Journal of Agricultural Science and Technology ›› 2022, Vol. 24 ›› Issue (7): 167-176.DOI: 10.13304/j.nykjdb.2021.0998
• BIO-MANUFACTURING & RESOURCE AND ECOLOGY • Previous Articles Next Articles
Xuejing LIU(), Xiaoyuan BAO, Xiaoyang HOU, Wenchao ZHEN(
)
Received:
2021-10-20
Accepted:
2021-11-24
Online:
2022-07-15
Published:
2022-08-15
Contact:
Wenchao ZHEN
通讯作者:
甄文超
作者简介:
刘雪静 E-mail: liuxuejing830527@163.com;
基金资助:
CLC Number:
Xuejing LIU, Xiaoyuan BAO, Xiaoyang HOU, Wenchao ZHEN. Dynamics of Soil Water Content and Yield Formation Characteristics of Winter Wheat Under Water Limited Irrigation in Spring in Haihe Plain[J]. Journal of Agricultural Science and Technology, 2022, 24(7): 167-176.
刘雪静, 鲍晓远, 候晓阳, 甄文超. 海河平原春季限水灌溉下冬小麦农田水分动态及产量形成特征[J]. 中国农业科技导报, 2022, 24(7): 167-176.
Add to citation manager EndNote|Ris|BibTeX
URL: https://nkdb.magtechjournal.com/EN/10.13304/j.nykjdb.2021.0998
土层 Soil layer/cm | 土壤容重 Soil bulk density/(g·cm‒3) | 田间持水量 Field capacity/% | ||
---|---|---|---|---|
辛集Xinji | 深州Shenzhou | 辛集Xinji | 深州Shenzhou | |
0—20 | 1.44 | 1.50 | 35.2 | 35.5 |
20—40 | 1.39 | 1.34 | 35.1 | 34.8 |
40—60 | 1.44 | 1.37 | 37.6 | 38.6 |
60—80 | 1.42 | 1.40 | 37.5 | 41.8 |
80—100 | 1.44 | 1.39 | 38.0 | 39.5 |
100—120 | 1.31 | 1.60 | 37.9 | 41.5 |
120—140 | 1.39 | 1.42 | 38.9 | 42.3 |
140—160 | 1.39 | 1.34 | 38.9 | 37.2 |
160—180 | 1.38 | 1.47 | 39.2 | 40.7 |
180—200 | 1.38 | 1.38 | 39.4 | 41.6 |
Table 1 Soil bulk density and field capacity
土层 Soil layer/cm | 土壤容重 Soil bulk density/(g·cm‒3) | 田间持水量 Field capacity/% | ||
---|---|---|---|---|
辛集Xinji | 深州Shenzhou | 辛集Xinji | 深州Shenzhou | |
0—20 | 1.44 | 1.50 | 35.2 | 35.5 |
20—40 | 1.39 | 1.34 | 35.1 | 34.8 |
40—60 | 1.44 | 1.37 | 37.6 | 38.6 |
60—80 | 1.42 | 1.40 | 37.5 | 41.8 |
80—100 | 1.44 | 1.39 | 38.0 | 39.5 |
100—120 | 1.31 | 1.60 | 37.9 | 41.5 |
120—140 | 1.39 | 1.42 | 38.9 | 42.3 |
140—160 | 1.39 | 1.34 | 38.9 | 37.2 |
160—180 | 1.38 | 1.47 | 39.2 | 40.7 |
180—200 | 1.38 | 1.38 | 39.4 | 41.6 |
Fig. 1 Precipitation and daily average temperature in wheat growing season from 2018 to 2020Data source: National Meteorological Information Centre (http://data. cma.cn/).
