Journal of Agricultural Science and Technology ›› 2024, Vol. 26 ›› Issue (5): 77-89.DOI: 10.13304/j.nykjdb.2023.0545
• BIOTECHNOLOGY & LIFE SCIENCE • Previous Articles Next Articles
Yike XU(), Shuang LI, Changle LIU, Peiwen KOU, Xiaochun SUN, Wenjing HUANG(
)
Received:
2023-07-17
Accepted:
2023-09-16
Online:
2024-05-15
Published:
2024-05-14
Contact:
Wenjing HUANG
许祎珂(), 李爽, 刘长乐, 寇佩雯, 孙晓春, 黄文静(
)
通讯作者:
黄文静
作者简介:
许祎珂 E-mail:xdsqc1998@163.com;
基金资助:
CLC Number:
Yike XU, Shuang LI, Changle LIU, Peiwen KOU, Xiaochun SUN, Wenjing HUANG. Study on Agronomic Characters and Photosynthetic Physiological Characteristics of Pinellia ternata from Different Producing Areas[J]. Journal of Agricultural Science and Technology, 2024, 26(5): 77-89.
许祎珂, 李爽, 刘长乐, 寇佩雯, 孙晓春, 黄文静. 不同产地半夏农艺性状及光合生理特性研究[J]. 中国农业科技导报, 2024, 26(5): 77-89.
Add to citation manager EndNote|Ris|BibTeX
URL: https://nkdb.magtechjournal.com/EN/10.13304/j.nykjdb.2023.0545
种质编号 Germplasm number | 产地 Origin | 纬度 Latitude | 经度 Longitude | 海拔 Altitude/m | 年均降水量 Average annual precipitation/mm | 年均气温 Average annual temperature/℃ |
---|---|---|---|---|---|---|
S1 | 贵州铜仁 Tongren of Guizhou | 27°31′N | 108°13′E | 460 | 1 073.2 | 17.1 |
S2 | 贵州安顺 Anshun of Guizhou | 26°18′N | 105°44′E | 1 042 | 1 378.2 | 15.1 |
S3 | 贵州贵阳 Guiyang of Guizhou | 26°33′N | 106°28′E | 1 180 | 1 180.9 | 14.1 |
S4 | 贵州毕节 Bijie of Guizhou | 26°52′N | 104°15′E | 2 200 | 926.0 | 13.0 |
S5 | 四川内江 Neijiang of Sichuan | 29°35′N | 105°04′E | 405 | 927.0 | 17.2 |
S6 | 四川资阳 Ziyang of Sichuan | 30°06′N | 105°20′E | 399 | 924.9 | 18.5 |
S7 | 四川达州 Dazhou of Sichuan | 30°44′N | 107°12′E | 400 | 1 200.0 | 17.0 |
S8 | 河北保定 Baoding of Hebei | 38°25′N | 115°20′E | 30 | 555.3 | 12.4 |
S9 | 河北张家口 Zhangjiakou of Hebei | 41°09′N | 114°43′E | 1 700 | 300.0 | 3.2 |
S10 | 河北邢台 Xingtai of Hebei | 37°37′N | 114°56′E | 31 | 449.1 | 12.8 |
S11 | 河南南阳 Nanyang of Henan | 33°03′N | 111°51′E | 139 | 800.0 | 15.0 |
S12 | 河南三门峡 Sanmenxia of Henan | 34°46′N | 111°13′E | 775 | 630.0 | 14.0 |
S13 | 广西桂林 Guilin of Guangxi | 25°56′N | 111°04′E | 1 680 | 1 565.9 | 18.5 |
S14 | 广西柳州 Liuzhou of Guangxi | 25°47′N | 109°36′E | 182 | 1 493.0 | 18.0 |
S15 | 云南文山 Wenshan of Yunnan | 23°14′N | 104°06′E | 1 260 | 779.0 | 19.0 |
S16 | 甘肃陇南 Longnan of Gansu | 34°01′N | 105°18′E | 1 692 | 533.0 | 8.4 |
S17 | 山东菏泽 Heze of Shandong | 35°34′N | 115°30′E | 50 | 1 090.6 | 13.5 |
S18 | 陕西商洛 Shangluo of Shaanxi | 34°05′N | 110°09′E | 800 | 754.8 | 11.1 |
S19 | 湖北荆州 Jingzhou of Hubei | 30°02′N | 112°25′E | 30 | 1 000.0 | 16.2 |
S20 | 湖南永州 Yongzhou of Hunan | 25°16′N | 111°21′E | 1 526 | 1 586.7 | 18.4 |
Table 1 Geographical information table of Pinellia ternata of different producing areas
种质编号 Germplasm number | 产地 Origin | 纬度 Latitude | 经度 Longitude | 海拔 Altitude/m | 年均降水量 Average annual precipitation/mm | 年均气温 Average annual temperature/℃ |
---|---|---|---|---|---|---|
S1 | 贵州铜仁 Tongren of Guizhou | 27°31′N | 108°13′E | 460 | 1 073.2 | 17.1 |
S2 | 贵州安顺 Anshun of Guizhou | 26°18′N | 105°44′E | 1 042 | 1 378.2 | 15.1 |
S3 | 贵州贵阳 Guiyang of Guizhou | 26°33′N | 106°28′E | 1 180 | 1 180.9 | 14.1 |
S4 | 贵州毕节 Bijie of Guizhou | 26°52′N | 104°15′E | 2 200 | 926.0 | 13.0 |
S5 | 四川内江 Neijiang of Sichuan | 29°35′N | 105°04′E | 405 | 927.0 | 17.2 |
S6 | 四川资阳 Ziyang of Sichuan | 30°06′N | 105°20′E | 399 | 924.9 | 18.5 |
