Journal of Agricultural Science and Technology ›› 2024, Vol. 26 ›› Issue (3): 134-145.DOI: 10.13304/j.nykjdb.2022.0707
• BIO-MANUFACTURING & RESOURCE AND ECOLOGY • Previous Articles Next Articles
Siyi ZHANG1(), Xiaotao LI1, Bin HE1(
), Beibei HAO1, Depeng LYU1,2, Xingen LIANG1
Received:
2022-08-25
Accepted:
2022-10-31
Online:
2024-03-15
Published:
2024-03-07
Contact:
Bin HE
张思毅1(), 李晓涛1, 贺斌1(
), 郝贝贝1, 吕德鹏1,2, 梁鑫根1
通讯作者:
贺斌
作者简介:
张思毅 E-mail:syzhang@soil.gd.cn;
基金资助:
CLC Number:
Siyi ZHANG, Xiaotao LI, Bin HE, Beibei HAO, Depeng LYU, Xingen LIANG. Characteristics of Non-point Source Pollution in Ecological Agriculture Watershed of South Reservoir[J]. Journal of Agricultural Science and Technology, 2024, 26(3): 134-145.
张思毅, 李晓涛, 贺斌, 郝贝贝, 吕德鹏, 梁鑫根. 南方库区生态农业小流域面源污染特征[J]. 中国农业科技导报, 2024, 26(3): 134-145.
Add to citation manager EndNote|Ris|BibTeX
URL: https://nkdb.magtechjournal.com/EN/10.13304/j.nykjdb.2022.0707
监测点Site | 位置Location | 纬度Latitude | 经度Longitude |
---|---|---|---|
S1 | 干流-鱼塘下侧Main stream after the fish pond | 24°06′22.41″N | 113°28′39.29″E |
S2 | 干流-1号点下游 Main stream after S1 | 24°06′25.86″N | 113°28′38.99″E |
S3 | 左侧1号支流 Branch 1 at left | 24°06'31.9″N | 113°28′37.71″E |
S4 | 右侧2号支流 Branch 2 at right | 24°06′38.70″N | 113°28′38.90″E |
S5 | 水田入水口Paddy field inlet | 24°06′42.25″N | 113°28′40.04″E |
S6 | 水田中央Paddy field | 24°06′44.77″N | 113°28′38.14″E |
S7 | 水田出水口Paddy field outlet | 24°06′48.22″N | 113°28′39.67″E |
S8 | 干流-养鹅场下游Main stream after the geese farm | 24°06′52.02″N | 113°28′38.32″E |
S9 | 干流-农场总部Main stream at the headquarter | 24°06′59.11″N | 113°28′39.16″E |
S10 | 养鸽场支流Branch at the pigeons farm | 24°06′57.79″N | 113°28′40.96″E |
S11 | 干流-养猪场支流汇入前Main stream before the black pig farm branch | 24°07′03.08″N | 113°28′41.99″E |
S12 | 养猪场支流Branch at the black pig farm | 24°07′04.08″N | 113°28′43.15″E |
S13 | 干流-养猪场支流汇入后Main stream after the black pig farm branch | 24°07′05.32″N | 113°28′41.58″E |
S14 | 干流最下游采样点Lower reach site at the main stream | 24°07′43.47″N | 113°28′37.31″E |
Table 1 Location of monitoring site
监测点Site | 位置Location | 纬度Latitude | 经度Longitude |
---|---|---|---|
S1 | 干流-鱼塘下侧Main stream after the fish pond | 24°06′22.41″N | 113°28′39.29″E |
S2 | 干流-1号点下游 Main stream after S1 | 24°06′25.86″N | 113°28′38.99″E |
S3 | 左侧1号支流 Branch 1 at left | 24°06'31.9″N | 113°28′37.71″E |
S4 | 右侧2号支流 Branch 2 at right | 24°06′38.70″N | 113°28′38.90″E |
