Journal of Agricultural Science and Technology ›› 2022, Vol. 24 ›› Issue (9): 197-207.DOI: 10.13304/j.nykjdb.2022.0478
• BIO-MANUFACTURING & RESOURCE AND ECOLOGY • Previous Articles Next Articles
Yang LIU1,2,3(), Qichang ZHANG3(
), Lu ZHANG3, Yuling LI1
Received:
2022-06-06
Accepted:
2022-07-23
Online:
2022-09-15
Published:
2022-10-11
Contact:
Qichang ZHANG
通讯作者:
张启昌
作者简介:
刘洋 E-mail:45735085@qq.com;
基金资助:
CLC Number:
Yang LIU, Qichang ZHANG, Lu ZHANG, Yuling LI. Effects of Water-fertilizer Coupling on Fine Root Growth and Root Antioxidant Enzyme of Lonicera caerulea Seedlings[J]. Journal of Agricultural Science and Technology, 2022, 24(9): 197-207.
刘洋, 张启昌, 张璐, 李玉灵. 水肥耦合对蓝靛果忍冬幼苗细根生长及根抗氧化酶的影响[J]. 中国农业科技导报, 2022, 24(9): 197-207.
Add to citation manager EndNote|Ris|BibTeX
URL: https://nkdb.magtechjournal.com/EN/10.13304/j.nykjdb.2022.0478
编码水平 Coding value | 施氮量/(g·株-1) Nitrogen application/(g·plant-1) | 施磷量/(g·株-1) Phosphorus application/(g·plant-1) | 土壤水分 Soil moisture/(%FC) |
---|---|---|---|
1.682 | 4.800 | 2.400 | 85 |
1.000 | 3.800 | 1.900 | 75 |
0.000 | 2.400 | 1.200 | 60 |
-1.000 | 1.000 | 0.500 | 45 |
-1.682 | 0.000 | 0.000 | 35 |
Table 1 Level coding of experimental factors
编码水平 Coding value | 施氮量/(g·株-1) Nitrogen application/(g·plant-1) | 施磷量/(g·株-1) Phosphorus application/(g·plant-1) | 土壤水分 Soil moisture/(%FC) |
---|---|---|---|
1.682 | 4.800 | 2.400 | 85 |
1.000 | 3.800 | 1.900 | 75 |
0.000 | 2.400 | 1.200 | 60 |
-1.000 | 1.000 | 0.500 | 45 |
-1.682 | 0.000 | 0.000 | 35 |
处理编号 Code of treatment | 土壤水分 Soil moisture/ (%FC) | 施氮量/(g·株-1) Nitrogen application/(g·plant-1) | 施磷量/(g·株-1) Phosphorus application/ (g·plant-1) | 处理编号 Code of treatment | 土壤水分 Soil moisture/ (%FC) | 施氮量/(g·株-1) Nitrogen application/(g·plant-1) | 施磷量/(g·株-1) Phosphorus application/ (g·plant-1) |