S7 | 四川达州 Dazhou of Sichuan | 30°44′N | 107°12′E | 400 | 1 200.0 | 17.0 |
S8 | 河北保定 Baoding of Hebei | 38°25′N | 115°20′E | 30 | 555.3 | 12.4 |
S9 | 河北张家口 Zhangjiakou of Hebei | 41°09′N | 114°43′E | 1 700 | 300.0 | 3.2 |
S10 | 河北邢台 Xingtai of Hebei | 37°37′N | 114°56′E | 31 | 449.1 | 12.8 |
S11 | 河南南阳 Nanyang of Henan | 33°03′N | 111°51′E | 139 | 800.0 | 15.0 |
S12 | 河南三门峡 Sanmenxia of Henan | 34°46′N | 111°13′E | 775 | 630.0 | 14.0 |
S13 | 广西桂林 Guilin of Guangxi | 25°56′N | 111°04′E | 1 680 | 1 565.9 | 18.5 |
S14 | 广西柳州 Liuzhou of Guangxi | 25°47′N | 109°36′E | 182 | 1 493.0 | 18.0 |
S15 | 云南文山 Wenshan of Yunnan | 23°14′N | 104°06′E | 1 260 | 779.0 | 19.0 |
S16 | 甘肃陇南 Longnan of Gansu | 34°01′N | 105°18′E | 1 692 | 533.0 | 8.4 |
S17 | 山东菏泽 Heze of Shandong | 35°34′N | 115°30′E | 50 | 1 090.6 | 13.5 |
S18 | 陕西商洛 Shangluo of Shaanxi | 34°05′N | 110°09′E | 800 | 754.8 | 11.1 |
S19 | 湖北荆州 Jingzhou of Hubei | 30°02′N | 112°25′E | 30 | 1 000.0 | 16.2 |
S20 | 湖南永州 Yongzhou of Hunan | 25°16′N | 111°21′E | 1 526 | 1 586.7 | 18.4 |
种质编号 Germplasm number | 时间 Time/d | 株高 PH/cm | 茎直径 SD/mm | 中裂叶长 MLLL/cm | 中裂叶宽 MLLW/cm | 种球质量 SBW/g | 种球直径 SBD/mm | |||
---|---|---|---|---|---|---|---|---|---|---|
发芽 Germination | 三叶展开 Blade development | 珠芽 Bulbil | 倒苗 Fallen seedlings | |||||||
S1 | 7 | 11 | 19 | 86 | 10.40±0.31 jk | 2.26±0.01 cde | 6.30±0.06 ghi | 2.90±0.12 fg | 2.014 9±0.021 9 d | 1.38±0.02 abc |
S2 | 9 | 15 | 27 | 82 | 15.57±0.15 cdef | 1.97±0.08 ghi | 7.00±0.20 efg | 3.57±0.09 de | 1.259 5±0.049 5 hi | 1.10±0.06 de |
S3 | 9 | 13 | 23 | 85 | 16.60±0.31 bcd | 2.41±0.03 bc | 9.50±0.15 a | 4.83±0.12 a | 1.254 5±0.072 0 hi | 1.30±0.10 bcd |
S4 | 11 | 14 | 23 | 89 | 14.50±0.29 efg | 1.86±0.01 i | 6.13±0.12 hi | 3.20±0.15 ef | 1.510 5±0.006 5 fg | 1.20±0.06 cde |
S5 | 12 | 15 | 24 | 84 | 11.83±0.52 hij | 2.10±0.03 efgh | 7.67±0.15 cde | 3.90±0.12 bcd | 1.201 5±0.051 0 i | 1.13±0.03 de |
S6 | 10 | 13 | 25 | 84 | 13.73±0.19 fgh | 2.13±0.05 defgh | 7.57±0.32 cde | 4.30±0.06 b | 1.219 7±0.037 4 i | 1.07±0.03 e |
S7 | 12 | 14 | 24 | 83 | 12.50±0.26 hi | 2.15±0.02 defg | 6.70±0.06 fgh | 2.23±0.09 hij | 1.413 1±0.007 6 fgh | 1.30±0.06 bcd |
S8 | 8 | 13 | 25 | 85 | 9.57±0.12 k | 1.46±0.01 j | 5.80±0.15 i | 1.83±0.07 j | 0.680 0±0.007 2 j | 0.67±0.03 f |
S9 | 8 | 13 | 26 | 86 | 11.47±0.64 ijk | 1.95±0.06 hi | 6.23±0.15 ghi | 2.07±0.04 ij | 0.729 6±0.016 2 j | 0.70±0.06 f |
S10 | 9 | 13 | 26 | 85 | 9.73±0.39 k | 1.52±0.01 j | 6.07±0.23 hi | 1.98±0.07 j | 0.639 4±0.037 1 i | 0.70±0.06 f |
S11 | 8 | 14 | 23 | 92 | 17.00±0.29 bc | 1.96±0.05 ghi | 7.80±0.23 cde | 4.03±0.15 bc | 2.199 2±0.068 9 c | 1.43±0.03 ab |
S12 | 10 | 15 | 24 | 86 | 12.50±0.29 hi | 2.48±0.01 b | 4.90±0.21 j | 2.53±0.03 gh | 1.536 8±0.025 7f g | 1.31±0.02 bcd |
S13 | 10 | 13 | 24 | 86 | 18.53±0.93 b | 2.32±0.04 bcd | 8.17±0.17 bc | 4.00±0.12 bcd | 1.548 0±0.042 3 f | 1.17±0.03 cde |
S14 | 10 | 13 | 21 | 86 | 12.67±0.27 ghi | 2.05±0.06 fghi | 7.27±0.12 def | 1.80±0.06 j | 1.362 9±0.026 9 ghi | 1.25±0.03 bcde |
S15 | 9 | 13 | 21 | 83 | 16.10±0.56 cde | 2.24±0.06 cde | 8.93±0.30 ab | 2.04±0.03 ij | 2.395 3±0.031 4 b | 1.23±0.03 bcde |
S16 | 13 | 18 | 24 | 89 | 11.80±0.38 hij | 2.07±0.04 efgh | 8.07±0.20 cd | 3.70±0.12 cd | 1.230 5±0.013 9 i | 1.07±0.03 e |
S17 | 12 | 18 | 25 | 88 | 13.00±0.29 ghi | 2.20±0.10 def | 6.57±0.03 fghi | 2.47±0.15 ghi | 1.779 1±0.033 2 e | 1.37±0.03 bc |