处理 Treatment | 播期类型 Sowing date type | 灌水时期 Irrigation period | 灌水次数 Irrigation times | 处理 Treatment | 播期类型 Sowing date type | 灌水时期 Irrigation period | 灌水次数 Irrigation times |
---|---|---|---|---|---|---|---|
CKⅡ | 适期播种 Suitable sowing date | 春3叶龄+开花 Spring 3-leaf age and anthesis stage | 2 | WCKⅡ | 晚播 Late sowing | 春3叶龄+开花 Spring 3-leaf age and anthesis stage | 2 |
CK0 | 适期播种 Suitable sowing date | 春季0水 No irrigation at spring | 0 | WCK0 | 晚播 Late sowing | 春季0水 No irrigation at spring | 0 |
L3 | 适期播种 Suitable sowing date | 春3叶龄 Spring 3-leaf age | 1 | WL3 | 晚播 Late sowing | 春3叶龄 Spring 3-leaf age | 1 |
L4 | 适期播种 Suitable sowing date | 春4叶龄 Spring 4-leaf age | 1 | WL4 | 晚播 Late sowing | 春4叶龄 Spring 4-leaf age | 1 |
L5 | 适期播种 Suitable sowing date | 春5叶龄 Spring 5-leaf age | 1 | WL5 | 晚播 Late sowing | 春5叶龄 Spring 5-leaf age | 1 |
L6 | 适期播种 Suitable sowing date | 春6叶龄 Spring 6-leaf age | 1 | WL6 | 晚播 Late sowing | 春6叶龄 Spring 6-leaf age | 1 |
Table 2 Experimental treatment
处理 Treatment | 播期类型 Sowing date type | 灌水时期 Irrigation period | 灌水次数 Irrigation times | 处理 Treatment | 播期类型 Sowing date type | 灌水时期 Irrigation period | 灌水次数 Irrigation times |
---|---|---|---|---|---|---|---|
CKⅡ | 适期播种 Suitable sowing date | 春3叶龄+开花 Spring 3-leaf age and anthesis stage | 2 | WCKⅡ | 晚播 Late sowing | 春3叶龄+开花 Spring 3-leaf age and anthesis stage | 2 |
CK0 | 适期播种 Suitable sowing date | 春季0水 No irrigation at spring | 0 | WCK0 | 晚播 Late sowing | 春季0水 No irrigation at spring | 0 |
L3 | 适期播种 Suitable sowing date | 春3叶龄 Spring 3-leaf age | 1 | WL3 | 晚播 Late sowing | 春3叶龄 Spring 3-leaf age | 1 |
L4 | 适期播种 Suitable sowing date | 春4叶龄 Spring 4-leaf age | 1 | WL4 | 晚播 Late sowing | 春4叶龄 Spring 4-leaf age | 1 |
L5 | 适期播种 Suitable sowing date | 春5叶龄 Spring 5-leaf age | 1 | WL5 | 晚播 Late sowing | 春5叶龄 Spring 5-leaf age | 1 |
L6 | 适期播种 Suitable sowing date | 春6叶龄 Spring 6-leaf age | 1 | WL6 | 晚播 Late sowing | 春6叶龄 Spring 6-leaf age | 1 |
Fig.2 Dynamics of soil water content in wheat field after irrigation at different leaf ages.A: Shenzhou 2018—2019; B: Shenzhou 2019—2020; B: Xinji 2019—2020;
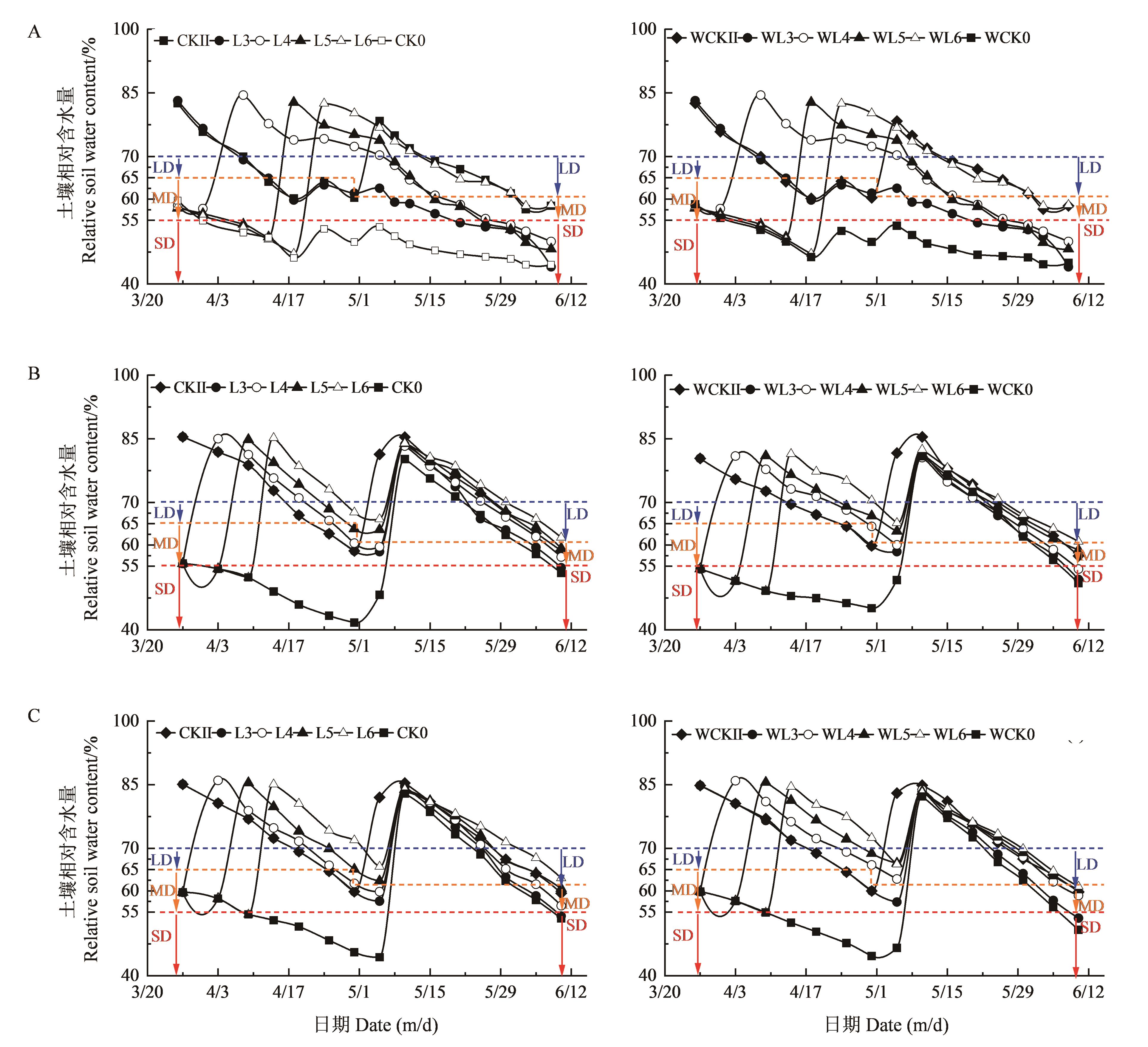
