. |
| 19 | 李晓菲,高华伟,广慧,等.大豆种质资源萌发期耐莠去津鉴定评价及优异种质筛选[J].作物学报,2024,50(7):1699-1709. |
| LI X F, GAO H W, GUANG H, et al.. Identification and evaluation of atrazine tolerance of soybean germplasm resources at germination stage and screening of excellent germplasm [J]. Acta Agron. Sin., 2024, 50(7):1699-1709. | |
| 20 | 王宁,万畅,高山,等.80份紫花苜蓿品种苗期耐盐性筛选与评价[J].草业科学,2024,41(3):684-699. |
| WANG N, WAN C, GAO S, et al.. Screening and evaluation of salt tolerance of 80 alfalfa varieties at the seedling stage [J]. Pratac. Sci., 2024, 41(3):684-699. | |
| 21 | 陈晨,程大伟,李兰,等.油菜素内酯调控植物耐盐机理研究进展[J].中国农业科技导报,2024,26(2):1-12. |
| CHEN C, CHENG D W, LI L, et al.. Research progress on mechanism of brassinosteroids regulating plant salt tolerance [J]. J. Agric. Sci. Technol., 2024, 26(2):1-12. | |
| 22 | ZHANG R, ZHANG H Z, WANG L, et al.. Effect of salt-alkali stress on seed germination of the halophyte Halostachys caspica [J/OL]. Sci.Rep., 2024,14(1):13199 [2024-07-06]. . |
| 23 | 彭玉琳, 曾凡茹, 东强, 等. 干旱胁迫对青稞种子萌发期的影响及抗旱性评价[J]. 江苏农业科学, 2023, 51(4): 91-99. |
| PENG Y L, ZENG F R, DONG Q, et al.. Effect of drought stress on seed germination period of barley and evaluation of drought resistance [J]. Jiangsu J. Agric. Sci., 2023, 51(4): 91-99. | |
| 24 | HOSTETLER A N, MORAIS DE SOUSA TINOCO S, SPARKS E E. Root responses to abiotic stress:a comparative look at root system architecture in maize and Sorghum [J]. J.Exp.Bot., 2024, 75(2):553-562. |
| 25 | RAJABI DEHNAVI A, ZAHEDI M, LUDWICZAK A, et al.. Effect of salinity on seed germination and seedling development of Sorghum (Sorghum bicolor (L.) moench) genotypes [J]. Agronomy,2020, 10(6): 859-874. |
| 26 | AHMED A M, WAIS A H, DITTA A, et al.. Seed germination and early seedling growth of Sorghum (Sorghum bicolor L.moench) genotypes under salinity stress [J]. Pol.J.Environ.Stud., 2024, 33(3):3019-3032. |
| 27 | 梁俊杰,杨慧勇,张福耀.高粱耐盐种质筛选及耐盐种质多态性分析[J].山西农业科学,2013,41(5):401-406, 411. |
| LIANG J J, YANG H Y, ZHANG F Y. Salinity tolerance screening and salt-tolerant germplasm SSR polymorphism analysis in Sorghum [J]. J. Shanxi Agric.Sci., 2013, 41(5):401-406, 411. | |
| 28 | 宝力格,陆平,史梦莎,等.中国高粱地方种质芽期苗期耐盐性筛选及鉴定[J].作物学报,2020,46(5):734-753. |
| BAO L G, LU P, SHI M S, et al.. Screening and identification of Chinese Sorghum landraces for salt tolerance at germination and seedling stages [J]. Acta Agron. Sin., 2020, 46(5):734-753. | |
| 29 | 苗宇,张浩阳,张丽佳,等.少量NaCl缓解KCl胁迫对紫花苜蓿幼苗根系和叶片光合活性的影响[J].草业科学,2022,39(5):930-939. |
| MIAO Y, ZHANG H Y, ZHANG L J, et al.. Effects of small amounts of NaCl on alleviating damage caused to the photosynthetic activity of alfalfa seedling roots and leaves by KCl stress [J]. Pratac. Sci., 2022, 39(5): 930-939. | |
| 30 | 胡亮亮,王素华,王丽侠,等.绿豆种质资源苗期耐盐性鉴定及耐盐种质筛选[J].作物学报,2022,48(2):367-379. |
| HU L L, WANG S H, WANG L X, et al.. Identification of salt tolerance and screening of salt tolerant germplasm of mungbean(Vigna radiate L.) at seedling stage [J]. Acta Agron. Sin., 2022,48(2):367-379. | |
| 31 | 高春华,朱金英,张华文,等.38个粒用高粱品种芽期耐盐性的综合鉴定及评价[J].核农学报,2019,33(9):1841-1855. |
| GAO C H, ZHU J Y, ZHANG H W, et al.. Comprehensive identification and evaluation of 38 grain Sorghum cultivars for tolerance during germination [J]. J. Nucl. Agric. Sci., 2019,33(9):1841-1855. | |
| 32 | 周福平,柳青山,张一中,等.高粱幼苗耐盐指标筛选及耐盐性评价[J].山西农业科学,2015,43(9):1076-1079, 1083. |
| ZHOU F P, LIU Q S, ZHANG Y Z, et al.. Selection of salt tolerance indices and salt tolerance evaluation of various Sorghum at its seedling stages [J]. J. Shanxi Agric. Sci., 2015,43(9):1076-1079, 1083. | |
| 33 | 范娜,白文斌,彭之东,等.粒用高粱耐盐种质资源鉴选与评价[J].干旱地区农业研究,2018,36(3):72-78. |
| FAN N, BAI W B, PENG Z D, et al.. Identification and evaluation of salt-tolerant Sorghum germplasm resources [J]. Agric. Res. Arid Areas, 2018, 36(3):72-78. |