S18 | 6 | 10 | 21 | 85 | 21.00±0.58 a | 2.86±0.03 a | 8.97±0.29 ab | 4.20±0.06 b | 3.307 1±0.031 3 a | 1.60±0.03 a |
S19 | 12 | 17 | 25 | 85 | 15.00±0.29 def | 2.09±0.03 efgh | 7.67±0.12 cde | 3.10±0.06 f | 1.526 7±0.051 3 fg | 1.23±0.03 bcde |
S20 | 8 | 12 | 23 | 87 | 11.33±0.60 ijk | 1.63±0.01 j | 7.33±0.17 cdef | 2.55±0.08 gh | 1.500 2±0.045 2 fg | 1.13±0.07 de |
Table 2 Growth cycle records and agronomic characters of Pinellia ternata from different producing areas
种质编号 Germplasm number | 时间 Time/d | 株高 PH/cm | 茎直径 SD/mm | 中裂叶长 MLLL/cm | 中裂叶宽 MLLW/cm | 种球质量 SBW/g | 种球直径 SBD/mm | |||
---|---|---|---|---|---|---|---|---|---|---|
发芽 Germination | 三叶展开 Blade development | 珠芽 Bulbil | 倒苗 Fallen seedlings | |||||||
S1 | 7 | 11 | 19 | 86 | 10.40±0.31 jk | 2.26±0.01 cde | 6.30±0.06 ghi | 2.90±0.12 fg | 2.014 9±0.021 9 d | 1.38±0.02 abc |
S2 | 9 | 15 | 27 | 82 | 15.57±0.15 cdef | 1.97±0.08 ghi | 7.00±0.20 efg | 3.57±0.09 de | 1.259 5±0.049 5 hi | 1.10±0.06 de |
S3 | 9 | 13 | 23 | 85 | 16.60±0.31 bcd | 2.41±0.03 bc | 9.50±0.15 a | 4.83±0.12 a | 1.254 5±0.072 0 hi | 1.30±0.10 bcd |
S4 | 11 | 14 | 23 | 89 | 14.50±0.29 efg | 1.86±0.01 i | 6.13±0.12 hi | 3.20±0.15 ef | 1.510 5±0.006 5 fg | 1.20±0.06 cde |
S5 | 12 | 15 | 24 | 84 | 11.83±0.52 hij | 2.10±0.03 efgh | 7.67±0.15 cde | 3.90±0.12 bcd | 1.201 5±0.051 0 i | 1.13±0.03 de |
S6 | 10 | 13 | 25 | 84 | 13.73±0.19 fgh | 2.13±0.05 defgh | 7.57±0.32 cde | 4.30±0.06 b | 1.219 7±0.037 4 i | 1.07±0.03 e |
S7 | 12 | 14 | 24 | 83 | 12.50±0.26 hi | 2.15±0.02 defg | 6.70±0.06 fgh | 2.23±0.09 hij | 1.413 1±0.007 6 fgh | 1.30±0.06 bcd |
S8 | 8 | 13 | 25 | 85 | 9.57±0.12 k | 1.46±0.01 j | 5.80±0.15 i | 1.83±0.07 j | 0.680 0±0.007 2 j | 0.67±0.03 f |
S9 | 8 | 13 | 26 | 86 | 11.47±0.64 ijk | 1.95±0.06 hi | 6.23±0.15 ghi | 2.07±0.04 ij | 0.729 6±0.016 2 j | 0.70±0.06 f |
S10 | 9 | 13 | 26 | 85 | 9.73±0.39 k | 1.52±0.01 j | 6.07±0.23 hi | 1.98±0.07 j | 0.639 4±0.037 1 i | 0.70±0.06 f |
S11 | 8 | 14 | 23 | 92 | 17.00±0.29 bc | 1.96±0.05 ghi | 7.80±0.23 cde | 4.03±0.15 bc | 2.199 2±0.068 9 c | 1.43±0.03 ab |
S12 | 10 | 15 | 24 | 86 | 12.50±0.29 hi | 2.48±0.01 b | 4.90±0.21 j | 2.53±0.03 gh | 1.536 8±0.025 7f g | 1.31±0.02 bcd |
S13 | 10 | 13 | 24 | 86 | 18.53±0.93 b | 2.32±0.04 bcd | 8.17±0.17 bc | 4.00±0.12 bcd | 1.548 0±0.042 3 f | 1.17±0.03 cde |
S14 | 10 | 13 | 21 | 86 | 12.67±0.27 ghi | 2.05±0.06 fghi | 7.27±0.12 def | 1.80±0.06 j | 1.362 9±0.026 9 ghi | 1.25±0.03 bcde |
S15 | 9 | 13 | 21 | 83 | 16.10±0.56 cde | 2.24±0.06 cde | 8.93±0.30 ab | 2.04±0.03 ij | 2.395 3±0.031 4 b | 1.23±0.03 bcde |
S16 | 13 | 18 | 24 | 89 | 11.80±0.38 hij | 2.07±0.04 efgh | 8.07±0.20 cd | 3.70±0.12 cd | 1.230 5±0.013 9 i | 1.07±0.03 e |
S17 | 12 | 18 | 25 | 88 | 13.00±0.29 ghi | 2.20±0.10 def | 6.57±0.03 fghi | 2.47±0.15 ghi | 1.779 1±0.033 2 e | 1.37±0.03 bc |
S18 | 6 | 10 | 21 | 85 | 21.00±0.58 a | 2.86±0.03 a | 8.97±0.29 ab | 4.20±0.06 b | 3.307 1±0.031 3 a | 1.60±0.03 a |
S19 | 12 | 17 | 25 | 85 | 15.00±0.29 def | 2.09±0.03 efgh | 7.67±0.12 cde | 3.10±0.06 f | 1.526 7±0.051 3 fg | 1.23±0.03 bcde |
S20 | 8 | 12 | 23 | 87 | 11.33±0.60 ijk | 1.63±0.01 j | 7.33±0.17 cdef | 2.55±0.08 gh | 1.500 2±0.045 2 fg | 1.13±0.07 de |
Fig. 1 Gas exchange characteristics of pores in different producing areas of Pinellia ternataNote:Different lowercase letters indicate significant differences between different germplasms at P<0.05 level.