S5 | 水田入水口Paddy field inlet | 24°06′42.25″N | 113°28′40.04″E |
S6 | 水田中央Paddy field | 24°06′44.77″N | 113°28′38.14″E |
S7 | 水田出水口Paddy field outlet | 24°06′48.22″N | 113°28′39.67″E |
S8 | 干流-养鹅场下游Main stream after the geese farm | 24°06′52.02″N | 113°28′38.32″E |
S9 | 干流-农场总部Main stream at the headquarter | 24°06′59.11″N | 113°28′39.16″E |
S10 | 养鸽场支流Branch at the pigeons farm | 24°06′57.79″N | 113°28′40.96″E |
S11 | 干流-养猪场支流汇入前Main stream before the black pig farm branch | 24°07′03.08″N | 113°28′41.99″E |
S12 | 养猪场支流Branch at the black pig farm | 24°07′04.08″N | 113°28′43.15″E |
S13 | 干流-养猪场支流汇入后Main stream after the black pig farm branch | 24°07′05.32″N | 113°28′41.58″E |
S14 | 干流最下游采样点Lower reach site at the main stream | 24°07′43.47″N | 113°28′37.31″E |
月份 Month | 降雨量 Precipitation/mm | 总氮 TN/(mg·L-1) | 硝态氮 NO | 氨氮 NH | 总磷 TP/(mg·L-1) |
---|---|---|---|---|---|
7 | 320.5 | 3.220 | 0.820 | 0.463 | 0.034 |
8 | 47.0 | 4.500 | 1.850 | 0.329 | 0.079 |
9 | 78.0 | 0.815 | 0.405 | 0.118 | 0.047 |
合计/均值 Sum/means | 445.5 | 2.934 | 0.856 | 0.388 | 0.041 |
Table 2 Rainfall nitrogen and phosphorus content at different times
月份 Month | 降雨量 Precipitation/mm | 总氮 TN/(mg·L-1) | 硝态氮 NO | 氨氮 NH | 总磷 TP/(mg·L-1) |
---|---|---|---|---|---|
7 | 320.5 | 3.220 | 0.820 | 0.463 | 0.034 |
8 | 47.0 | 4.500 | 1.850 | 0.329 | 0.079 |
9 | 78.0 | 0.815 | 0.405 | 0.118 | 0.047 |
合计/均值 Sum/means | 445.5 | 2.934 | 0.856 | 0.388 | 0.041 |
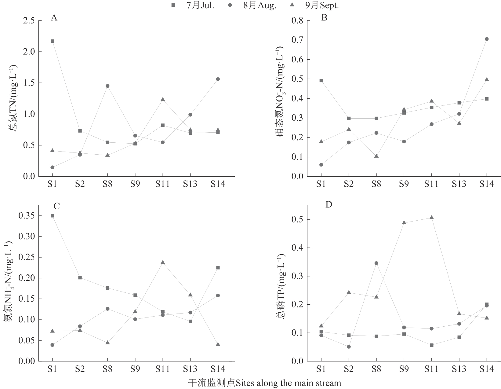
监测点 Site | 总氮 TN/(mg·L-1) | 硝态氮 NO | 氨氮 NH | 总磷 TP/(mg·L-1) | 主要超标物 Beyond standard |
---|---|---|---|---|---|
S1 | 0.824 | 0.301 | 0.129 | 0.090 | — |
S2 | 0.589 | 0.314 | 0.105 | 0.106 | — |
S3 | 0.483 | 0.348 | 0.073 | 0.025 | — |
S4 | 0.664 | 0.374 | 0.053 | 0.054 | — |
S5 | 1.070 | 0.557 | 0.076 | 0.062 | 总氮TN |
S6 | 0.835 | 0.335 | 0.229 | 0.515 | 总磷TP |
S7 | 1.340 | 0.312 | 0.311 | 0.326 | 总磷TP |
S8 | 0.797 | 0.285 | 0.106 | 0.180 | — |
S9 | 0.755 | 0.348 | 0.116 | 0.193 | — |
S10 | 4.630 | 0.320 | 0.588 | 0.688 | 总氮、总磷TN,TP |
S11 | 0.852 | 0.384 | 0.137 | 0.186 | — |
S12 | 0.736 | 0.479 | 0.088 | 0.145 | — |
S13 | 0.892 | 0.393 | 0.143 | 0.105 | — |
S14 | 1.120 | 0.568 | 0.128 | 0.164 | 总氮TN |
Table 3 Monitoring results and beyond-standard situation of nitrogen and phosphorus content in surface water
监测点 Site | 总氮 TN/(mg·L-1) | 硝态氮 NO | 氨氮 NH | 总磷 TP/(mg·L-1) | 主要超标物 Beyond standard |
