








Journal of Agricultural Science and Technology ›› 2022, Vol. 24 ›› Issue (9): 188-196.DOI: 10.13304/j.nykjdb.2021.1105
• BIO-MANUFACTURING & RESOURCE AND ECOLOGY • Previous Articles Next Articles
Yan MENG1(
), Wei WANG1(
), Quancai XI2, Yi LI1, Laisheng CHEN1, Zhongping DU1, Rui HAN1(
)
Received:2021-12-29
Accepted:2022-03-09
Online:2022-09-15
Published:2022-10-11
Contact:
Rui HAN
孟艳1(
), 汪微1(
), 葸全财2, 李屹1, 陈来生1, 杜中平1, 韩睿1(
)
通讯作者:
韩睿
作者简介:孟艳 E-mail:1991218370@qq.com基金资助:CLC Number:
Yan MENG, Wei WANG, Quancai XI, Yi LI, Laisheng CHEN, Zhongping DU, Rui HAN. Effect of Biogas Slurry Pretreatment on Anaerobic Digestion of Vegetable Straws[J]. Journal of Agricultural Science and Technology, 2022, 24(9): 188-196.
孟艳, 汪微, 葸全财, 李屹, 陈来生, 杜中平, 韩睿. 沼液预处理对蔬菜秸秆厌氧消化性能的影响[J]. 中国农业科技导报, 2022, 24(9): 188-196.
Add to citation manager EndNote|Ris|BibTeX
URL: https://nkdb.magtechjournal.com/EN/10.13304/j.nykjdb.2021.1105
参数 Paremeter | 黄瓜秸秆 Cucumber straw | 番茄秸秆 Tomato straw | 茄子秸秆 Eggplant straw | 辣椒秸秆 Pepper straw | 接种物 Inoculum | 猪粪沼液 Pig manure biogas slurry |
|---|---|---|---|---|---|---|
| pH | — | — | — | — | 7.56±0.05 | 7.11±0.03 |
| 总固体TS/% | 94.88±0.03 | 95.12±0.30 | 94.60±0.20 | 94.59±0.06 | 3.87±0.04 | 1.64±0.06 |
| 挥发性固体VS/% | 83.20±0.02 | 87.91±0.70 | 84.73±0.13 | 85.28±0.71 | 2.49±0.08 | 1.39±0.11 |
Table 1 Characteristics of raw materials and inoculum
参数 Paremeter | 黄瓜秸秆 Cucumber straw | 番茄秸秆 Tomato straw | 茄子秸秆 Eggplant straw | 辣椒秸秆 Pepper straw | 接种物 Inoculum | 猪粪沼液 Pig manure biogas slurry |
|---|---|---|---|---|---|---|
| pH | — | — | — | — | 7.56±0.05 | 7.11±0.03 |
| 总固体TS/% | 94.88±0.03 | 95.12±0.30 | 94.60±0.20 | 94.59±0.06 | 3.87±0.04 | 1.64±0.06 |
| 挥发性固体VS/% | 83.20±0.02 | 87.91±0.70 | 84.73±0.13 | 85.28±0.71 | 2.49±0.08 | 1.39±0.11 |
处理 Treatment | 半纤维素 Hemicellulose/% | 纤维素 Cellulose/% | 木质素 Lignin/% |
|---|---|---|---|
| H0 | 9.49±0.65 a | 32.68±0.09 a | 7.69±0.06 d |
| H3 | 9.29±0.43 a | 29.65±0.16 b | 8.69±0.27 c |
| H5 | 4.83±0.72 b | 29.05±0.53 b | 9.67±0.14 b |
| H7 | 4.62±0.26 b | 25.67±0.73 c | 11.15±0.53 a |
| H9 | 4.51±0.53 b | 25.47±0.22 c | 11.23±0.36 a |
| F0 | 8.28±0.25 a | 31.93±0.16 a | 8.39±0.13 c |
| F3 | 7.28±0.31 b | 30.81±0.34 b | 8.89±0.42 c |
| F5 | 5.26±0.62 c | 27.91±0.47 c | 11.53±0.27 b |
| F7 | 5.11±0.74 c | 27.31±0.71 d | 12.28±1.01 ab |
| F9 | 5.02±0.18 c | 27.12±0.15 d | 12.54±0.15 a |
| Q0 | 7.16±0.56 a | 33.27±0.13 a | 7.34±0.22 c |
| Q3 | 6.33±0.22 a | 32.76±0.27 a | 12.85±0.34 b |
| Q5 | 5.77±1.03 b | 28.91±0.66 b | 12.03±0.19 a |
| Q7 | 5.70±0.55 c | 27.40±0.73 c | 13.08±0.63 a |
| Q9 | 5.29±0.41 d | 27.17±0.82 c | 13.19±0.25 a |