种质编号 Germplasm number | 叶绿素a含量 Chl a content/(mg∙g-1) | 叶绿素b含量 Chl b content/(mg∙g-1) | 叶绿素(a+b)含量 Chl(a+b) content/(mg∙g-1) | Chla/Chlb |
---|---|---|---|---|
S1 | 1.36±0.04 bcd | 0.73±0.01 bcd | 2.09±0.06 bcd | 1.86±0.02 abc |
S2 | 1.15±0.04 f | 0.63±0.01 g | 1.78±0.05 e | 1.81±0.02 abcd |
S3 | 1.33±0.11 cd | 0.70±0.04 cdef | 2.03±0.15 cd | 1.88±0.03 a |
S4 | 1.38±0.04 bcd | 0.72±0.02 bcde | 2.10±0.07 bcd | 1.91±0.00 a |
S5 | 1.27±0.04 de | 0.66±0.01 efg | 1.93±0.04 de | 1.92±0.03 a |
S6 | 0.97±0.03 gh | 0.54±0.01 h | 1.52±0.04 f | 1.79±0.03 abcde |
S7 | 1.43±0.04 bc | 0.77±0.01 bc | 2.20±0.05 bc | 1.87±0.02 ab |
S8 | 0.86±0.04 ij | 0.52±0.02 hi | 1.38±0.06 fg | 1.63±0.02 de |
S9 | 1.00±0.03 g | 0.54±0.01 h | 1.55±0.04 f | 1.83±0.02 abc |
S10 | 0.88±0.05 hi | 0.52±0.02 hi | 1.40±0.07 f | 1.67±0.04 cde |
S11 | 1.60±0.03 a | 0.86±0.01 a | 2.46±0.05 a | 1.86±0.00 abc |
S12 | 1.42±0.03 bc | 0.76±0.01 bc | 2.18±0.05 bc | 1.87±0.02 ab |
S13 | 0.73±0.02 k | 0.45±0.01 j | 1.18±0.03 h | 1.61±0.02 e |
S14 | 1.47±0.06 b | 0.78±0.02 b | 2.25±0.08 b | 1.88±0.02 a |
S15 | 0.73±0.05 k | 0.45±0.02 j | 1.18±0.07 h | 1.61±0.05 e |
S16 | 0.76±0.04 jk | 0.47±0.04 ij | 1.22±0.01 gh | 1.68±0.27 bcde |
S17 | 1.16±0.14 ef | 0.65±0.06 fg | 1.82±0.20 e | 1.78±0.05 abcde |
S18 | 1.21±0.03 ef | 0.64±0.01 fg | 1.85±0.04 e | 1.89±0.01 a |
S19 | 0.89±0.05 ghi | 0.51±0.02 hij | 1.40±0.07 f | 1.75±0.03 abcde |
S20 | 1.19±0.04 ef | 0.67±0.02 defg | 1.86±0.05 e | 1.77±0.02 abcde |
Table 3 Chlorophyll content of Pinellia ternata from different producing areas
种质编号 Germplasm number | 叶绿素a含量 Chl a content/(mg∙g-1) | 叶绿素b含量 Chl b content/(mg∙g-1) | 叶绿素(a+b)含量 Chl(a+b) content/(mg∙g-1) | Chla/Chlb |
---|---|---|---|---|
S1 | 1.36±0.04 bcd | 0.73±0.01 bcd | 2.09±0.06 bcd | 1.86±0.02 abc |
S2 | 1.15±0.04 f | 0.63±0.01 g | 1.78±0.05 e | 1.81±0.02 abcd |
S3 | 1.33±0.11 cd | 0.70±0.04 cdef | 2.03±0.15 cd | 1.88±0.03 a |
S4 | 1.38±0.04 bcd | 0.72±0.02 bcde | 2.10±0.07 bcd | 1.91±0.00 a |
S5 | 1.27±0.04 de | 0.66±0.01 efg | 1.93±0.04 de | 1.92±0.03 a |
S6 | 0.97±0.03 gh | 0.54±0.01 h | 1.52±0.04 f | 1.79±0.03 abcde |
S7 | 1.43±0.04 bc | 0.77±0.01 bc | 2.20±0.05 bc | 1.87±0.02 ab |
S8 | 0.86±0.04 ij | 0.52±0.02 hi | 1.38±0.06 fg | 1.63±0.02 de |
S9 | 1.00±0.03 g | 0.54±0.01 h | 1.55±0.04 f | 1.83±0.02 abc |
S10 | 0.88±0.05 hi | 0.52±0.02 hi | 1.40±0.07 f | 1.67±0.04 cde |
S11 | 1.60±0.03 a | 0.86±0.01 a | 2.46±0.05 a | 1.86±0.00 abc |
S12 | 1.42±0.03 bc | 0.76±0.01 bc | 2.18±0.05 bc | 1.87±0.02 ab |
S13 | 0.73±0.02 k | 0.45±0.01 j | 1.18±0.03 h | 1.61±0.02 e |
S14 | 1.47±0.06 b | 0.78±0.02 b | 2.25±0.08 b | 1.88±0.02 a |
S15 | 0.73±0.05 k | 0.45±0.02 j | 1.18±0.07 h | 1.61±0.05 e |
S16 | 0.76±0.04 jk | 0.47±0.04 ij | 1.22±0.01 gh | 1.68±0.27 bcde |
S17 | 1.16±0.14 ef | 0.65±0.06 fg | 1.82±0.20 e | 1.78±0.05 abcde |
S18 | 1.21±0.03 ef | 0.64±0.01 fg | 1.85±0.04 e | 1.89±0.01 a |
S19 | 0.89±0.05 ghi | 0.51±0.02 hij | 1.40±0.07 f | 1.75±0.03 abcde |
S20 | 1.19±0.04 ef | 0.67±0.02 defg | 1.86±0.05 e | 1.77±0.02 abcde |
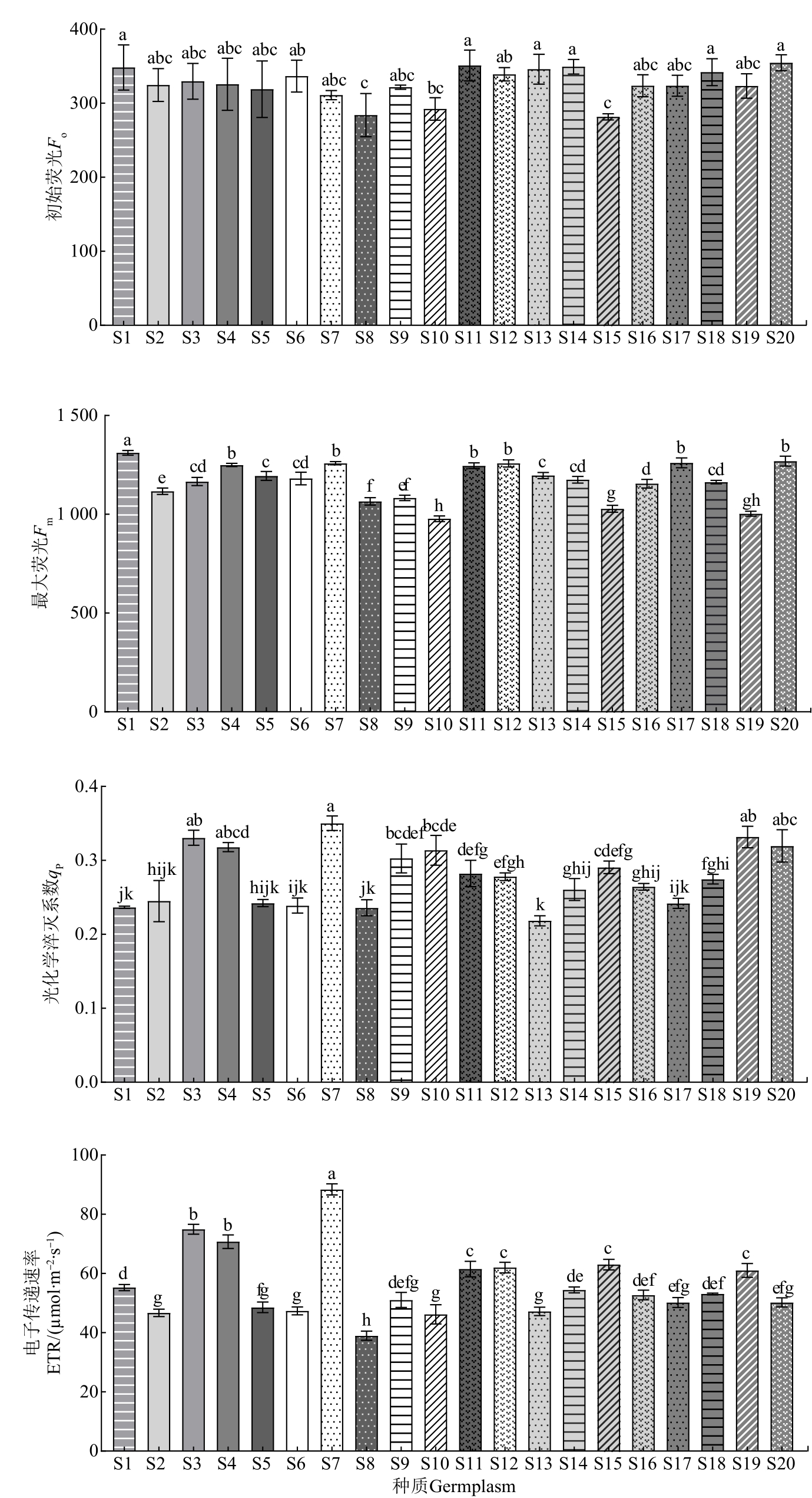
Fig. 2 Chlorophyll fluorescence characteristics of Pinellia ternata from different producing areasNote:Different lowercase letters indicate significant differences between different germplasms at P<0.05 level.