---|---|---|---|---|---|
S1 | 0.824 | 0.301 | 0.129 | 0.090 | — |
S2 | 0.589 | 0.314 | 0.105 | 0.106 | — |
S3 | 0.483 | 0.348 | 0.073 | 0.025 | — |
S4 | 0.664 | 0.374 | 0.053 | 0.054 | — |
S5 | 1.070 | 0.557 | 0.076 | 0.062 | 总氮TN |
S6 | 0.835 | 0.335 | 0.229 | 0.515 | 总磷TP |
S7 | 1.340 | 0.312 | 0.311 | 0.326 | 总磷TP |
S8 | 0.797 | 0.285 | 0.106 | 0.180 | — |
S9 | 0.755 | 0.348 | 0.116 | 0.193 | — |
S10 | 4.630 | 0.320 | 0.588 | 0.688 | 总氮、总磷TN,TP |
S11 | 0.852 | 0.384 | 0.137 | 0.186 | — |
S12 | 0.736 | 0.479 | 0.088 | 0.145 | — |
S13 | 0.892 | 0.393 | 0.143 | 0.105 | — |
S14 | 1.120 | 0.568 | 0.128 | 0.164 | 总氮TN |
监测点 Site | 总氮 TN | 硝态氮 NO | 氨氮 NH | 总磷 TP |
---|---|---|---|---|
S1 | 57.50 | 2.10 | 9.00 | 31.40 |
S2 | 46.92 | 2.50 | 8.36 | 42.22 |
S3 | 67.48 | 4.86 | 10.20 | 17.46 |
S4 | 64.82 | 3.65 | 5.17 | 26.36 |
S5 | 70.78 | 3.68 | 5.03 | 20.51 |
S6 | 22.74 | 0.91 | 6.24 | 70.12 |
S7 | 40.46 | 0.94 | 9.39 | 49.21 |
S8 | 43.52 | 1.56 | 5.79 | 49.14 |
S9 | 40.36 | 1.86 | 6.20 | 51.58 |
S10 | 53.28 | 0.37 | 6.77 | 39.59 |
S11 | 43.53 | 1.96 | 7.00 | 47.51 |
S12 | 46.09 | 3.00 | 5.51 | 45.40 |
S13 | 55.77 | 2.46 | 8.94 | 32.83 |
S14 | 52.71 | 2.67 | 6.02 | 38.59 |
Table 4 Ratio of pollutant loading in equivalent standard
监测点 Site | 总氮 TN | 硝态氮 NO | 氨氮 NH | 总磷 TP |
---|---|---|---|---|
S1 | 57.50 | 2.10 | 9.00 | 31.40 |
S2 | 46.92 | 2.50 | 8.36 | 42.22 |
S3 | 67.48 | 4.86 | 10.20 | 17.46 |
S4 | 64.82 | 3.65 | 5.17 | 26.36 |
S5 | 70.78 | 3.68 | 5.03 | 20.51 |
S6 | 22.74 | 0.91 | 6.24 | 70.12 |
S7 | 40.46 | 0.94 | 9.39 | 49.21 |
S8 | 43.52 | 1.56 | 5.79 | 49.14 |
S9 | 40.36 | 1.86 | 6.20 | 51.58 |
S10 | 53.28 | 0.37 | 6.77 | 39.59 |
S11 | 43.53 | 1.96 | 7.00 | 47.51 |
S12 | 46.09 | 3.00 | 5.51 | 45.40 |
S13 | 55.77 | 2.46 | 8.94 | 32.83 |
S14 | 52.71 | 2.67 | 6.02 | 38.59 |
月份 Month | 总氮TN | 硝态氮NO | 氨氮NH | 总磷TP | ||||
---|---|---|---|---|---|---|---|---|
通量范围 Flux Range | 均值 mean | 通量范围 Flux Range | 均值 Mean | 通量范围 Flux Range | 均值 Mean | 通量范围 Flux Range | 均值 Mean | |
7 | 73.70~382.70 | 162.90 | 40.20~95.60 | 68.50 | 19.10~61.70 | 35.20 | 9.13~48.30 | 20.20 |
8 | 2.18~66.70 | 30.90 | 0.90~30.10 | 10.30 | 0.59~6.75 | 3.78 | 0.83~12.10 | 5.39 |
9 | 4.67~33.30 | 17.20 | 2.66~30.10 | 8.22 | 0.92~5.80 | 2.70 | 2.05~12.40 | 6.80 |
Table 5 Time changes of nitrogen and phosphorus fluxes in the main stream
月份 Month | 总氮TN | 硝态氮NO | 氨氮NH | 总磷TP | ||||