| L0 | 6.59±0.44 a | 35.79±0.11 a | 11.21±0.17 c |
| L3 | 6.05±0.19 ab | 29.92±0.24 b | 15.40±0.26 b |
| L5 | 5.51±0.36 b | 28.25±0.36 c | 17.57±0.49 a |
| L7 | 5.46±0.71 b | 27.93±0.52 c | 17.52±0.15 a |
| L9 | 5.42±0.35 b | 27.03±0.13 d | 17.33±0.38 a |
Table 2 Lignocellulose content of vegetable straw after pretreatment of biogas slurry
处理 Treatment | 半纤维素 Hemicellulose/% | 纤维素 Cellulose/% | 木质素 Lignin/% |
|---|---|---|---|
| H0 | 9.49±0.65 a | 32.68±0.09 a | 7.69±0.06 d |
| H3 | 9.29±0.43 a | 29.65±0.16 b | 8.69±0.27 c |
| H5 | 4.83±0.72 b | 29.05±0.53 b | 9.67±0.14 b |
| H7 | 4.62±0.26 b | 25.67±0.73 c | 11.15±0.53 a |
| H9 | 4.51±0.53 b | 25.47±0.22 c | 11.23±0.36 a |
| F0 | 8.28±0.25 a | 31.93±0.16 a | 8.39±0.13 c |
| F3 | 7.28±0.31 b | 30.81±0.34 b | 8.89±0.42 c |
| F5 | 5.26±0.62 c | 27.91±0.47 c | 11.53±0.27 b |
| F7 | 5.11±0.74 c | 27.31±0.71 d | 12.28±1.01 ab |
| F9 | 5.02±0.18 c | 27.12±0.15 d | 12.54±0.15 a |
| Q0 | 7.16±0.56 a | 33.27±0.13 a | 7.34±0.22 c |
| Q3 | 6.33±0.22 a | 32.76±0.27 a | 12.85±0.34 b |
| Q5 | 5.77±1.03 b | 28.91±0.66 b | 12.03±0.19 a |
| Q7 | 5.70±0.55 c | 27.40±0.73 c | 13.08±0.63 a |
| Q9 | 5.29±0.41 d | 27.17±0.82 c | 13.19±0.25 a |
| L0 | 6.59±0.44 a | 35.79±0.11 a | 11.21±0.17 c |
| L3 | 6.05±0.19 ab | 29.92±0.24 b | 15.40±0.26 b |
| L5 | 5.51±0.36 b | 28.25±0.36 c | 17.57±0.49 a |
| L7 | 5.46±0.71 b | 27.93±0.52 c | 17.52±0.15 a |
| L9 | 5.42±0.35 b | 27.03±0.13 d | 17.33±0.38 a |
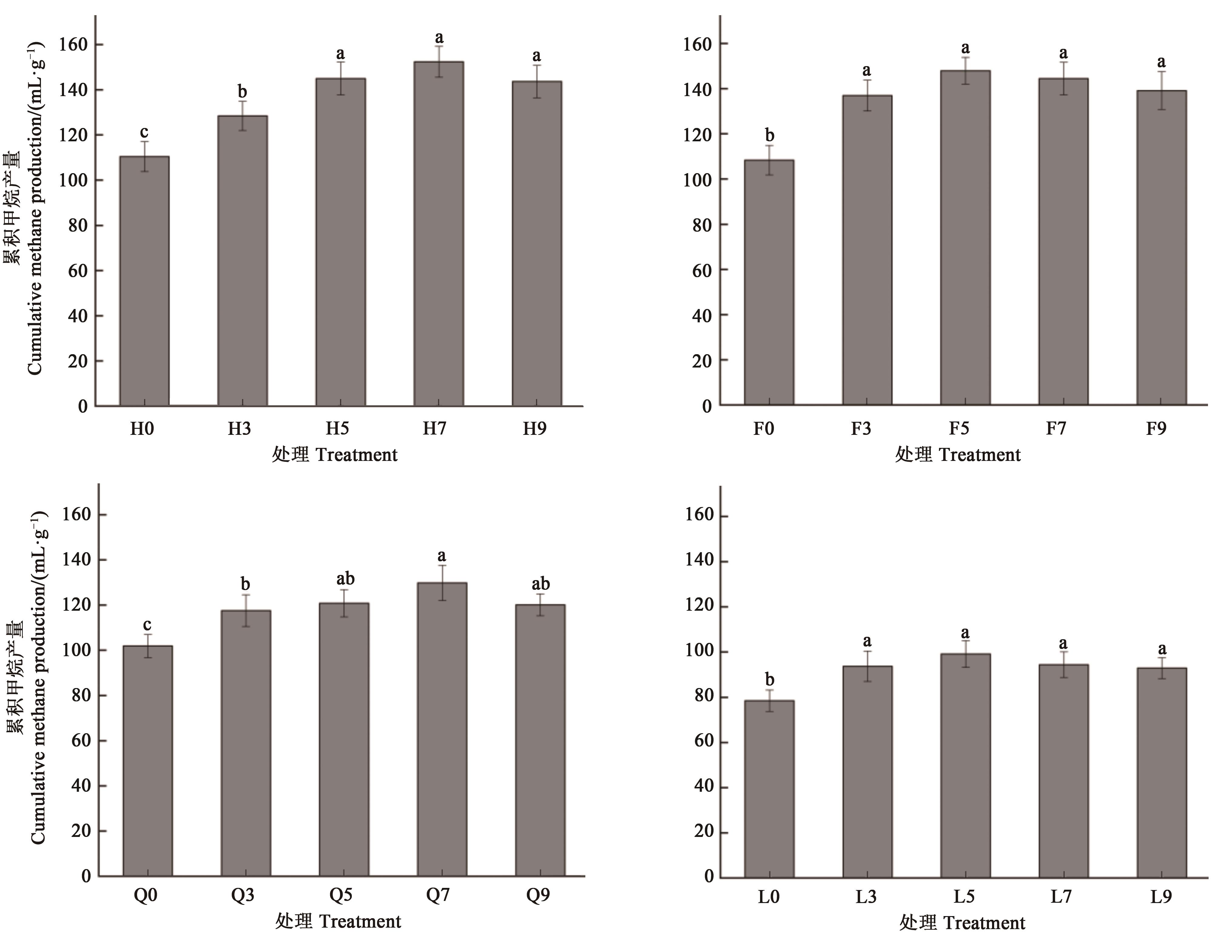
Fig. 2 Cumulative methane production of 4 vegetable straws after pretreatment of biogas slurryNote:Different lowercase letters indicate significant differences between different treatments at P<0.05 level.
处理 Treatment | 消化时间T90 Digestion time T90/d | 实际甲烷产量 Actual methane production/(mL·g-1) | 产甲烷潜力 Methane production potential/(mL·g-1) | 最大甲烷日产率 Maximum methane daily production rate/(mL·g-1·d-1) | R2 | 延滞期 Lag phase/d |
|---|---|---|---|---|---|---|
| H0 | 17 | 110.45 | 105.20 | 10.80 | 0.981 | 0.65 |
| H3 | 10 | 128.46 | 125.50 | 19.34 | 0.996 | 0.63 |
| H5 | 12 | 145.02 | 140.46 | 20.23 | 0.989 | 0.23 |
| H7 | 9 | 152.42 | 148.69 | 23.12 | 0.995 | 0.24 |
| H9 | 11 | 143.65 | 139.80 | 18.12 | 0.993 | 0.01 |
| F0 | 16 | 108.37 | 103.36 | 12.19 | 0.970 | -0.35 |
| F3 | 13 | 136.98 | 133.96 | 14.85 | 0.987 | -0.76 |
| F5 | 11 | 147.95 | 145.41 | 15.59 | 0.997 | -0.47 |
| F7 | 12 | 144.48 | 142.01 | 15.14 | 0.994 | -0.79 |
| F9 | 11 | 139.17 | 136.73 | 16.21 | 0.994 | -0.87 |
| Q0 | 17 | 101.90 | 96.55 | 11.68 | 0.979 | 0.13 |
| Q3 | 14 | 117.59 | 113.03 | 13.66 | 0.989 | 0.00 |
| Q5 | 13 | 120.85 | 116.63 | 14.41 | 0.989 | -0.11 |