指标 Index | 净光合 速率Pn | 胞间CO2浓度Ci | 气孔导度Gs | 蒸腾速率Tr | 水分 利用率WUE | 光化学淬灭系数qP | 初始荧光Fo | 最大荧光Fm | 电子 传递速率 ETR | 叶绿素a Chl a |
---|---|---|---|---|---|---|---|---|---|---|
胞间CO2浓度Ci | 0.105 | |||||||||
气孔导度Gs | 0.709** | 0.040 | ||||||||
蒸腾速率Tr | 0.363 | -0.217 | 0.801** | |||||||
水分利用率WUE | 0.643** | 0.408 | 0.02 | -0.443 | ||||||
光化学淬灭系数qP | 0.341 | 0.167 | 0.170 | 0.088 | 0.309 | |||||
初始荧光Fo | 0.218 | 0.548* | 0.162 | -0.085 | 0.374 | -0.154 | ||||
最大荧光Fm | 0.573** | 0.380 | 0.317 | -0.027 | 0.592** | -0.164 | 0.674** | |||
电子传递速率ETR | 0.608** | 0.011 | 0.491* | 0.207 | 0.381 | 0.704** | 0.019 | 0.285 | ||
叶绿素a Chl a | 0.567** | 0.484* | 0.424 | 0.013 | 0.558* | 0.204 | 0.516* | 0.672** | 0.483* | |
叶绿素b Chl b | 0.542* | 0.499* | 0.371 | -0.04 | 0.574** | 0.194 | 0.506* | 0.681** | 0.469* | 0.993** |
Table 4 Correlation of photosynthetic physiological indexes of Pinellia ternata from different producing areas
指标 Index | 净光合 速率Pn | 胞间CO2浓度Ci | 气孔导度Gs | 蒸腾速率Tr | 水分 利用率WUE | 光化学淬灭系数qP | 初始荧光Fo | 最大荧光Fm | 电子 传递速率 ETR | 叶绿素a Chl a |
---|---|---|---|---|---|---|---|---|---|---|
胞间CO2浓度Ci | 0.105 | |||||||||
气孔导度Gs | 0.709** | 0.040 | ||||||||
蒸腾速率Tr | 0.363 | -0.217 | 0.801** | |||||||
水分利用率WUE | 0.643** | 0.408 | 0.02 | -0.443 | ||||||
光化学淬灭系数qP | 0.341 | 0.167 | 0.170 | 0.088 | 0.309 | |||||
初始荧光Fo | 0.218 | 0.548* | 0.162 | -0.085 | 0.374 | -0.154 | ||||
最大荧光Fm | 0.573** | 0.380 | 0.317 | -0.027 | 0.592** | -0.164 | 0.674** | |||
电子传递速率ETR | 0.608** | 0.011 | 0.491* | 0.207 | 0.381 | 0.704** | 0.019 | 0.285 | ||
叶绿素a Chl a | 0.567** | 0.484* | 0.424 | 0.013 | 0.558* | 0.204 | 0.516* | 0.672** | 0.483* | |
叶绿素b Chl b | 0.542* | 0.499* | 0.371 | -0.04 | 0.574** | 0.194 | 0.506* | 0.681** | 0.469* | 0.993** |
指标 Index | 第1主成分Principal component 1 | 第2主成分 Principal component 2 | 第3主成分 Principal component 3 | 第4主成分 Principal component 4 | 第5主成分 Principal component 5 |
---|---|---|---|---|---|
净光合速率Pn | 0.704 | -0.219 | 0.490 | -0.051 | -0.316 |
胞间CO2浓度Ci | 0.419 | -0.451 | -0.404 | 0.055 | 0.448 |
气孔导度Gs | 0.609 | 0.417 | 0.632 | -0.335 | 0.190 |
蒸腾速率Tr | 0.186 | 0.377 | 0.722 | -0.449 | 0.217 |
水分利用率WUE | 0.569 | -0.520 | -0.174 | 0.315 | -0.430 |
光化学淬灭系数qP | 0.194 | -0.250 | 0.512 | 0.697 | 0.063 |
初始荧光Fo | 0.649 | -0.064 | -0.472 | -0.299 | -0.097 |
最大荧光Fm | 0.732 | -0.339 | -0.197 | -0.350 | -0.174 |
电子传递速率ETR | 0.600 | -0.104 | 0.527 | 0.466 | 0.024 |
叶绿素a Chl a | 0.771 | -0.487 | 0.022 | -0.100 | 0.060 |
叶绿素b Chl b | 0.746 | -0.529 | -0.013 | -0.083 | 0.057 |
株高PH | 0.468 | 0.699 | -0.253 | 0.296 | 0.053 |
茎直径SD | 0.622 | 0.582 | -0.082 | -0.048 | 0.251 |
中裂叶长MLLL | 0.263 | 0.766 | -0.022 | 0.279 | -0.189 |
中裂叶宽MLLW | 0.463 | 0.596 | -0.005 | -0.216 | -0.530 |
种球重量SBW | 0.632 | 0.394 | -0.391 | 0.266 | 0.272 |
种球直径SBD | 0.887 | 0.264 | -0.163 | 0.047 | 0.214 |
特征值Eigenvalue | 5.981 | 3.390 | 2.409 | 1.620 | 1.121 |
贡献率Contribution rate/% | 35.183 | 19.944 | 14.168 | 9.532 | 6.592 |
累计贡献率Accumulate contribution rate/% | 35.183 | 55.127 | 69.295 | 78.827 | 85.419 |
Table 5 Principal component analysis of growth and physiological indexes of Pinellia ternata from different producing areas
指标 Index | 第1主成分Principal component 1 | 第2主成分 Principal component 2 | 第3主成分 Principal component 3 | 第4主成分 Principal component 4 | 第5主成分 Principal component 5 |
---|---|---|---|---|---|
净光合速率Pn | 0.704 | -0.219 | 0.490 | -0.051 | -0.316 |
胞间CO2浓度Ci | 0.419 | -0.451 | -0.404 | 0.055 | 0.448 |
气孔导度Gs | 0.609 | 0.417 | 0.632 | -0.335 | 0.190 |
蒸腾速率Tr | 0.186 | 0.377 | 0.722 | -0.449 | 0.217 |
水分利用率WUE | 0.569 | -0.520 | -0.174 | 0.315 | -0.430 |
光化学淬灭系数qP | 0.194 | -0.250 | 0.512 | 0.697 | 0.063 |
初始荧光Fo | 0.649 | -0.064 | -0.472 | -0.299 | -0.097 |
最大荧光Fm | 0.732 | -0.339 | -0.197 | -0.350 | -0.174 |
电子传递速率ETR | 0.600 | -0.104 | 0.527 | 0.466 | 0.024 |
叶绿素a Chl a | 0.771 | -0.487 | 0.022 | -0.100 | 0.060 |
叶绿素b Chl b | 0.746 | -0.529 | -0.013 | -0.083 | 0.057 |
株高PH | 0.468 | 0.699 | -0.253 | 0.296 | 0.053 |
茎直径SD | 0.622 | 0.582 | -0.082 | -0.048 | 0.251 |
中裂叶长MLLL | 0.263 | 0.766 | -0.022 | 0.279 | -0.189 |
中裂叶宽MLLW | 0.463 | 0.596 | -0.005 | -0.216 | -0.530 |
种球重量SBW | 0.632 | 0.394 | -0.391 | 0.266 | 0.272 |
种球直径SBD | 0.887 | 0.264 | -0.163 | 0.047 | 0.214 |
特征值Eigenvalue | 5.981 | 3.390 | 2.409 | 1.620 | 1.121 |
贡献率Contribution rate/% | 35.183 | 19.944 | 14.168 | 9.532 | 6.592 |
累计贡献率Accumulate contribution rate/% | 35.183 | 55.127 | 69.295 | 78.827 | 85.419 |
Fig. 3 Cluster analysis of growth and physiological indexes of Pinellia ternata from different producing areasNote:Germplasm number is same as Table 1.