---|---|---|---|---|---|---|---|---|
通量范围 Flux Range | 均值 mean | 通量范围 Flux Range | 均值 Mean | 通量范围 Flux Range | 均值 Mean | 通量范围 Flux Range | 均值 Mean | |
7 | 73.70~382.70 | 162.90 | 40.20~95.60 | 68.50 | 19.10~61.70 | 35.20 | 9.13~48.30 | 20.20 |
8 | 2.18~66.70 | 30.90 | 0.90~30.10 | 10.30 | 0.59~6.75 | 3.78 | 0.83~12.10 | 5.39 |
9 | 4.67~33.30 | 17.20 | 2.66~30.10 | 8.22 | 0.92~5.80 | 2.70 | 2.05~12.40 | 6.80 |
项目 Item | 干流Main stream | 支流Branches | ||||||||
---|---|---|---|---|---|---|---|---|---|---|
S1 | S2 | S8 | S9 | S11 | S13 | S14 | S4 | S10 | S12 | |
总氮TN | 329.45 | 121.63 | 192.19 | 188.56 | 189.91 | 256.70 | 345.22 | 17.69 | 23.46 | 47.53 |
硝态氮NO | 77.77 | 52.49 | 55.22 | 90.34 | 78.69 | 111.80 | 182.39 | 8.63 | 1.41 | 32.91 |
氨氮NH | 53.83 | 32.46 | 31.49 | 43.90 | 31.83 | 36.22 | 62.81 | 1.78 | 4.16 | 4.64 |
总磷TP | 21.35 | 19.26 | 46.85 | 49.14 | 33.93 | 36.14 | 69.47 | 1.19 | 3.27 | 8.65 |
Table 6 Nitrogen and phosphorus discharge load
项目 Item | 干流Main stream | 支流Branches | ||||||||
---|---|---|---|---|---|---|---|---|---|---|
S1 | S2 | S8 | S9 | S11 | S13 | S14 | S4 | S10 | S12 | |
总氮TN | 329.45 | 121.63 | 192.19 | 188.56 | 189.91 | 256.70 | 345.22 | 17.69 | 23.46 | 47.53 |
硝态氮NO | 77.77 | 52.49 | 55.22 | 90.34 | 78.69 | 111.80 | 182.39 | 8.63 | 1.41 | 32.91 |
氨氮NH | 53.83 | 32.46 | 31.49 | 43.90 | 31.83 | 36.22 | 62.81 | 1.78 | 4.16 | 4.64 |
总磷TP | 21.35 | 19.26 | 46.85 | 49.14 | 33.93 | 36.14 | 69.47 | 1.19 | 3.27 | 8.65 |
1 | 中华人民共和国生态环境部, 国家统计局, 中华人民共和国农业农村部. 第二次全国污染源普查公报[R]. (2020-06-08)[2022-08-01]. https://www.mee.gov.cn/home/ztbd/rdzl/wrypc/zlxz/202006/t20200616_784745.html. |
2 | 中华人民共和国生态环境部. 2020中国生态环境状况公报[R]. (2021-05-26)[2022-08-01]. https://www.mee.gov.cn/hjzl/sthjzk/zghjzkgb/. |
3 | 中华人民共和国生态环境部. 2019年中国生态环境统计年报[R]. (2021-08-27)[2022-08-01]. https://www.mee.gov.cn/hjzl/sthjzk/sthjtjnb/202108/t20210827_861012.shtml. |
4 | 储雪丹, 唐鹊辉, 彭亮. 广东省大型水库富营养化现状与水质管理对策[J]. 人民珠江, 2016,37(8):77-81. |
CHU X D, TANG Q H, PENG L. Eutrophication and water quality management of large reservoirs in Guangdong province [J]. Pearl River, 2016, 37 (8): 77-81. | |
5 | MAO L H, HAN X M. Countermeasures of non-point source pollution prevention and control in Wohushan waterhead area [J]. Adv. Materials Res., 2013, 864-867: 1466-1469. |
6 | 单既亮, 李湘妮, 张晶, 等. 广东佛山市农业面源污染来源与防控措施[J]. 农业工程技术, 2019, 39(17):43-44. |
7 | 王立萍, 娄山崇, 孙秀玲, 等. 尼山水库小流域典型面源污染来源及特征分析[J]. 农业资源与环境学报, 2022, 39(1): 26-35. |