---|---|---|---|---|---|---|---|
1 | 45 | 1.0 | 0.5 | 11 | 60 | 0.0 | 1.2 |
2 | 45 | 1.0 | 1.9 | 12 | 60 | 4.8 | 1.2 |
3 | 45 | 3.8 | 0.5 | 13 | 60 | 2.4 | 0.0 |
4 | 45 | 3.8 | 1.9 | 14 | 60 | 2.4 | 2.4 |
5 | 75 | 1.0 | 0.5 | 15 | 60 | 2.4 | 1.2 |
6 | 75 | 1.0 | 1.9 | 16 | 60 | 2.4 | 1.2 |
7 | 75 | 3.8 | 0.5 | 17 | 60 | 2.4 | 1.2 |
8 | 75 | 3.8 | 1.9 | 18 | 60 | 2.4 | 1.2 |
9 | 35 | 2.4 | 1.2 | 19 | 60 | 2.4 | 1.2 |
10 | 85 | 2.4 | 1.2 | 20 | 60 | 2.4 | 1.2 |
Table 2 Soil moisture,nitrogen application and phosphorus application under different treatments
处理编号 Code of treatment | 土壤水分 Soil moisture/ (%FC) | 施氮量/(g·株-1) Nitrogen application/(g·plant-1) | 施磷量/(g·株-1) Phosphorus application/ (g·plant-1) | 处理编号 Code of treatment | 土壤水分 Soil moisture/ (%FC) | 施氮量/(g·株-1) Nitrogen application/(g·plant-1) | 施磷量/(g·株-1) Phosphorus application/ (g·plant-1) |
---|---|---|---|---|---|---|---|
1 | 45 | 1.0 | 0.5 | 11 | 60 | 0.0 | 1.2 |
2 | 45 | 1.0 | 1.9 | 12 | 60 | 4.8 | 1.2 |
3 | 45 | 3.8 | 0.5 | 13 | 60 | 2.4 | 0.0 |
4 | 45 | 3.8 | 1.9 | 14 | 60 | 2.4 | 2.4 |
5 | 75 | 1.0 | 0.5 | 15 | 60 | 2.4 | 1.2 |
6 | 75 | 1.0 | 1.9 | 16 | 60 | 2.4 | 1.2 |
7 | 75 | 3.8 | 0.5 | 17 | 60 | 2.4 | 1.2 |
8 | 75 | 3.8 | 1.9 | 18 | 60 | 2.4 | 1.2 |
9 | 35 | 2.4 | 1.2 | 19 | 60 | 2.4 | 1.2 |
10 | 85 | 2.4 | 1.2 | 20 | 60 | 2.4 | 1.2 |
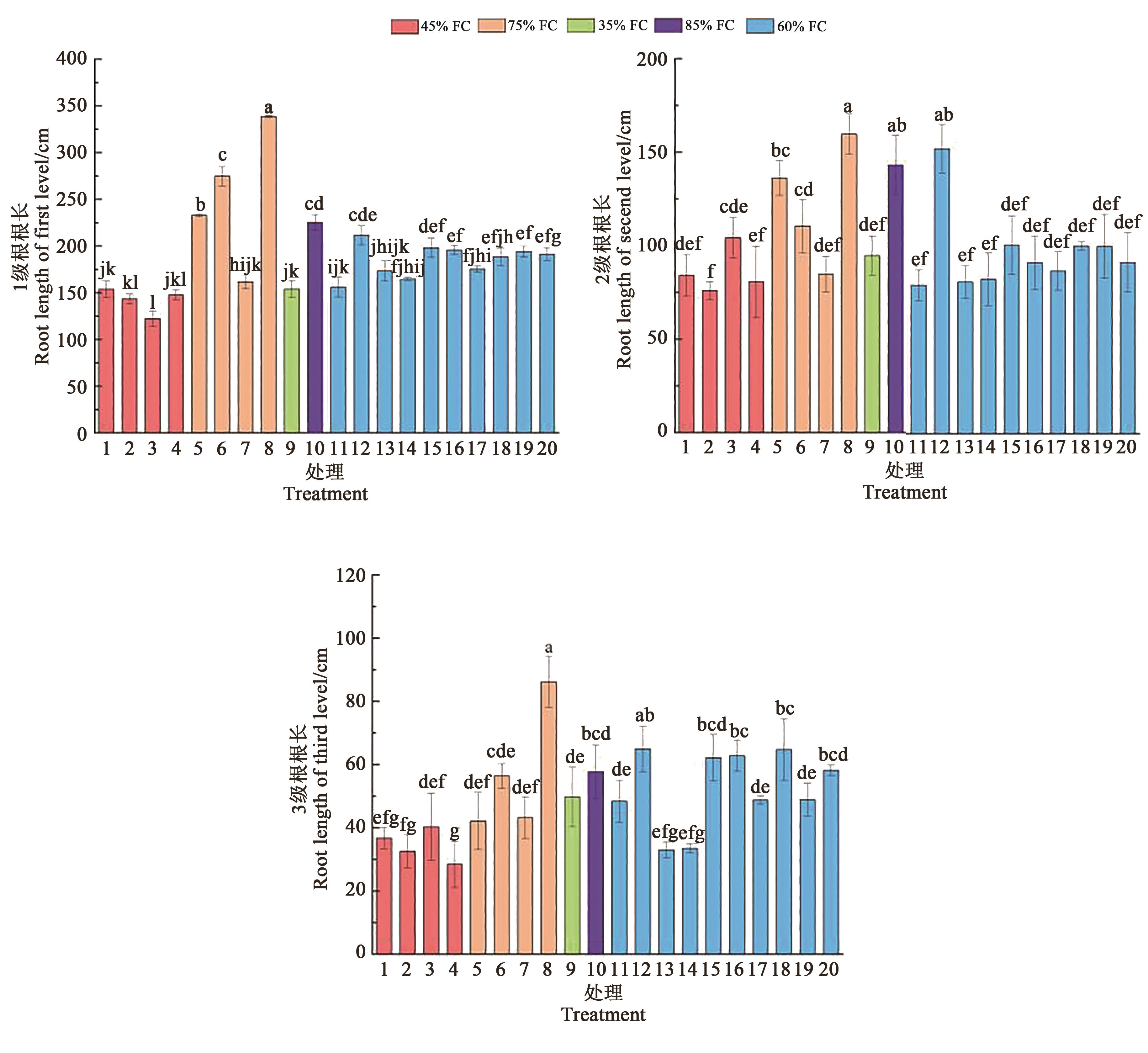
Fig. 2 Length for the 1~3 order roots in Lonicera caeruleaNote: Different lowercase letters indicate significant differences among treatments at P<0.05 level; code of treatment is the same as Table 2.