Fig. 3 Soil drought degree of winter wheat under irrigation at different leaf agesA: Shenzhou 2018—2019; B: Shenzhou 2019—2020; B: Xinji 2019—2020. LD—Mild drought; MD—Severe drought; SD——Severe drought. Soil water content from late rising to flowering is the average value of 0—60 cm; soil water content from flowering to maturity is the average value of 0—80 cm.
品种 Variety | 处理 Treatment | 产量 Yield/(kg·hm‒2) | 水分利用效率 WUE/(kg·hm‒2·mm‒1) | 处理 Treatment | 产量 Yield/(kg·hm‒2) | 水分利用效率 WUE/(kg·hm‒2·mm‒1) | ||||||||
---|---|---|---|---|---|---|---|---|---|---|---|---|---|---|
深州Shenzhou 2019 | 深州Shenzhou 2020 | 辛集Xinji 2020 | 深州Shenzhou 2019 | 深州Shenzhou 2020 | 辛集Xinji 2020 | 深州Shenzhou 2019 | 深州Shenzhou 2020 | 辛集Xinji 2020 | 深州Shenzhou 2019 | 深州Shenzhou 2020 | 辛集Xinji 2020 | |||
衡观35 Hengguan 35 | CKⅡ | 8 790.6 a | 8 808.5 a | 8 577.8 a | 20.3 a | 20.1 a | 17.8 a | WCKⅡ | 8 764.9 a | 8 268.1 a | 8 401.5 a | 20.5 a | 19.0 a | 17.8 a |
L3 | 7 207.9 c | 7 294.2 c | 7 201.3 c | 17.7 b | 17.9 b | 15.9 b | WL3 | 7 094.9 c | 7 088.6 c | 7 284.1 b | 17.8 b | 17.1 b | 16.3 b | |
L4 | 8 050.8 b | 7 900.2 b | 7 877.5 b | 20.1 a | 19.6 a | 18.0 a | WL4 | 7 946.9 b | 7 804.1 b | 7 759.4 b | 20.5 a | 19.2 a | 17.9 a | |
L5 | 6 302.9 d | 6 109.9 d | 6 317.7 d | 16.4 c | 15.6 c | 14.6 c | WL5 | 6 455.8 d | 6 199.8 d | 6 034.5 c | 16.3 b | 16.3 b | 14.2 c | |
L6 | 5 323.3 e | 5 463.9 e | 5 438.8 e | 13.9 d | 14.2 d | 12.5 d | WL6 | 5 528.1 e | 5 052.7 e | 5 074.1 d | 14.2 c | 13.6 c | 12.1 d | |
冀麦418 Jimai 418 | CKⅡ | 8 886.7 a | 8 783.7 a | 8 558.0 a | 20.5 a | 20.0 a | 17.7 a | WCKⅡ | 8 301.2 a | 8 362.3 a | 8 634.1 a | 19.4 a | 19.2 a | 18.3 a |
L3 | 6 864.5 c | 6 847.6 c | 6 525.9 c | 16.8 c | 16.8 b | 14.4 b | WL3 | 6 720.1 c | 6 916.0 c | 6 929.5 c | 16.9 b | 16.7 b | 15.5 b | |
L4 | 7 543.4 b | 7 836.6 b | 7 684.4 b | 18.9 b | 19.5 a | 17.5 a | WL4 | 7 582.6 b | 7 552.0 b | 7 785.9 b | 19.5 a | 18.6 a | 18.0 a | |
L5 | 5 917.1 d | 6 210.6 d | 6 155.4 c | 15.4 c | 15.9 b | 14.2 b | WL5 | 5 669.1 d | 6 053.5 d | 5 914.1 d | 14.3 c | 15.9 c | 14.0 c | |
L6 | 5 077.1 e | 5 084.0 e | 4 898.5 d | 13.2 d | 13.2 c | 11.3 c | WL6 | 4 859.3 e | 4 990.0 e | 5 086.8 e | 12.4 d | 13.4 d | 12.1 d | |