WANG L P, LOU S C, SUN X L, et al.. Analysis of sources and characteristics of typical non-point pollution in a small watershed of Nishan reservoir, China [J]. J. Agric. Resour. Environ., 2022, 39 (1): 26-35. | |
8 | 路月仙, 陈振楼, 王军, 等. 地表水环境非点源污染研究的进展与展望 [J]. 环境保护, 2003(11): 22-26. |
LU Y X, CHEN Z L, WANG J, et al.. Research progress and prospect of surface water environmental non-point source pollution [J]. Environ. Prot., 2003(11): 22-26. | |
9 | 杨林章, 施卫明, 薛利红, 等. 农村面源污染治理的“4R”理论与工程实践——总体思路与"4R"治理技术[J]. 农业环境科学学报, 2013, 32(1): 1-8. |
YANG L Z, SHI W M, XUE L H, et al.. Reduce-retain-reuse-restore technology for the controlling the agricultural non-point source pollution in countryside in China: general countermeasures and technologies [J]. J. Agro-Environ. Sci., 2013, 32(1): 1-8. | |
10 | 李晓莲, 杨怀钦. 发展生态农业控制洱海流域农业面源污染[J]. 农业环境与发展, 2013, 30(3): 53-54. |
LI X L, YANG H Q. Developing ecological agriculture and controlling agricultural non-point source pollution in Erhai Basin [J]. Agric. Environ. Dev., 2013, 30 (3): 53-54. | |
11 | 亢志华, 唐剑, 刘华周. 构建江苏太湖流域生态农业补偿机制理论初探[J]. 江苏农业科学, 2014, 42(2): 412-414. |
KANG Z H, TANG J, LIU H Z. On the theory of constructing ecological agriculture compensation mechanism in Taihu Lake Basin of Jiangsu province [J]. Jiangsu Agric. Sci., 2014, 42(2): 412-414. | |
12 | 牟文琴, 滕祥河, 巩朋勃. 长江流域生态农业的实践发展研究综述[J]. 科学咨询(科技·管理), 2015, 49(12): 4-5. |
13 | KAN D, DUAN P. Resource-based agricultural non-point source pollution control using biological agents [J]. Water Supply, 2021, 21(5): 2035-2046. |
14 | SEENA R A R, SUJA G, SREEKUMAR J. How sustainable is organic management in cassava? Evidences from yield, qualitysoil, energetics and economics in the humid tropics of South India [J/OL]. Sci. Hortic., 2022, 293: 110723[2022-08-01]. . |
15 | XU B, NIU Y, ZHANG Y, et al.. China’s agricultural non-point source pollution and green growth: interaction and spatial spillover [J]. Environ. Sci. Pollut. Res. Int., 2022, 29(40): 60278-60288. |
16 | 薛利红, 杨林章, 施卫明, 等. 农村面源污染治理的“4R”理论与工程实践——源头减量技术[J]. 农业环境科学学报, 2013, 32(5): 881-888. |
XUE L H, YANG L Z, SHI W M, et al.. Reduce-retain-reuse-restore technology for controlling the agricultural non-point pollution in countryside in China: source reduction technology [J]. J. Agro-Environ. Sci., 2013, 32(5): 881-888. | |