| Q7 | 14 | 129.84 | 124.79 | 15.18 | 0.987 | 0.00 |
| Q9 | 13 | 120.14 | 116.26 | 14.58 | 0.987 | -0.13 |
| L0 | 18 | 78.50 | 73.88 | 8.75 | 0.966 | -0.15 |
| L3 | 13 | 93.70 | 90.48 | 11.75 | 0.973 | -0.80 |
| L5 | 14 | 99.17 | 95.35 | 10.85 | 0.972 | -1.06 |
| L7 | 12 | 94.45 | 91.22 | 12.25 | 0.981 | -0.53 |
| L9 | 12 | 92.90 | 89.32 | 12.54 | 0.977 | -0.56 |
Table 3 Fitting model parameters of methane production of 4 vegetable straws after pretreatment of biogas slurry and digestion time T90
处理 Treatment | 消化时间T90 Digestion time T90/d | 实际甲烷产量 Actual methane production/(mL·g-1) | 产甲烷潜力 Methane production potential/(mL·g-1) | 最大甲烷日产率 Maximum methane daily production rate/(mL·g-1·d-1) | R2 | 延滞期 Lag phase/d |
|---|---|---|---|---|---|---|
| H0 | 17 | 110.45 | 105.20 | 10.80 | 0.981 | 0.65 |
| H3 | 10 | 128.46 | 125.50 | 19.34 | 0.996 | 0.63 |
| H5 | 12 | 145.02 | 140.46 | 20.23 | 0.989 | 0.23 |
| H7 | 9 | 152.42 | 148.69 | 23.12 | 0.995 | 0.24 |
| H9 | 11 | 143.65 | 139.80 | 18.12 | 0.993 | 0.01 |
| F0 | 16 | 108.37 | 103.36 | 12.19 | 0.970 | -0.35 |
| F3 | 13 | 136.98 | 133.96 | 14.85 | 0.987 | -0.76 |
| F5 | 11 | 147.95 | 145.41 | 15.59 | 0.997 | -0.47 |
| F7 | 12 | 144.48 | 142.01 | 15.14 | 0.994 | -0.79 |
| F9 | 11 | 139.17 | 136.73 | 16.21 | 0.994 | -0.87 |
| Q0 | 17 | 101.90 | 96.55 | 11.68 | 0.979 | 0.13 |
| Q3 | 14 | 117.59 | 113.03 | 13.66 | 0.989 | 0.00 |
| Q5 | 13 | 120.85 | 116.63 | 14.41 | 0.989 | -0.11 |
| Q7 | 14 | 129.84 | 124.79 | 15.18 | 0.987 | 0.00 |
| Q9 | 13 | 120.14 | 116.26 | 14.58 | 0.987 | -0.13 |
| L0 | 18 | 78.50 | 73.88 | 8.75 | 0.966 | -0.15 |
| L3 | 13 | 93.70 | 90.48 | 11.75 | 0.973 | -0.80 |
| L5 | 14 | 99.17 | 95.35 | 10.85 | 0.972 | -1.06 |
| L7 | 12 | 94.45 | 91.22 | 12.25 | 0.981 | -0.53 |
| L9 | 12 | 92.90 | 89.32 | 12.54 | 0.977 | -0.56 |
处理 Treatment | pH | 挥发性脂肪酸含量 VFAs content/(mg·L-1) | 总碱度 TA/(mg CaCO3·L-1) | 氨氮含量 AN content/(mg·L-1) | 挥发性脂肪酸/总碱度 VFAs/TA |
|---|---|---|---|---|---|
| H0 | 7.81±0.02 | 935.89±46.79 | 5 624.37±139.24 | 626.37±21.32 | 0.17 |
| H3 | 7.98±0.14 | 563.45±28.17 | 4 373.12±0.00 | 734.72±56.74 | 0.13 |
| H5 | 7.67±0.06 | 1 062.26±53.11 | 4 373.12±0.00 | 864.34±73.22 | 0.24 |
| H7 | 7.94±0.08 | 656.56±32.83 | 9 359.35±231.79 | 658.32±42.92 | 0.07 |
| H9 | 7.87±0.05 | 982.45±49.12 | 5 624.37±137.48 | 652.84±32.64 | 0.17 |
| F0 | 7.94±0.05 | 524.02±13.22 | 6 869.36±110.86 | 633.86±40.61 | 0.08 |
| F3 | 7.88±0.12 | 707.38±35.46 | 6 869.36±102.83 | 673.46±53.67 | 0.10 |
| F5 | 7.75±0.07 | 955.84±47.23 | 7 494.99±148.22 | 669.20±83.46 | 0.13 |
| F7 | 7.66±0.09 | 761.07±40.25 | 4 998.74±88.19 | 770.18±38.51 | 0.15 |