石麦22 Shimai 22 | CKⅡ | 8 377.4 a | 8 476.2 a | 8 548.5 a | 19.3 a | 19.3 a | 17.7 a | WCKⅡ | 8 233.5 a | 8 231.6a | 8 444.9 a | 19.3 a | 18.9 a | 17.9 a |
L3 | 6 793.2 c | 6 901.5 c | 6 923.9 c | 16.6 b | 16.9 b | 15.3 b | WL3 | 6 715.2 c | 6 791.6 c | 6 670.2 c | 16.9 b | 16.4 b | 14.9 b | |
L4 | 7 463.1 b | 7 502.9 b | 7 450.1 b | 18.7 a | 18.6 a | 17.0 a | WL4 | 7 734.9 b | 7 326.7 b | 7 548.9 b | 19.9 a | 18.1 a | 17.4 a | |
L5 | 6 070.0 d | 6 240.9 d | 5 646.4 d | 15.8 b | 15.9 c | 13.0 c | WL5 | 6 064.5 d | 6 116.9 d | 5 679.1 d | 15.3 c | 16.1 b | 13.4 c | |
L6 | 5 568.2 e | 5 513.7 e | 5 297.3 d | 14.5 c | 14.3 d | 12.2 c | WL6 | 5 573.1 e | 5 497.2 e | 5 283.7 d | 14.3 d | 14.8 c | 12.6 d | |
石农086 Shinong 086 | CKⅡ | 8 497.1 a | 8 455.2 a | 8 404.1 a | 19.6 a | 19.3 a | 17.4 a | WCKⅡ | 8 561.6 a | 8 107.5 a | 8 109.0 a | 20.0 a | 18.6 a | 17.2 a |
L3 | 6 962.1 b | 6 881.6 b | 6 991.7 b | 17.0 b | 16.9 b | 15.4 b | WL3 | 6 838.3 b | 6 763.9 b | 6 929.2 b | 17.2 b | 16.3 b | 15.5 b | |
L4 | 6 300.7 c | 6 143.8 c | 6 263.8 c | 15.7 bc | 15.2 c | 14.3 c | WL4 | 5 906.4 c | 5 896.8 c | 6 324.1 c | 15.2 c | 14.5 d | 14.6 c | |
L5 | 5 537.2 d | 5 697.6 d | 5 402.0 d | 14.4 c | 14.5 cd | 12.5 d | WL5 | 5 681.1 c | 5 744.9 c | 5 590.7 d | 14.3 c | 15.1 c | 13.2 d | |
L6 | 4 926.5 e | 5 221.7 e | 4 642.3 e | 12.8 d | 13.6 d | 10.7 e | WL6 | 4 643.1 d | 5 150.1 d | 4 792.1 e | 11.9 d | 13.8 e | 11.4 e | |
冀麦585 Jimai 585 | CKⅡ | 8 365.9 a | 8 473.8 a | 8 610.4 a | 19.3 a | 19.3 a | 17.8 a | WCKⅡ | 8 453.6 a | 8 223.2 a | 8 202.9 a | 19.8 a | 18.9 a | 17.4 a |
L3 | 6 229.7 c | 6 817.4 b | 6 426.4 c | 11.9 d | 16.7 bc | 14.2 b | WL3 | 6 624.1 c | 6 764.3 c | 6 885.8 c | 16.6 b | 16.3 c | 15.4 b | |
L4 | 7 622.7 b | 7 196.3 b | 7 691.6 b | 19.1 a | 17.9 b | 17.5 a | WL4 | 7 193.9 b | 7 121.4 b | 7 347.9 b | 18.5 a | 17.6 b | 17.0 a | |
L5 | 5 391.7 d | 6 184.3 c | 6 149.0 c | 16.2 b | 15.8 c | 14.2 b | WL5 | 6 525.6 c | 5 941.6 d | 5 901.9 d | 16.5 b | 15.6 c | 13.9 c | |
L6 | 4 850.8 d | 5 509.8 d | 5 518.1 d | 14.1 c | 14.3 d | 12.7 c | WL6 | 5 363.9 d | 5 143.1 e | 5 057.8 e | 13.7 c | 13.8 d | 12.0 d | |
石新828 Shinxin 828 | CKⅡ | 8 328.8 a | 8 461.3 a | 8 203.0 a | 19.2 a | 19.3 a | 17.0 a | WCKⅡ | 8 165.1 a | 8 097.2 a | 8 119.5 a | 19.1 a | 18.6 a | 17.2 a |