17 | SHEN Z Y, HONG Q, YU H, et al.. Parameter uncertainty analysis of non-point source pollution from different land use types [J]. Sci. Total Environ., 2010, 408(8): 1971-1978. |
18 | 杨尚, 罗潋葱, 翟海涛, 等. 大沙河水库主要入库河流氮磷营养输入分析[J]. 生态科学, 2013, 32(2):158-164. |
YANG S, LUO L C, ZHAI H T, et al.. Analysis on inputs of nitrogen and phosphorous from the main inflow rivers of Dashahe Reservoir [J]. Ecol. Sci., 2013, 32 (2): 158-164. | |
19 | 环境保护部. 水质 总氮的测定 碱性过硫酸钾消解紫外分光光度法: [S]. 北京: 中国环境科学出版社, 2012. |
20 | 国家环境保护总局. 水质 硝酸盐氮的测定 紫外分光光度法(试行): [S]. 北京: 中国环境科学出版社, 2007. |
21 | 环境保护部. 水质 氨氮的测定 纳氏试剂分光光度法: [S]. 北京: 中国环境科学出版社, 2009. |
22 | 环境保护部. 水质 总磷的测定 流动注射-钼酸铵分光光度法: [S]. 北京: 中国环境科学出版社, 2013. |
23 | 国家环境保护总局, 国家质量监督检验检疫总局. 地表水环境质量标准: [S]. 北京: 中国环境科学出版社, 2002. |
24 | 丘丽清, 吴根义, 李想, 等. 基于等标污染负荷强度的海南省农村面源污染特征研究[J]. 农业资源与环境学报, 2023, 40(1): 55-63.. |
QIU L Q, WU G Y, LI X, et al.. Characteristics of agricultural non-point source pollution in Hainan rural area based on equal standard pollution load intensity [J]. J. Agric. Resour. Environ., 2023, 40(1): 55-63.. | |
25 | 中华人民共和国生态环境部. 排放源统计调查产排污核算方法和系数手册[EB/OL]. (2021-06-11)[2022-08-01]. . |
26 | 宋玉芝, 秦伯强, 杨龙元, 等. 大气湿沉降向太湖水生生态系统输送氮的初步估算[J]. 湖泊科学, 2005, 17(3): 226-230. |
SONG Y Z, QIN B Q, YANG L Y, et al.. Primary estimation of atmospheric wet depositon of nitrogen to aquaitc eeosystem of lake Taihu [J]. J. Lake Sci., 2005, 17(3): 226-230. | |
27 | 张佳颖, 于兴娜, 张毓秀, 等. 南京北郊大气降水中水溶性无机氮和有机氮沉降特征[J]. 环境科学, 2022, 43(7): 3416-3422. |
ZHANG J Y, YU X N, ZHANG Y X, et al.. Deposition characteristics of water-soluble inorganic nitrogen and organic nitrogen in atmospheric precipitation in the northern suburbs of Nanjing [J]. Environ. Sci., 2022, 43(7): 3416-3422. | |
28 | 王茜, 王雪梅, 林文实, 等. 鼎湖山无机氮湿沉降来源研究[J]. 环境科学研究, 2008, 21(6): 156-160. |
WANG Q, WANG X M, LIN W S, et al.. Study on sources of inorganic nitrogen in wet deposition in Dinghushan mountain [J]. Res. Environ. Sci., 2008, 21(6): 156-160. | |
29 | AVILA A, ALARCÓN M. Relationship between precipitation chemistry and meteorological situations at a rural site in NE Spain [J]. Atmospheric Environ., 1999, 33(11): 1663-1677. |
30 | 谢德体, 倪九派, 张洋, 等. 生态保育措施对三峡库区小流域地表氮磷排放负荷的影响[J]. 三峡生态环境监测, 2016, 1(1): 19-27. |
XIE D T, NI J P, ZHANG Y, et al.. Effects of ecological conservation measures on surface nitrogen and phosphorus loss load in the Three Gorges Reservoir area [J]. Ecol. Environ. Monitor. Three Gorges, 2016, 1(1): 19-27. | |