| F9 | 7.74±0.04 | 752.99±27.83 | 6 869.36±0.00 | 812.15±71.69 | 0.11 |
| Q0 | 7.94±0.13 | 650.86±31.28 | 4 373.12±123.27 | 653.72±32.69 | 0.15 |
| Q3 | 7.72±0.12 | 1 007.86±75.36 | 5 624.37±182.47 | 737.09±46.85 | 0.18 |
| Q5 | 7.51±0.04 | 889.33±44.47 | 6 243.74±130.42 | 686.17±64.31 | 0.14 |
| Q7 | 7.47±0.07 | 1 035.65±51.78 | 4 998.74±0.00 | 671.58±85.58 | 0.21 |
| Q9 | 7.31±0.03 | 1 073.18±55.08 | 4 998.74±76.45 | 785.06±59.25 | 0.21 |
| L0 | 7.41±0.05 | 1 059.40±51.43 | 9 359.35±260.78 | 604.42±40.72 | 0.11 |
| L3 | 7.52±0.13 | 1 214.99±62.01 | 6 869.36±0.00 | 636.92±51.85 | 0.18 |
| L5 | 7.39±0.07 | 1 062.26±53.11 | 7 494.99±170.83 | 762.60±38.13 | 0.14 |
| L7 | 7.38±0.09 | 1 167.95±59.33 | 6 869.36±0.00 | 714.49±70.22 | 0.17 |
| L9 | 7.64±0.06 | 574.53±30.18 | 6 869.36±123.78 | 706.30±30.31 | 0.08 |
Table 4 pH, VFAs content, alkalinity and ammonia nitrogen content of biogas slurry after anaerobic digestion
处理 Treatment | pH | 挥发性脂肪酸含量 VFAs content/(mg·L-1) | 总碱度 TA/(mg CaCO3·L-1) | 氨氮含量 AN content/(mg·L-1) | 挥发性脂肪酸/总碱度 VFAs/TA |
|---|---|---|---|---|---|
| H0 | 7.81±0.02 | 935.89±46.79 | 5 624.37±139.24 | 626.37±21.32 | 0.17 |
| H3 | 7.98±0.14 | 563.45±28.17 | 4 373.12±0.00 | 734.72±56.74 | 0.13 |
| H5 | 7.67±0.06 | 1 062.26±53.11 | 4 373.12±0.00 | 864.34±73.22 | 0.24 |
| H7 | 7.94±0.08 | 656.56±32.83 | 9 359.35±231.79 | 658.32±42.92 | 0.07 |
| H9 | 7.87±0.05 | 982.45±49.12 | 5 624.37±137.48 | 652.84±32.64 | 0.17 |
| F0 | 7.94±0.05 | 524.02±13.22 | 6 869.36±110.86 | 633.86±40.61 | 0.08 |
| F3 | 7.88±0.12 | 707.38±35.46 | 6 869.36±102.83 | 673.46±53.67 | 0.10 |
| F5 | 7.75±0.07 | 955.84±47.23 | 7 494.99±148.22 | 669.20±83.46 | 0.13 |
| F7 | 7.66±0.09 | 761.07±40.25 | 4 998.74±88.19 | 770.18±38.51 | 0.15 |
| F9 | 7.74±0.04 | 752.99±27.83 | 6 869.36±0.00 | 812.15±71.69 | 0.11 |
| Q0 | 7.94±0.13 | 650.86±31.28 | 4 373.12±123.27 | 653.72±32.69 | 0.15 |
| Q3 | 7.72±0.12 | 1 007.86±75.36 | 5 624.37±182.47 | 737.09±46.85 | 0.18 |
| Q5 | 7.51±0.04 | 889.33±44.47 | 6 243.74±130.42 | 686.17±64.31 | 0.14 |
| Q7 | 7.47±0.07 | 1 035.65±51.78 | 4 998.74±0.00 | 671.58±85.58 | 0.21 |
| Q9 | 7.31±0.03 | 1 073.18±55.08 | 4 998.74±76.45 | 785.06±59.25 | 0.21 |
| L0 | 7.41±0.05 | 1 059.40±51.43 | 9 359.35±260.78 | 604.42±40.72 | 0.11 |
| L3 | 7.52±0.13 | 1 214.99±62.01 | 6 869.36±0.00 | 636.92±51.85 | 0.18 |
| L5 | 7.39±0.07 | 1 062.26±53.11 | 7 494.99±170.83 | 762.60±38.13 | 0.14 |
| L7 | 7.38±0.09 | 1 167.95±59.33 | 6 869.36±0.00 | 714.49±70.22 | 0.17 |
| L9 | 7.64±0.06 | 574.53±30.18 | 6 869.36±123.78 | 706.30±30.31 | 0.08 |