L3 | 6 819.2 b | 6 918.2 c | 6 762.9 c | 16.7 c | 16.9 b | 14.9 b | WL3 | 6 713.1 b | 6 728.4 b | 6 746.3 c | 16.9 b | 16.2 b | 15.1 b | |
L4 | 7 186.4 b | 7 386.4 b | 7 460.8 b | 18.0 b | 18.3 ab | 17.0 a | WL4 | 7 171.6 b | 7 157.5 b | 7 355.1 b | 18.5 a | 17.6 ab | 17.0 a | |
L5 | 5 516.6 c | 5 696.7 d | 5 623.8 d | 14.4 d | 14.5 c | 13.0 c | WL5 | 5 467.3 c | 5 501.1 c | 5 397.2 d | 13.8 c | 14.5 c | 12.7 c | |
L6 | 5 178.5 c | 5 045.0 e | 4 919.6 e | 13.5 d | 13.1 c | 11.3 d | WL6 | 5 006.1 c | 4 834.0 d | 5 096.4 d | 12.8 c | 13.0 d | 12.1 c |
Table 3 Yield, water use efficiency of winter wheat under different treatment
品种 Variety | 处理 Treatment | 产量 Yield/(kg·hm‒2) | 水分利用效率 WUE/(kg·hm‒2·mm‒1) | 处理 Treatment | 产量 Yield/(kg·hm‒2) | 水分利用效率 WUE/(kg·hm‒2·mm‒1) | ||||||||
---|---|---|---|---|---|---|---|---|---|---|---|---|---|---|
深州Shenzhou 2019 | 深州Shenzhou 2020 | 辛集Xinji 2020 | 深州Shenzhou 2019 | 深州Shenzhou 2020 | 辛集Xinji 2020 | 深州Shenzhou 2019 | 深州Shenzhou 2020 | 辛集Xinji 2020 | 深州Shenzhou 2019 | 深州Shenzhou 2020 | 辛集Xinji 2020 | |||
衡观35 Hengguan 35 | CKⅡ | 8 790.6 a | 8 808.5 a | 8 577.8 a | 20.3 a | 20.1 a | 17.8 a | WCKⅡ | 8 764.9 a | 8 268.1 a | 8 401.5 a | 20.5 a | 19.0 a | 17.8 a |
L3 | 7 207.9 c | 7 294.2 c | 7 201.3 c | 17.7 b | 17.9 b | 15.9 b | WL3 | 7 094.9 c | 7 088.6 c | 7 284.1 b | 17.8 b | 17.1 b | 16.3 b | |
L4 | 8 050.8 b | 7 900.2 b | 7 877.5 b | 20.1 a | 19.6 a | 18.0 a | WL4 | 7 946.9 b | 7 804.1 b | 7 759.4 b | 20.5 a | 19.2 a | 17.9 a | |
L5 | 6 302.9 d | 6 109.9 d | 6 317.7 d | 16.4 c | 15.6 c | 14.6 c | WL5 | 6 455.8 d | 6 199.8 d | 6 034.5 c | 16.3 b | 16.3 b | 14.2 c | |
L6 | 5 323.3 e | 5 463.9 e | 5 438.8 e | 13.9 d | 14.2 d | 12.5 d | WL6 | 5 528.1 e | 5 052.7 e | 5 074.1 d | 14.2 c | 13.6 c | 12.1 d | |
冀麦418 Jimai 418 | CKⅡ | 8 886.7 a | 8 783.7 a | 8 558.0 a | 20.5 a | 20.0 a | 17.7 a | WCKⅡ | 8 301.2 a | 8 362.3 a | 8 634.1 a | 19.4 a | 19.2 a | 18.3 a |
L3 | 6 864.5 c | 6 847.6 c | 6 525.9 c | 16.8 c | 16.8 b | 14.4 b | WL3 | 6 720.1 c | 6 916.0 c | 6 929.5 c | 16.9 b | 16.7 b | 15.5 b | |
L4 | 7 543.4 b | 7 836.6 b | 7 684.4 b | 18.9 b | 19.5 a | 17.5 a | WL4 | 7 582.6 b | 7 552.0 b | 7 785.9 b | 19.5 a | 18.6 a | 18.0 a | |