Fig. 3 Specific root length for the 1~3 order roots in Lonicera caeruleaNote: Different lowercase letters indicate significant differences among treatments at P<0.05 level; code of treatment is the same as Table 2.
Fig. 4 Changes of SOD activity in the roots of Lonicera caerulea under different treatmentsNote: Different lowercase letters indicate significant differences among treatments at P<0.05 level; code of treatment is the same as Table 2.
Fig. 5 Changes of POD activity in the roots of Lonicera caerulea under different treatmentsNote: Different lowercase letters indicate significant differences among treatments at P<0.05 level; code of treatment is the same as Table 2.
Fig. 6 Changes of APX activity in the roots of Lonicera caerulea under different treatmentsNote:Different lowercase letters indicate significant differences among treatments at P<0.05 level; code of treatment is the same as Table 2.
Fig. 7 Changes of GSH-Px activity in the roots of Lonicera caerulea under different treatmentsNote:Different lowercase letters indicate significant differences among treatments at P<0.05 level; code of treatment is the same as Table 2.
指标 Index | 施氮量 Nitrogen application(N) | 施磷量 Phosphorus application(P) | 土壤水分 soil moisture (W) | W×N | W×P | N×P |
---|---|---|---|---|---|---|
SOD活性 SOD activity | + | - | - | - | + | - |
POD活性 POD activity | × | - | - | × | × | - |
APX活性 APX activity | - | - | - | + | + | - |
GSH-Px活性 GSH-Px activity | - | - | - | + | + | + |
Table 3 Effects analysis of soil and fertilizer application on antioxidant enzyme activity of root of Lonicera caerulea seedlings
指标 Index | 施氮量 Nitrogen application(N) | 施磷量 Phosphorus application(P) | 土壤水分 soil moisture (W) | W×N | W×P | N×P |
---|---|---|---|---|---|---|
SOD活性 SOD activity | + | - | - | - | + | - |
POD活性 POD activity | × | - | - | × | × | - |
APX活性 APX activity | - | - | - | + | + | - |
GSH-Px活性 GSH-Px activity | - | - | - | + | + | + |
1 | 乔永在.蓝靛果忍冬(Lonicera caerulea)种质资源评价研究[D].北京:中国农业科学院,2016. |
QIAO Y Z. Evaluation study of blue honeysuckle (Lonicera caerulea) germplasm resources [D]. Beijing: Chinese Academy of Agricultural Sciences, 2016. | |
2 | 赵晓雪,薛利强.蓝靛果忍冬品种综合评价研究[J].现代园艺,2019(15):5-6. |
ZHAO X X, XUE L Q. Research on the comprehensive evaluation of Lonicera caerulea varieties [J]. Xiandai Hortic.,2019(15):5-6. | |
3 | 其其格,闫婕妤,张启昌,等.长白山北坡蓝靛果忍冬群落物种多样性随海拔梯度变化[J].东北林业大学学报,2022,50(3):35-41. |
QI Q G, YAN J Y, ZHANG Q C, et al.. Variation of species diversity in Lonicera caerulea communities with altitude gradient in north slope of Chang-bai mountain [J]. J. Northeast For. Univ., 2022,50(3):35-41. | |
4 | LI F F, ZHAO H T, XU R R, et al.. Simultaneous optimization of the acidified water extraction for total anthocyanin content, total phenolic content, and antioxidant activity of blue honeysuckle berries (Lonicera caerulea) using response surface methodology [J]. Food Sci. Nutr., 2019, 7(9): 2968-2976. |
5 | 何睿橦,钟全林,李宝银,等.氮磷配施对刨花楠幼林细根性状的影响[J].应用生态学报,2022,33(2):337-343. |
HE R T, ZHONG Q L, LI B Y, et al.. Effects of combined nitrogen and phosphorus addition on fine root traits of young Machilus pauhoi forest [J]. Chin. J. Appl. Ecol., 2022,33(2):337-343. | |