| 1 | MA S S, WANG H L, LI L R, et al.. Enhanced biomethane production from corn straw by a novel anaerobic digestion strategy with mechano chemical pretreatment [J/OL]. Renew. Sust. Energ. Rev., 2021, 146:111099 [2021-11-15]. . |
| 2 | KANG X H, ZHANG Y, LIN R C, et al.. Optimization of liquid hot waterpretreatment on Hybrid Pennisetum anaerobic digestion and its effect on energy efficiency [J/OL]. Energy Convers. Manag., 2020, 1: 112718 [2021-11-15]. . |
| 3 | YUAN H R, SONG X C, GUANR L, et al.. Effect of low severity hydrothermal pretreatment on anaerobic digestion performance of corn stover [J/OL]. Bioresour. Technol., 2019, 294:122238 [2021-11-15]. . |
| 4 | 中国统计局.中国统计年鉴2016[M/OL].北京.中国统计出版社,2017.. |
| 5 | 蔡凡凡.设施蔬菜废弃物厌氧消化产甲烷性能的研究[D].北京:北京化工大学,2019. |
| CAI F F. Study on the methane production performance of facilities vegetable wastes during anaerobic digestion [D]. Beijing: Beijing University of Chemical Technology, 2019. | |
| 6 | BOUALLAGUI H, TOUHAMI Y, CHEIKH R B, et al.. Bioreactor performance in anaerobic digestion of fruit and vegetable wastes [J]. Process Biochem., 2005, 40(3/4):989-995. |
| 7 | 曹燕篆,张海波,苏婉,等.MC1预处理对豆秸水解特性及产甲烷效率的影响[J].农业环境科学学报,2020,39(9):2074-2080. |
| CAO Y Z, ZHANG H B, SU W, et al.. Effects of MC1 pretreatment on hydrolysis characteristics and methane production efficiency of soybean straw [J]. J. Agro-Environ. Sci., 2020, 39(9):2074-2080. | |
| 8 | CHEN J X, WANG X, ZHANG B Y, et al.. Integrating enzymatic hydrolysis into subcritical water pretreatment optimization for bioethanol production from wheat straw [J/OL]. Sci. Total Environ., 2021:145321 [2021-11-15] . |
| 9 | 王忠江,邹舰洋,曹振,等.尿素预处理玉米秸秆降解木质素动力学研究[J].农业机械学报,2020,51(11):321-328. |
| WANG Z J, ZOU J Y, CAO Z, et al.. Delignification kinetics of corn stover with urea pretreatment [J]. Trans. Chin. Soc. Agric. Mach., 2020, 51(11):321-328. | |
| 10 | WANG J, FENG K, LOUY, et al.. The synergistic effect of potassium ferrate and peroxymonosulfate application on biogas production and shaping microbial community during anaerobic co-digestion of a cow manure-cotton straw mixture [J/OL]. Bioresour. Technol., 2021,333:125166 [2021-11-15]. . |
| 11 | ADGHIM M, SARTAJ M, ABDEHAGH N. Enhancing mono- and co-digestion of poultry manure by a novel post-hydrolysis ammonia stripping approach in a two-stage anaerobic digestion process [J]. Waste Biomass Valorization, 2021, 12(11): 6045-6056. |
| 12 | 王英琪,杨宏志,孟海波,等.沼液预处理玉米秸秆产沼气工艺参数优化[J].农业工程学报,2018,34(23):239-245. |
| WANG Y Q, YANG H Z, MENG H B, et al.. Parameter optimization of corn staw anaerobic digestibility pretreated by biogas slurry [J]. Trans. Chin. Soc. Agric. Eng., 2018, 34(23):239-245. | |
| 13 | 李建,刘庆玉,郎咸明,等.响应面法优化沼液预处理玉米秸秆条件的研究[J].可再生能源,2016,34(2):292-297. |