L5 | 5 917.1 d | 6 210.6 d | 6 155.4 c | 15.4 c | 15.9 b | 14.2 b | WL5 | 5 669.1 d | 6 053.5 d | 5 914.1 d | 14.3 c | 15.9 c | 14.0 c | |
L6 | 5 077.1 e | 5 084.0 e | 4 898.5 d | 13.2 d | 13.2 c | 11.3 c | WL6 | 4 859.3 e | 4 990.0 e | 5 086.8 e | 12.4 d | 13.4 d | 12.1 d | |
石麦22 Shimai 22 | CKⅡ | 8 377.4 a | 8 476.2 a | 8 548.5 a | 19.3 a | 19.3 a | 17.7 a | WCKⅡ | 8 233.5 a | 8 231.6a | 8 444.9 a | 19.3 a | 18.9 a | 17.9 a |
L3 | 6 793.2 c | 6 901.5 c | 6 923.9 c | 16.6 b | 16.9 b | 15.3 b | WL3 | 6 715.2 c | 6 791.6 c | 6 670.2 c | 16.9 b | 16.4 b | 14.9 b | |
L4 | 7 463.1 b | 7 502.9 b | 7 450.1 b | 18.7 a | 18.6 a | 17.0 a | WL4 | 7 734.9 b | 7 326.7 b | 7 548.9 b | 19.9 a | 18.1 a | 17.4 a | |
L5 | 6 070.0 d | 6 240.9 d | 5 646.4 d | 15.8 b | 15.9 c | 13.0 c | WL5 | 6 064.5 d | 6 116.9 d | 5 679.1 d | 15.3 c | 16.1 b | 13.4 c | |
L6 | 5 568.2 e | 5 513.7 e | 5 297.3 d | 14.5 c | 14.3 d | 12.2 c | WL6 | 5 573.1 e | 5 497.2 e | 5 283.7 d | 14.3 d | 14.8 c | 12.6 d | |
石农086 Shinong 086 | CKⅡ | 8 497.1 a | 8 455.2 a | 8 404.1 a | 19.6 a | 19.3 a | 17.4 a | WCKⅡ | 8 561.6 a | 8 107.5 a | 8 109.0 a | 20.0 a | 18.6 a | 17.2 a |
L3 | 6 962.1 b | 6 881.6 b | 6 991.7 b | 17.0 b | 16.9 b | 15.4 b | WL3 | 6 838.3 b | 6 763.9 b | 6 929.2 b | 17.2 b | 16.3 b | 15.5 b | |
L4 | 6 300.7 c | 6 143.8 c | 6 263.8 c | 15.7 bc | 15.2 c | 14.3 c | WL4 | 5 906.4 c | 5 896.8 c | 6 324.1 c | 15.2 c | 14.5 d | 14.6 c | |
L5 | 5 537.2 d | 5 697.6 d | 5 402.0 d | 14.4 c | 14.5 cd | 12.5 d | WL5 | 5 681.1 c | 5 744.9 c | 5 590.7 d | 14.3 c | 15.1 c | 13.2 d | |
L6 | 4 926.5 e | 5 221.7 e | 4 642.3 e | 12.8 d | 13.6 d | 10.7 e | WL6 | 4 643.1 d | 5 150.1 d | 4 792.1 e | 11.9 d | 13.8 e | 11.4 e | |
冀麦585 Jimai 585 | CKⅡ | 8 365.9 a | 8 473.8 a | 8 610.4 a | 19.3 a | 19.3 a | 17.8 a | WCKⅡ | 8 453.6 a | 8 223.2 a | 8 202.9 a | 19.8 a | 18.9 a | 17.4 a |
L3 | 6 229.7 c | 6 817.4 b | 6 426.4 c | 11.9 d | 16.7 bc | 14.2 b | WL3 | 6 624.1 c | 6 764.3 c | 6 885.8 c | 16.6 b | 16.3 c | 15.4 b | |
L4 | 7 622.7 b | 7 196.3 b | 7 691.6 b | 19.1 a | 17.9 b | 17.5 a | WL4 | 7 193.9 b | 7 121.4 b | 7 347.9 b | 18.5 a | 17.6 b | 17.0 a | |