1 | 郝征,何富强,靳茜,等.不同品种半夏品质比较研究[J].黑龙江科学,2022,13(20):5-7. |
HAO Z, HE F Q, JIN X, et al.. Comparative study of the quality of different varieties of Pinellia ternata (Thunb.) Breit [J]. Heilongjiang Sci., 2022, 13(20):5-7. | |
2 | BAI J, QI J, YANG L, et al.. A comprehensive review on ethnopharmacological, phytochemical, pharmacological and toxicological evaluation, and quality control of Pinellia ternata (Thunb.) Breit [J/OL]. J. Ethnopharmacol., 2022, 259:115650 [2023-06-15]. . |
3 | 常琴,张明生,黄如意,等.半夏种质遗传多样性鉴定与产量决定因素分析[J].北方园艺,2022(18):99-108. |
CHANG Q, ZHANG M S, HUANG R Y, et al.. Identification of genetic diversity and analysis of yield character in Pinellia ternate germplasm [J]. Northern Hortic., 2022(18):99-108. | |
4 | 钟淑梅,张景,马毅平,等.半夏“一种多收”生态种植技术[J].农村新技术,2021(11):8-9. |
5 | 周志伟,李嫣然,李海英.半夏药材的进出口贸易现状及产业化发展思考[J].中药材,2022(5):1033-1040. |
ZHOU Z W, LI Y R, LI H Y. Study on current situation of import and export trade and industrialization development of Pinelliae rhizoma [J]. J. Chin. Med. Mater., 2022(5):1033-1040. | |
6 | 陈黎明,何志贵,韩蕊莲.半夏种质资源研究进展[J].黑龙江农业科学,2020(2):131-135. |
CHEN L M, HE Z G, HAN R L. Reaearch progress on germplasm resources of Pinellia ternate [J]. Heilongjiang Agric. Sci., 2020(2):131-135. | |
7 | 李泽,谭晓风,卢锟,等.干旱胁迫对两种油桐幼苗生长、气体交换及叶绿素荧光参数的影响[J].生态学报,2017,37(5):1515-1524. |
LI Z, TAN X F, LU K, et al.. Influence of drought stress on the growth, leaf gas exchange, and chlorophyll fluorescence in two varieties of tung tree seedlings [J]. Acta Ecol. Sin., 2017, 37(5):1515-1524. | |
8 | ZHENG H, WANG J, CUI Y, et al.. Effects of row spacing and planting pattern on photosynthesis, chlorophyll fluorescence, and related enzyme activities of maize ear leaf in maize-soybean intercropping [J]. Agronomy, 2022, 12(10):2503-2516. |
9 | 白文玉,铁烈华,冯茂松,等.不同种源桤木嫁接幼苗光合和叶绿素荧光特征[J].四川农业大学学报,2020,38(6):670-676, 692. |
BAI W Y, TIE L H, FENG M S, et al.. Photosynthesis and chlorophyll fluorescence characteristics of grafted Alnus cremastogyne seedlings from different provenances [J]. J. Sichuan Agric. Univ., 2020, 38(6):670-676, 692. | |
10 | 王翊豪,李世昌,刘春路,等.不同产地滇重楼光合作用能力探究[J].中国农学通报,2021,37(16):59-64. |
WANG Y H, LI S C, LIU C L, et al.. Research on the photosynthesis ability of Pairs polyphylla var. yunnanensis from different areas [J]. Chin. Agric. Sci. Bull., 2021, 37(16):59-64. | |
11 | 赵玉文,段少荣,郑雨,等.不同种源砂生槐幼苗的生长及光合特征[J].浙江大学学报(农业与生命科学版),2019,45(2):164-174. |
ZHAO Y W, DUAN S R, ZHENG Y, et al.. Seedling growth and photosynthetic characteristics of different Sophora moorcroftiana provenances [J]. J. Zhejiang Univ. (Agric. Life Sci.), 2019, 45(2):164-174. | |
12 | 黄文静,孙晓春,李铂,等.干旱胁迫诱导半夏倒苗的细胞程序性死亡研究[J].中国中药杂志,2019,44(10):2020-2025. |
HUANG W J, SUN X C, LI B, et al.. Programmed cell death induced by drought stress in sprout tumble of Pinellia ternata [J]. China J. Chin. Mater. Med., 2019, 44(10):2020-2025. | |
13 | 薛美玲,方炎明,戴长志,等.不同种源麻栎幼苗叶片性状与水分利用效率的差异[J].北方园艺,2019(13):101-109. |
XUE M L, FANG Y M, DAI C Z, et al.. Differences in leaf characteristics and water use efficiency of Quercus acutissima seedlings from different provenances [J]. Northern Hortic., 2019(13):101-109. | |
14 | 张治安,张美善,蔚荣海.植物生理学实验指导[M].北京:中国农业科学技术出版社,2004:43-45. |
15 | 曹恭祥,杨跃文,元光,等.不同种源文冠果叶片光合特性及光响应特征分析[J].内蒙古林业科技,2022,48(1):33-37, 52. |
CAO G X, YANG Y W, YUAN G, et al.. Analysis of photosynthetic characteristics and light response characteristics of Xanthoceras sorbifolia from different provenances [J]. J. Inner Mongolia For. Sci. Technol., 2022, 48(1):33-37, 52. | |
16 | 肖遥,楚秀丽,尹增芳,等.不同产地南方红豆杉各家系幼苗生长、光合生理与株高生长节律的差异分析[J].植物资源与环境学报,2016,25(1):34-42. |
XIAO Y, CHU X L, YIN Z F, et al.. Analyses on differences in seedling growth, photosynthetic physiology and height growth rhythm of each family of Taxus wallichiana var. mairei from different locations [J]. J. Plant Resour. Environ., 2016, 25(1):34-42. | |
17 | 高风,文仕知,韦铄星,等.不同种源香合欢种子和叶表型性状变异分析[J].中南林业科技大学学报,2023,43(2):57-66. |
GAO F, WEN S Z, WEI S X, et al.. Variation analysis of seed and leaf phenotypic traits of Albizia odoratissima from different provenances [J]. J. Central South Univ. For. Technol., 2023, 43(2): 57-66. | |
18 | 平晓燕,周广胜,孙敬松.植物光合产物分配及其影响因子研究进展[J].植物生态学报,2010,34(1):100-111. |
PING X Y, ZHOU G S, SUN J S. Advances in the study of photosynthate allocation and its controls [J]. Chin. J. Plant Ecol., 2010, 34(1):100-111. | |