6 | 郭艳芳.胡杨幼苗地上地下生长关系的遗传解析[D].北京:北京林业大学, 2019. |
GUO Y F. Genetic analysis of aboveground and belowground growth for the seedling of Populus euahratica [D].Beijing:Beijing Forestry University,2019. | |
7 | TURNER N C. Concurrent comparisons of stomatal behavior, water status, and evaporationof maize insoil at high or low water potential [J]. Plant Physiol., 1975, 55(5): 932-936. |
8 | CUTLER J M, SHAHA N K W, STEPONKUS P L. Influence of water deficits and osmotic adjustment on leaf elongationinrice [J]. Crop Sci., 1980, 20(3): 314-318. |
9 | 潘瑞炽, 王晓菁, 李娘辉. 植物生理学[M] .第6版. 北京:高等教育出版社, 2008:152-166. |
PAN R Z, WANG X J, LI N H. Plant Physiology [M]. 6th Ed n. Beijing: Higher Education Press,2008:152-166. | |
10 | 付中香, 范秀蒙, 史冬燕. 低温胁迫下2种羽衣甘蓝叶片中渗透物质含量比较[J]. 现代农业科技, 2019(24): 33-34, 38. |
FU Z X, FAN X M, SHI D Y. Comparison of osmotic substance contents in leaves of two varieties of Kale under low temperature stress [J]. Modern Agric. Technol.,2019(24): 33-34, 38. | |
11 | 林兴军.不同水肥对日光温室番茄品质和抗氧化系统及土壤环境的影响[D].杨凌:中国科学院研究生院,2011. |
LIN X J. Effects of different irrigation and fertilizer levels on fruit quality and antioxidant system and soil environment of tomato in the greenhouse [D].Yangling:Chinese Academy of Science,2011. | |
12 | 刘士玲, 陈琳, 庞圣江, 等. 施N、P肥对西南桦无性系幼苗生长及叶片N、P含量的影响[J].华南农业大学学报, 2020, 41(2): 111-116. |
LIU S L, CHEN L, PANG S J, et al.. Effects of N and P fertilization on growth and leaf N and P contents of Betula alnoides clone seedlings [J]. J. South China Agric. Univ., 2020, 41(2): 111-116. | |
13 | 张希吏,王萍,石磊,等.干旱胁迫对沙芥幼苗根系形态及抗氧化酶活性的影响[J].干旱地区农业研究, 2016, 34(5): 160-164. |
ZHANG X L, WANG P, SHI L, et al.. Root morphology and antioxidant enzyme activity of Pugionium cornutum (L.) Gaertn under drought stress [J]. Agric. Res. Arid Areas,2016, 34(5): 160-164. | |
14 | 里程辉,于辉,刘志,等.淹水胁迫下不同中间砧对苹果岳冠叶片和根系抗氧化酶和非酶类抗氧化物活性的影响[J].江苏农业科学, 2021, 49(3): 121-125. |
LI C H, YU H, LIU Z, et al.. Effects of different interstocks on the activities of antioxidant enzymes and non-enzymatic antioxidants in leaves and roots of Apple Yueguan under flooding stress [J]. Jiangsu Agric. Sci., 2021, 49(3): 121-125. | |
15 | 张富玮, 张东亚, 李建贵,等. 低温胁迫对蓝靛果忍冬抗寒性的影响[J].经济林研究, 2017, 35(2): 127-131. |
ZHANG F W, ZHANG D Y, LI J G, et al.. Influences of low temperature stress on cold-resistance in Lonicera caerulea [J].Nonwood For. Res., 2017, 35(2): 127-131. | |
16 | 张富玮, 张东亚, 李建贵. 低温胁迫对蓝靛果忍冬渗透调节物质的影响[J].经济林研究, 2017, 35(12):222-225, 247. |
ZHANG F W, ZHANG D Y, LI J G. Influences of low temperature stress on osmotic regulation substances in Lonicera caerulea [J]. Nonwood For. Res.,2017, 35(12):222-225, 247. | |
17 | 孙雅丽,古丽江·许库尔汗,虎海防.盐胁迫下四种蓝靛果忍冬的光合特征研究[J].北方园艺,2019(1):35-41. |
SUN Y L, XUKUERHANG L J, HU H F. Study on photosynthetic response characteristics of four kinds of Lonicera caerulea under salt stress [J]. Northen Hortic., 2019(1):35-41. | |
18 | 古丽江·许库尔汗,阿依古丽·铁木儿,孙雅丽, 等. 不同蓝靛果忍冬品种对干旱胁迫的光合生理响应比较分析[J].核农学报, 2015, 29(9): 1833-1843. |