L5 | 5 391.7 d | 6 184.3 c | 6 149.0 c | 16.2 b | 15.8 c | 14.2 b | WL5 | 6 525.6 c | 5 941.6 d | 5 901.9 d | 16.5 b | 15.6 c | 13.9 c | |
L6 | 4 850.8 d | 5 509.8 d | 5 518.1 d | 14.1 c | 14.3 d | 12.7 c | WL6 | 5 363.9 d | 5 143.1 e | 5 057.8 e | 13.7 c | 13.8 d | 12.0 d | |
石新828 Shinxin 828 | CKⅡ | 8 328.8 a | 8 461.3 a | 8 203.0 a | 19.2 a | 19.3 a | 17.0 a | WCKⅡ | 8 165.1 a | 8 097.2 a | 8 119.5 a | 19.1 a | 18.6 a | 17.2 a |
L3 | 6 819.2 b | 6 918.2 c | 6 762.9 c | 16.7 c | 16.9 b | 14.9 b | WL3 | 6 713.1 b | 6 728.4 b | 6 746.3 c | 16.9 b | 16.2 b | 15.1 b | |
L4 | 7 186.4 b | 7 386.4 b | 7 460.8 b | 18.0 b | 18.3 ab | 17.0 a | WL4 | 7 171.6 b | 7 157.5 b | 7 355.1 b | 18.5 a | 17.6 ab | 17.0 a | |
L5 | 5 516.6 c | 5 696.7 d | 5 623.8 d | 14.4 d | 14.5 c | 13.0 c | WL5 | 5 467.3 c | 5 501.1 c | 5 397.2 d | 13.8 c | 14.5 c | 12.7 c | |
L6 | 5 178.5 c | 5 045.0 e | 4 919.6 e | 13.5 d | 13.1 c | 11.3 d | WL6 | 5 006.1 c | 4 834.0 d | 5 096.4 d | 12.8 c | 13.0 d | 12.1 c |
1 | 黄峰,杜太生,王素芬,等.华北地区农业水资源现状和未来保障研究[J].中国工程科学, 2019, 21(5): 28-37. |
HUANG F, DU T S, WANG S F, et al.. Current situation and future security of agricultural water resources in North China [J]. Strategic Study CAE, 2019, 21(5): 28-37. | |
2 | MENG Q, SUN Q, CHEN X, et al.. Alternative cropping systems for sustainable water and nitrogen use in the North China Plain [J]. Agric. Ecosyst. Environ., 2012, 146(1): 93-102. |
3 | ZHANG A, ZHANG D, LI R, et al.. Evaluation of limited irrigation strategies to improve water use efficiency and wheat yield in the North China Plain [J/OL]. PLoS One, 2018, 13(1): e0189989 [2021-11-24]. . |
4 | 袁再健,许元则,谢栌乐.河北平原农田耗水与地下水动态及粮食生产相互关系分析[J].中国生态农业学报, 2014, 22(8): 904-910. |
YUAN Z J, XU Y Z, XIE L Y. Correlation among farmland water consumption, grain yield and groundwater dynamics in the Hebei Plain [J]. Chin. J. Eco-Agric., 2014, 22(8): 904-910. | |
5 | BROWN M E, FUNK C C. Climate food security under climate change [J]. Science, 2008, 319(5863): 580-581. |
6 | WANG X, LI L, DING Y, et al.. Adaptation of winter wheat varieties and irrigation patterns under future climate change conditions in Northern China [J/OL]. Agric. Water Manage., 2021, 243: e106409 [2021-11-25]. . |