| [1] | Tingting MA, Yanrong ZHAO, Yuqing WEI, Yuejuan WANG, Xuefei WANG, Erdong ZHANG. Dynamic Characteristics of Stem Growth and Sugar Accumulation of Sweet Sorghum at Late Growth Stage Under Soil Salt Stress [J]. Journal of Agricultural Science and Technology, 2025, 27(2): 42-50. |
| [2] | Chen CHEN, Dawei CHENG, Lan LI, Hong GU, Xizhi GUO, Ming LI, Jinyong CHEN. Research Progress on Mechanism of Brassinosteroids Regulating Plant Salt Tolerance [J]. Journal of Agricultural Science and Technology, 2024, 26(2): 1-12. |
| [3] | Wenjun YANG, Yuting ZHU, Jie ZHANG, Kaixiang XU, Congmin WEI, Quanjia CHEN. Meta-analysis of QTL for Salt Tolerance-related Traits at Seeding Stage in Cotton [J]. Journal of Agricultural Science and Technology, 2023, 25(12): 26-34. |
| [4] | Hongliang CUI, Xiaoxiao SONG, Qing YAO, Wangang AN, Bao XING, Peiyou QIN. Physiological Responses of Different Quinoa Varieties to Salt Stress and Evaluation of Salt Tolerance in Yili Valley [J]. Journal of Agricultural Science and Technology, 2022, 24(5): 32-45. |
| [5] | WANG Fangfang1,2, LI Yuxiang2, LIANG Yuhang2, HUANG Rongfeng2, ZHANG Yuqiong1*, QIN Hua2*. Map-based Cloning of Rice Short Coleoptile Gene SCP1 [J]. Journal of Agricultural Science and Technology, 2020, 22(11): 17-25. |
| [6] | DUAN Min1, XIE Liujie1, ZHU Yajun2, HUANG Shanjun1, PAN Xiaobiao1*, XU Jianlong2,3*. salt tolerance; survival rate; SSR molecular marker; quantitative trait locus; genetic linkage mapQTL Mapping of Seedling Survival Rate Under Salt Stress in Rice (Oryza sativa L.) [J]. Journal of Agricultural Science and Technology, 2019, 21(9): 25-35. |
| [7] | GUO Guangyan§, YANG Yaling§, CAO Lu, LIU Wei, BI Caili*. RF2 Basic Leucine Zipper Transcription Factor TabZIP3 Involved in Salt Stress Response in Wheat [J]. Journal of Agricultural Science and Technology, 2019, 21(6): 20-27. |
| [8] | SUN Fan1§, JI Dongwu2§, HUANG Fei1, WANG Yinxiao1, XIE Ziyan1, WANG Wensheng1*. Effects of DNA Methylation Inhibitor on Growth and Salt Tolerance of Rice Seedlings [J]. Journal of Agricultural Science and Technology, 2019, 21(6): 28-35. |
| [9] | REN Fuli1,2, PAN Yinghong3, ZHANG Xiaoxiao2, PU Weijun2, MU Yongying3, LI Yubin2, ZHANG Hua1*, ZHU Li2*. Comprehensive Evaluation Method for Sorghum Salt Tolerance Based on Multilevel Phenotypic Analysis [J]. Journal of Agricultural Science and Technology, 2019, 21(6): 152-162. |
| [10] | LI Li-li1, JIANG Qi-yan2*, NIU Feng-juan2, HU Zheng2, ZHANG Hui2*. Research Progress on Salt Tolerance Mechanisms in Quinoa [J]. Journal of Agricultural Science and Technology, 2016, 18(2): 31-40. |
| [11] | ZHAI Hong-hong1,2, MENG Zhi-gang1, ZHANG Rui1, SUN Guo-qing1, MENG Zhao-hong1, L. Overexpression of AtNEK6 Gene Improves Drought and Salt Tolerance in Transgenic Tobacco [J]. Journal of Agricultural Science and Technology, 2015, 17(6): 29-36. |
| [12] | CHE Wen-li1,2, ZHANG Shu-ling1, WU Li-zhu3, YANG Guo-jun4, DONG Li-jun1, DU Huan. Analysis of Salt-tolerant Ability in Transgenic Cotton (Gossypium hirsutum L.) with AlHAK1 [J]. , 2015, 17(1): 49-56. |
| [13] | HAN Yu\|cui1, YE Kai2, HOU Sheng\|lin1, TU Zhen\|dong2, LV Peng1, DU Rui\|heng1,. Progress on Molecular Biology of Salinity Tolerance in Sorghum [J]. , 2014, 16(4): 65-70. |
| [14] | SUN Na1, WANG Jin2, ZUO Kai\|jing1*. Cloning and Functional Analysis of GhbHLH4 Gene from Upland Cotton [J]. , 2014, 16(3): 29-35. |
| [15] |
WAN Lu-zhang1, WAN Shu-bo1, ZHANG Zheng1, GUO Hong-hai1, GAO Xia2, ZHAO Jin-you3.
Studies on Screening Flammulina velutipes Cultivated with Peanut Stems and Technologies for Superior Quality and High Production [J]. , 2009, 11(2): 91-97. |
| Viewed | ||||||
|
Full text |
|
|||||
|
Abstract |
|
|||||
京公网安备11010802021197号