XUKUERHANG L J, TIEMUER A Y G L, SUN Y L, et al.. Comparative analysiss on photosynthetic physiological responses of different varieties of Lonicera caerulea under drought stress [J]. Acta Agric. Nucl. Sin., 2015, 29(9): 1833-1843. | |
19 | 赵文杰, 王利, 张启昌, 等. 长白山北坡蓝靛果忍冬渗透调节物质质量分数及抗氧化酶活性对海拔梯度的响应[J].东北林业大学学报, 2016, 44(7): 28-33. |
ZHAO W J, WANG L, ZHANG Q C, et al.. Responses of leaf osmoregulation substance and protective enzyme activity of Lonicera caerulea in the north slope of Changbai mountain to elevation gradient [J]. J. Northeast For. Univ., 2016, 44(7): 28-33. | |
20 | PREGITZER K S, DEFOREST J L, BURTON A J,et al.. Fine root architecture of nine North American trees [J]. Ecol. Monographs, 2002, 72(2): 293-309. |
21 | 蔡庆生.植物生理学[M].北京:中国农业大学出版社,2014:1-210. |
CAI Q S. Plant Physiology [M]. Beijing: China Agricultural University Press,2014:1-210. | |
22 | NAKANO Y, ASADA K. Hydrogen peroxide is scavenged by ascorbate-specific peroxidase inspinach chloroplasts [J]. Plant Cell Physiol., 1981, 22(5): 867-880. |
23 | 程奇云.蓄水坑灌氮肥管理方式对果园氮素分布利用及果树生长的影响[D].太原:太原理工大学,2021. |
CHENG Q Y. Effects of nitrogen management on nitrogen distribution, utilization in orchard and apple tree physiology under water storage pit irrigation [D]. Taiyuan: Taiyuan University of Technology,2021. | |
24 | 石美娟,续海红,郭华, 等. 水分胁迫下水肥耦合对矮砧富士幼树生长及保护酶活性的影响[J].干旱地区农业研究, 2022, 40(1): 146-154. |
SHI M J, XU H H, GUO H, et al.. Effects of water and fertilizer coupling on growth and protective enzyme activities of dwarf rootstock Fuji sapling under water stress [J]. Agric. Res. Arid Areas, 2022, 40(1): 146-154. | |
25 | HAVAUX M. Carotenoid oxidationproducts as stress signals inplants [J]. Plant J., 2014, 79(4): 597-606. |
26 | POSPÍŠIL P, YAMAMOTO Y. Damage to photosystem Ⅱ by lipid peroxidation products [J]. Biochimica et Biophysica Acta (BBA)-General Subjects, 2017, 1861(2): 457-466. |
27 | 郭新送, 苏秀荣, 范仲卿, 等. 盐分胁迫下控释尿素配施腐植酸对棉花幼苗生长和抗氧化系统的影响[J]. 土壤, 2021, 53(1): 112-117. |
GUO X S, SU X R, FAN Z Q, et al.. Effects of combined application of controlled-release urea and humic acid on growth and antioxidant system of cotton seedlings under salt stress [J]. Soil, 2021, 53(1): 112-117. | |
28 | 邹养军. 苹果根系分区灌水的生理机制及应用研究[D].杨凌:西北农林科技大学,2006. |
ZOU Y J. Study on physiological mechanism and application of apple trees under partial rootzone irrigation [D]. Yangling: Northwest A&F University, 2006. | |
29 | 侯栋, 马风云, 王笛. 干旱胁迫对4核桃品种生化指标的影响[J]. 西南林学院学报, 2010, 30(3): 24-27. |
HOU D, MA F Y, WANG D. Effects of drought stress on physiological indices of four Juglans regia cultivars [J]. J. Southwest For. Univ., 2010, 30(3): 24-27. |
[1] | Xueqing LIU, Jing WANG, Yi YANG, Huiqin WU, Yanhong WANG, Luyao WANG, Jiawei LU, Kaixuan ZHANG, Yuan ZHAI, Yan CHENG. Effect of Exogenous Ethephon on Defoliation and Yield of Pigmented Pepper [J]. Journal of Agricultural Science and Technology, 2025, 27(8): 36-46. |
[2] | WANG Zhiheng, HUANG Siqi, ZOU Fang, YANG Xiuliu, WEI Yuqing*. Effects of Temperature and NaCl on Seed Germination and Seedling Antioxidant Enzyme Activities of Sweet Sorghum [J]. Journal of Agricultural Science and Technology, 2020, 22(9): 42-51. |
Viewed | ||||||
Full text |
|
|||||
Abstract |
|
|||||