| LI J, LIU Q Y, LANG X M, et al.. Process parameters optimization of maize straw pretreated bybiogas slurry using response surface methodology [J]. Renew Energy Resour., 2016, 34(2):292-297. | |
| 14 | 兰艳艳,朱嘉琳,刘春梅,等.猪粪沼液预处理麦秸厌氧消化性能分析[J].可再生能源,2017,35(8):1135-1142. |
| LAN Y Y, ZHU J L, LIU C M, et al.. Evaluation of anaerobic digestion performance of wheat straw using pig manure liquid fraction of digestate pretreatment [J]. Renew Energy Resour., 2017, 35(8):1135-1142. | |
| 15 | 李平,龙翰威,高立洪,等.不同预处理方式下水稻秸秆厌氧消化性能比较[J].农业工程学报,2015,31(12):200-205. |
| LI P, LONG H W, GAO L H, et al.. Comparison of anaerobic digestion capability of rice straw with different pretreatment methods [J]. Trans. Chin. Soc. Agric. Eng., 2015, 31(12):200-205. | |
| 16 | WEI Y, LI X, YU L, et al.. Mesophilic anaerobic co-digestion of cattle manure and corn stover with biological and chemical pretreatment [J]. Bioresour. Technol., 2015, 198:431-436. |
| 17 | HU Y, PANG Y, YUAN H, et al.. Promoting anaerobic biogasification of corn stover through biological pretreatment by liquid fraction of digestate (LFD) [J]. Bioresour. Technol., 2015, 175:167-173. |
| 18 | 杨斌,殷引,张浩博,等.洗涤剂法测定烟草及烟草制品中中性洗涤纤维、酸性洗涤纤维、酸性洗涤木质素的研究[J].中国烟草学报,2012,18(3):10-15. |
| YANG B, YIN Y, ZHANG H B, et al.. Determination of NDF,ADF and ADL in tobacco and tobacco products with detergent method [J]. Acta Tabacaria Sin., 2012, 18(3):10-15. | |
| 19 | 詹晓燕,刘臣辉,范海燕,等.水体中氨氮测定方法的比较——纳氏试剂光度法、靛酚蓝比色法[J].环境科学与管理,2010,35(11):131-134. |
| ZHAN X Y, LIU C H, FAN H Y, et al.. Comparison between two N-ammoniacal measurements in water—napierian reagent colorimetric method and indophenol-blue colorimetric method [J]. Environ. Sci. Manage., 2010, 35(11):131-134. | |
| 20 | 谢海婷.氯离子对厌氧处理废水中蒸馏法测定VFA的影响[D].郑州:郑州大学,2017. |
| XIE H T. Influences of chlorides on VFA distillation determination in anaerobic reaction [D]. Zhengzhou: Zhengzhou University, 2017. | |
| 21 | ZHONG B, AN X, SHEN F, et al.. Anaerobic co-digestion of rice straw and pig manure pretreated with a cellulolytic microflora: methane yield evaluation and kinetics analysis [J/OL]. Front. Bioeng. Biotechnol., 2021, 8:579405 [2021-11-15]. . |
| 22 | 黄弘毅,薛寒光,李超,等.汽爆预处理对废弃烤后烟叶产甲烷潜力的影响[J].农业环境科学学报,2020,39(8):1854-1861. |
| HUANG H Y, XUE H G, LI C, et al.. Assessment of biomethane production from cured tobacco leaves using steam explosion pretreatment [J]. J. Agro-Environ. Sci., 2020, 39(8):1854-1861. | |
| 23 | KAFLE G K, SANG H K, et al.. Anaerobic treatment of apple waste with swine manure for biogas production: batch and continuous operation [J]. Appl. Energy., 2013, 103(3):61-72. |