19 | 耿瑜欣,刘泽,仲连青,等.不同品种杜仲生长动态和光合、叶绿素荧光参数的差异[J].河北农业大学学报,2021,44(6):63-68. |
GENG Y X, LIU Z, ZHONG L Q, et al.. Differences in growth dynamics, photosynthesis and chlorophyll fluorescence parameters of different varieties of Eucommia ulmoides [J]. J. Agric. Univ. Hebei, 2021, 44(6):63-68. | |
20 | 钟欣平,喻阳华,侯堂春.干热河谷石漠化区顶坛花椒叶片蒸腾速率及其与环境因子的关系[J].西南农业学报,2021,34(7):1548-1555. |
ZHONG X P, YU Y H, HOU T C. Correlation between leaf transpiration rate of Zanthoxylum planispinum var. Dingtanensis and environmental factors in dry-hot valley rocky desertification region [J]. Southwest China J. Agric. Sci., 2021, 34(7):1548-1555. | |
21 | 龙凤,陈昕,吴承祯,等.24个不同种源雷公藤的光合特性比较[J].厦门大学学报(自然科学版),2017,56(4):525-530. |
LONG F, CHEN X, WU C Z, et al.. Cmoparison of photosynthetic characteristics of Tripterygium wilfordii from 24 different provenances [J]. J. Xiamen Univ. (Nat. Sci.), 2017, 56(4):525-530. | |
22 | 魏晓芸,单立山,解婷婷,等.6个种源红砂幼苗光合作用特性研究[J].草地学报,2020,28(6):1657-1663. |
WEI X Y, SHAN L S, XIE T T, et al.. Study on photosynthesis characteristics of six provenances Reaumuria soongorica seedlings [J]. Acta Agrestia Sin., 2020, 28(6):1657-1663. | |
23 | 韩梅,杨利民,韩忠明,等.不同种源黄芩光合特性及产量与品质的研究[J].西北农林科技大学学报(自然科学版),2015,43(4):197-202, 228. |
HAN M, YANG L M, HAN Z M, et al.. Photosynthetic characteristics, yield and quality of Scutellaria baicalensis from different provenances[J]. J. Northwest A&F Univ. (Nat. Sci.), 2015, 43(4):197-202, 228. | |
24 | 王顺利,张春华,戚建华,等.不同种源高山栲光合日变化及光合潜能分析[J].福建林业科技,2022,49(3):12-17. |
WANG S L, ZHANG C H, QI J H, et al.. Analysis of diurnal variation and photosynthetic potential of Castanopsis delavayi from different provenances [J]. J. Fujian For. Sci Technol., 2022, 49(3):12-17. | |
25 | ZHANG Y, LI X, WANG C, et al.. PROSPECT-PMP+: simultaneous retrievals of chlorophyll a and b, carotenoids and anthocyanins in the leaf optical properties model [J]. Sensors, 2022, 22(8):3025-3031. |
26 | 温星,程路芸,李丹丹,等.毛竹叶片发育过程中光合生理特性的变化特征[J].浙江农林大学学报,2017,34(3):437-442. |
WEN X, CHENG L Y, LI D D, et al.. Photosynthetic characteristics in the development process of Phyllostachys edulis [J]. J. Zhejiang A&F Univ., 2017, 34 (3):437-442. | |
27 | 陈天笑,白晓刚,张志威,等.不同种源顶果木幼苗生长、光合和叶绿素荧光特性比较[J].生态学杂志,2023,42(11):2561-2568. |
CHEN T X, BAI X G, ZHANG Z W, et al.. Comparison of growth, photosynthetic and chlorophyll fluorescence characteristics for different provenances of Arcocarpus fraxinifolius [J]. Chin. J. Ecol., 2023, 42(11):2561-2568. | |
28 | WEN S, SHI N, LU J, et al.. Continuous wavelet transform and back propagation neural network for condition monitoring chlorophyll fluorescence parameters Fv/Fm of rice leaves [J]. Agriculture, 2022, 12(8):1197-1209. |
29 | 蔡齐飞,王帅,徐自恒,等.不同种源山桐子叶绿素荧光特征差异分析[J].河南科学,2021,39(5):715-719. |
CAI Q F, WANG S, XU Z H, et al.. Comparison of chlorophyll fluorescent characteristics of Idesia polycarpa Maxim. from different provenances [J]. Henan Sci., 2021, 39 (5):715-719. | |
30 | QIN J, JIANG X, QIN J, et al.. Effects of lead pollution on photosynthetic characteristics and chlorophyll fluorescence parameters of different populations of Miscanthus floridulus [J]. Processes, 2023, 11(5):1562-1573. |
31 | 南思睿,罗永忠,于思敏,等.干旱胁迫后复水对新疆大叶苜蓿幼苗光合和叶绿素荧光的影响[J].草地学报,2022,30(5):1141-1149. |
NAN S R, LUO Y Z, YU S M, et al.. Effects of rewatering after drought stress on photosynthesis and chlorophyll fluorescence of Medicago sativa cv. xingjiangdaye seedlings [J]. Acta Agrestia Sin., 2022, 30(5):1141-1149. | |
32 | 颜雨豪,赖月月,敬勇,等.半夏药材质量等级标准研究[J].中药与临床,2022,13(6):14-19. |
YAN Y H, LAI Y Y, JING Y, et al.. Study on quality grade standard of Banxia [J]. Pharm. Clinics Chin. Mater. Med., 2022, 13(6):14-19. | |
33 | 石海霞,周涛,肖承鸿,等.半夏商品规格等级标准及质量评价研究[J].中国中药杂志,2019,44(11):2219-2225. |
SHI H X, ZHOU T, XIAO C H, et al.. Research on grade standard and quality evaluation of Pinelliae rhizoma for merchandise specification [J]. China J. Chin. Mater. Med., 2019, 44(11): 2219-2225. | |
34 | 金念情,杨彬,韦小丽,等.不同种源花榈木苗期生长及生理特性比较[J].广西植物,2021,41(12):2051-2060. |
JIN N Q, YANG B, WEI X L, et al.. Comparison of growth and physiological of Ormosia henryi seedlings from different provenances [J]. Guihaia, 2021, 41(12):2051-2060. | |
35 | 任俊杰,庞新博,刘昭阳,等.不同种源蒙古栎种子表型性状的多样性[J].浙江农林大学学报,2022,39(6):1221-1228. |