31 | 李红娜, 叶婧, 刘雪, 等. 利用生态农业产业链技术控制农业面源污染[J]. 水资源保护, 2015, 31(5):24-29. |
LI H N, YE J, LIU X, et al.. Control agricultural non-point pollution with technology of eco-agricultural industrial chain [J]. Water Resour. Protect., 2015, 31(5): 24-29. | |
32 | 胡承婷, 李建华. 西山岛小流域农业非点源污染负荷估算与控制[J]. 南方农业, 2018,12(32):162-165. |
HU C T, LI J H. Load estimation and control of agricultural non point source pollution in Xishan island small watershed [J]. South China Agric., 2018, 12(32): 162-165. | |
33 | 龚世飞, 丁武汉, 肖能武, 等. 丹江口水库核心水源区典型流域农业面源污染特征[J]. 农业环境科学学报, 2019, 38(12): 2816-2825. |
GONG S F, DING W H, XIAO N W, et al.. Characteristics of surface runoff and agricultural non-point source pollution in the core water source area of the Danjiangkou Reservoir [J]. J. Agro-Environ. Sci., 2019, 38(12): 2816-2825. | |
34 | 周崧, 和树庄, 胡斌, 等. 滇池柴河小流域暴雨径流氨氮的输移过程研究[J]. 环境科学与技术, 2013, 36(1):162-168. |
ZHOU S, HE S Z, HU B, et al.. Transportation process of ammonia nitrogen in storm runoff of Chaihe River watershed [J]. Environ. Sci. Technol., 2013, 36(1): 162-168. | |
35 | 曹瑞霞, 刘京, 邓开开, 等. 三峡库区典型紫色土小流域径流及氮磷流失特征[J]. 环境科学, 2019,40(12):5330-5339. |
CAO R X, LIU J, DENG K K, et al.. Characteristics of nitrogen and phosphorus losses and runoff in a typical purple soil watershed in the Three Gorges Reservoir area [J]. Environ. Sci., 2019, 40 (12), 5330-5339. | |
36 | 余红兵, 杨知建, 肖润林, 等. 水生植物的氮磷吸收能力及收割管理研究[J]. 草业学报, 2013, 22(1):294-299. |
YU H B, YANG Z J, XIAO R L, et al.. Absorption capacity of nitrogen and phosphorus of aquatic plants and harvest management research [J]. Acta Pratac. Sin., 2013, 22(1): 294-299. | |
37 | 罗良国, 陈崇娟, 赵天成, 等. 植物修复农田退水氮、磷污染研究进展[J]. 农业资源与环境学报, 2016, 33(1):1-9. |
LUO L G, CHEN C J, ZHAO T C, et al.. Progress on phytoremediation of drainage water N and P pollution in farmland drainage ditches: a review [J]. J. Agric. Resour. Environ., 2016, 33(1): 1-9. | |
38 | 付正辉, 张扬, 姜霞, 等. 基于输出系数法及土地利用方式识别的营养盐空间负荷解析——以十堰市为例[J]. 环境工程技术学报, 2022, 12(3):660-665. |
FU Z H, ZHANG Y, JIANG X, et al.. Spatial nutrient load analysis based on output coefficient method and land use pattern identification: a case study of Shiyan City [J]. J. Environ. Eng. Technol., 2022, 12(3): 660-665. |
[1] | HUANG Li-Hong, KE Qing-Ming, LIN Wen-Xiong. Application Status and Its Prospect of the High-new Technologies in the Construction of Eco-agriculture [J]. , 2005, 7(5): 50-54. |
Viewed | ||||||
Full text |
|
|||||
Abstract |
|
|||||