| 24 | LEE D H, BEEHERA S K, KIM J W, et al.. Methane production potential of leachate generated from Korean food waste recycling facilities: a lab-scale study [J]. Waste Manage., 2009, 29(2):876-882. |
| 25 | YUAN Y Y, HU X Y, CHEN H B, et al.. Advances in enhanced volatile fatty acid production from anaerobic fermentation of waste activated sludge [J/OL]. Sci. Total Environ., 2019, 694: 133741 [2021-11-15]. . |
| 26 | RYUE J, LIN L, KAKAR F L, et al.. A critical review of conventional and emerging methods for improving process stability in thermophilic anaerobic digestion [J]. Energy Sustain. Dev., 2020, 54: 72-84. |
| 27 | YENIGÜN O, DEMIREL B. Ammonia inhibition in anaerobic digestion: a review [J]. Process Biochem., 2013, 48(5/6):901-911. |
| 28 | 郑子乔,刘双,武月,等.鸡粪沼液预处理对玉米秸秆厌氧消化性能的影响[J].黑龙江畜牧兽医,2020(3):66-70. |
| 29 | BI S J, QIAO W, XIONG L P, et al.. Improved high solid anaerobic digestion of chicken manure by moderate in situ ammonia stripping and its relation to metabolic pathway [J]. Renew. Energy, 2020, 146(2):2380-2389. |
| 30 | ZHANG H, KHALID H, LI W, et al.. Employing response surface methodology (RSM) to improve methane production from cotton stalk [J]. Environ. Sci. Pollut. Res. Int., 2018, 25(8):7618-7624. |
| 31 | 黄开明,赵立欣,冯晶,等.复合微生物预处理玉米秸秆提高其厌氧消化产甲烷性能[J].农业工程学报,2018,34(16):184-189. |
| HUANG K M, ZHAO L X, FENG J, et al.. Pretreatment of corn stalk by composite microbial strain improving its methane production performance by anaerobic digestion [J]. Trans. Chin. Soc. Agric. Eng., 2018, 34(16):184-189. | |
| 32 | 赵昆炀,高雄辉,祝其丽,等.厌氧消化处理玉米秸秆酶解残渣对木质素的影响研究[J].农业环境科学学报,2020,39(11):2661-2667. |
| ZHAO K Y, GAO X H, ZHU Q L, et al.. Effect of anaerobic digestion on lignin derived from unhydrolyzed solid of corn stover [J]. J. Agro-Environ. Sci., 2020, 39(11):2661-2667. | |
| 33 | LI J, LIU Q Y, LANG X M, et al.. Process parameters optimization of maize straw pretreated by biogas slurry using response surface methodology [J]. Renew. Energy Resour., 2016, 34(2):292-297. |
| 34 | YUAN X, CAO Y, LI J, et al.. Effect of pretreatment by a microbial consortium on methane production of waste paper and cardboard [J]. Bioresour. Technol., 2012, 118:281-288. |
| 35 | 李秋敏,张无敌,尹芳,等.沼液预处理对废弃花卉秸秆厌氧消化产沼气特性的影响[J].中国沼气,2020,38(3):52-56. |
| LI Q M, ZHANG W D, YIN F, et al.. Effect of biogas slurry pretreatment on biogas production characteristics in anaerobic digestion of waste flower straw [J]. China Biogas, 2020, 38(3):52-56. | |
| 36 | 楚莉莉,李轶冰,冯永忠,等.沼液预处理对小麦秸秆厌氧发酵产气特性的影响[J].干旱地区农业研究,2011,29(1):247-251. |
| CHU L L, LI Y B, FENG Y Z, et al.. Effect of biogas slurry pretreatment on biogas production characteristics of anaerobic fermentation of wheat straw [J]. Agric. Res. Arid Areas, 2011, 29(1):247-251. | |