REN J J, PANG X B, LIU Z Y, et al.. Diversity of phenotypic characters of Quercus mongolica seeds from different provenances [J]. J. Zhejiang A&F Univ., 2022, 39(6):1221-1228. |
[1] | Songjiang DUAN, Haoran HU, Chengjie ZHANG, Wei SUN, Yifan WU, Rensong GUO, Jusong ZHANG. Differences in Nitrogen Efficiency of Different Genotypes of Island Cotton and Their Effects on Photosynthetic Characteristics and Yield [J]. Journal of Agricultural Science and Technology, 2025, 27(1): 61-71. |
[2] | Tingting YANG, Xiaoqin TIAN, Zhuo LI, Yonghong LIU, Wei LI. Effects of Different Types of Mulch Film on Soil Moisture and Heat and Rape Yield [J]. Journal of Agricultural Science and Technology, 2024, 26(12): 157-163. |
[3] | Shengyan YANG, Man CAO, Baoshi GUO, Chao YANG, Zhixia HOU. Effects of Different Iron Environments on the Growth and Leaf Chlorophyll Fluorescence Characteristics of Blueberry [J]. Journal of Agricultural Science and Technology, 2024, 26(1): 52-62. |
[4] | Wen ZHOU, Xiaoheng GUO, Rui XU, Xiaoli WANG, Huiwei NIU, Dan HAN, Huifang SHAO. Effects of Intercropping Pinellia ternata on Growth, Yield and Quality of Flue-cured Tobacco [J]. Journal of Agricultural Science and Technology, 2023, 25(7): 161-169. |
[5] | Peixin LIANG, Rong TANG, Jianguo LIU. Effects of Mixed Saline-alkali Stress on Photosynthetic Physiology and Yield in Cyperus esculentus L. [J]. Journal of Agricultural Science and Technology, 2023, 25(12): 195-204. |
[6] | HUANG Yulan§, LONG Shengfeng§, YE Xingzhi, LI Yanying, SHEN Zhangyou, ZHOU Jia, ZHOU Lingzhi, LAO Chengying, WEI Benhui. Study on the Agronomic Characters, Yield and Quality of Cassava in Enshi of Hubei Province [J]. Journal of Agricultural Science and Technology, 2021, 23(9): 46-55. |
[7] | YUE Linqi, GUO Jiahui, BAI Xionghui, SHI Weiping, GUO Pingyi*, GUO Jie*. Influences of Spraying Selenium Fertilizer on Leaves on Agronomic Characters and Selenium Content of Different Genotypes of Foxtail Millet [J]. Journal of Agricultural Science and Technology, 2021, 23(4): 154-163. |
[8] | TIAN Jie1,2§, TIE Yuanyu1§, LI Jiang1, ZHONG Qiwen1,2*. Agronomic Characteristics and Yield Formation of 23 Welsh-onion Resources Under Plateau Ecological Conditions [J]. Journal of Agricultural Science and Technology, 2020, 22(9): 61-68. |
[9] | ZHANG Yongfang, GAO Zhihui, SHI Pengqing, HAN Zhiping*. Adaptability Analysis of Different Soybean Varieties Based on Agronomic and Quality Traits [J]. Journal of Agricultural Science and Technology, 2020, 22(8): 25-32. |
[10] | WANG Dan1, TIAN Xiaoqin1, LI Zhuo1*, ZHUANG Wenhua1,2, LIU Yonghong1, JING Shuzhong1,3, LI Haojie1. Effect of Film Mulching Period on Growth and Yield of Rape [J]. Journal of Agricultural Science and Technology, 2020, 22(2): 149-157. |
[11] | LI Linlin1, HUANG Minsheng1, CUI Guoxian1,2*, BAI Yuchao1,3, LI Xueling1, LIU Nannan1, CUI Dandan1, SU Xiaohui1, WANG Jilong1. Principal Component and Cluster Analysis of the Main Agronomic Characters of Ramie Germplasm [J]. Journal of Agricultural Science and Technology, 2019, 21(3): 34-41. |
[12] | TANG Xinhua, QU Zicheng, ZHANG Xia, ZHANG Hao, WEI Qiaorong, SHI Ying*. Effect of Irrigating Steady-state Iron Salts on Potato Physiology and Yield During Tuber Formation Stage [J]. Journal of Agricultural Science and Technology, 2018, 20(8): 7-15. |
[13] | CHEN Biao1, ZHANG Jie1, MA Xiaohan1, WANG Xiaodong2, LI Jiwei2, XU Zicheng1*. Influences of Exogenous Selenium on the Chlorophyll Fluorescence Characteristics and Chemical Composition in Flue-cured Tobacco under Drought Stress [J]. Journal of Agricultural Science and Technology, 2018, 20(10): 95-104. |
[14] | PAN Jinhua1, ZHUANG Shunyao1*, SHI Xuezheng1, CAO Zhihong1, CAI Xianjie2, CHENG Sen2. Combined Effects of Bamboo Biochar and T20 Amendment on Dryland Flue-cured Tobacco Ecology, Yield and Quality at South Anhui Province [J]. Journal of Agricultural Science and Technology, 2017, 19(4): 73-81. |
[15] | CHEN Fang-quan1, SHAO Hui-fang1*, JIA Guo-tao1, XU Zi-cheng1, HUANG Wu-xing1, FAN Yi-kuan2, DU Xiu-zhi3, ZHANG Man-man1, ZHAO Rong-rong1. Effect of Water Retaining Agent on Photosynthetic Characteristics and Chlorophyll Fluorescence Parameters of Tobacco [J]. Journal of Agricultural Science and Technology, 2016, 18(5): 157-163. |
Viewed | ||||||
Full text |
|
|||||
Abstract |
|
|||||