| 37 | 尹燕,王兴田,杨道兰,等.沼液预处理对花椰菜废弃物厌氧消化的影响[J].中国农机化学报,2017,38(2):114-119. |
| YIN Y, WANG X T, YANG D L, et al.. Effect of biogas slurry pretreatment on anaerobic fermentation of broccoli wastes [J]. J. Chin. Agric. Mech., 2017, 38(2):114-119. | |
| 38 | 魏域芳,李秀金,袁海荣.沼液预处理玉米秸秆与牛粪混合厌氧消化产气性能的研究[J].中国沼气,2018,36(1):39-46. |
| WEI Y F, LI X J, YUAN H R. Anaerobic co-digestion of cattle manure and corn stalk pretreated by digestate slurry [J]. China Biogas, 2018, 36(1):39-46. |
| [1] | Jingwen QIANG, Wanqing WANG, Manyu TANG, Na ZHANG, Shuang WU, Wei HUA, Hengxuan SHAO, Yanling CHENG. Effects of Anaerobic Digestion of Kitchen Waste on Biogas Microorganisms and Environment [J]. Journal of Agricultural Science and Technology, 2024, 26(6): 159-169. |
| [2] | Yu ZHANG, Hongbo ZHANG, Yuyu ZHANG, Lijuan CHEN, Mingfang ZHAO, Yun XIA. Study on Anaerobic Digestion of Rose Straw Inoculated with Livestock Manure and Its Microbial Community [J]. Journal of Agricultural Science and Technology, 2024, 26(5): 201-211. |
| [3] | Ying WANG, Jun LI, Litong MA, Xiaobing CAO. Effect of Fulvic Acid on Peat Biomethanation [J]. Journal of Agricultural Science and Technology, 2023, 25(1): 128-133. |
| [4] | Li LIU, Zhongping DU, Yi LI, Laisheng CHEN, Rui HAN. Effect of NaOH Pretreatment on Anaerobic Fermentation Characteristics of Hulless Barley Straw [J]. Journal of Agricultural Science and Technology, 2022, 24(8): 192-200. |
| [5] | XIAO Shengling1, JING Yong1,2, FENG Jing2, SHEN Ruixia2*, ZHAO Lixin2, WANG Quanliang1, ZHANG Ying2. Effect of Wood Biochar on the Methane Production Performance of Anaerobic Fermentation [J]. Journal of Agricultural Science and Technology, 2021, 23(1): 128-135. |
| [6] | SUN Yingcai, DONG Taili*. Land Methane Production Analysis of Energy Maize Under Different Cropping Patterns [J]. Journal of Agricultural Science and Technology, 2018, 20(7): 91-97. |
| [7] | WANG Yang. Bibliometrics Evaluation on Anaerobic Digestion Technology of Straw [J]. Journal of Agricultural Science and Technology, 2017, 19(4): 1-9. |
| [8] | YIN Fu-bin1, JI Chao2, DONG Hong-min1*, TAO Xiu-ping1, CHEN Yong-xing1. Research Progress on Effect of Antibiotic on Anaerobic Digestion Treatment in Animal Manure [J]. Journal of Agricultural Science and Technology, 2016, 18(5): 171-177. |
| [9] | LIU Xiao-ning, HU Zheng-yi, ZHU Chun-you, WANG Jin-zhi, SHI Yi-chao, HUANG Li-ju. Studies on Technology for Controlling Pollutants from Decentralized Duck Breeding at Islet of Baiyangdian [J]. , 1, 1(1): 132-137. |
| Viewed | ||||||
|
Full text |
|
|||||
|
Abstract |
|
|||||
京公网安备11010802021197号