7 | 刘涛,周广胜,谭凯炎,等.华北地区冬小麦灌溉制度及其环境效应研究进展[J].生态学报,2016, 36(19): 59, 79-86. |
LIU T, ZHOU G S, TAN K Y, et al.. Review on research of irrigation regime and its environmental effect in winter wheat field of North China Plain [J]. Acta Ecol. Sin.,2016, 36(19): 59,79-86. | |
8 | 张凯,曾昭海,赵杰,等.华北平原压采地下水对小麦生产的影响分析[J].中国农业科技导报, 2016, 18(5): 111-117. |
ZHANG K, ZENG Z H, ZHAO J, et al.. Impact analysis of reduce the extraction of groundwater on wheat production in North China Plain [J]. J. Agric. Sci. Technol., 2016, 18(5): 111-117. | |
9 | WANG Z, WU P, ZHAO X, et al.. Water use and crop coefficient of the wheat-maize strip intercropping system for an arid region in northwestern China [J]. Agric. Water Manage., 2015, 161: 77-85. |
10 | YU L, ZHAO X, GAO X, et al.. Improving/maintaining water-use efficiency and yield of wheat by deficit irrigation: a global meta-analysis [J/OL]. Agric. Water Manage., 2020, 228: e105906 [2021-11-25]. . |
11 | 康绍忠,杜太生,孙景生,等.基于生命需水信息的作物高效节水调控理论与技术[J].水利学报, 2007 (6):661-667. |
KANG S Z, DU T S, SUN J S, et al.. Theory and technology of crop efficient water saving regulation based on life water demand information [J]. J. Hydraulic Eng., 2007 (6): 661-667. | |
12 | 王书吉,康绍忠,李涛.基于节水高产优质目标的冬小麦适宜水分亏缺模式[J].农业工程学报, 2015, 31(12): 111-118. |
WANG S J, KANG S Z, LI T. Suitable water deficit mode for winter wheat basing objective of water saving as well as high yield and quality [J]. Trans. Chin. Soc. Agric. Eng., 2015, 31(12): 111-118. | |
13 | 周青云,燕琪琦,张宝忠,等.冬小麦不同冠层叶片光合蒸腾和水分利用效率变化特征及对灌溉的响应[J].麦类作物学报, 2021, 41(10): 1247-1255. |
ZHOU Q Y, YAN Q Q, ZHANG B Z, et al.. Variation characteristics of photosynthetic transpiration and water use efficiency of different canopy leaves of winter wheat and their response to irrigation [J]. J. Triticeae Crops, 2021, 41(10):1247-1255. | |
14 | 崔亚坤,王妮妮,田中伟,等.分蘖和拔节期干旱对小麦植株氮素积累转运的影响[J].麦类作物学报, 2019, 39(3): 322-328. |
CUI Y K, WANG N N, TIAN Z W, et al.. Effect of srought in tillering and jointing stages on nitrogen accumulation and translocation in wheat plants [J]. J. Triticeae Crops, 2019, 39(3): 322-328. | |
15 | FAN Y, LIU J, ZHAO J, et al.. Effects of delayed irrigation during the jointing stage on the photosynthetic characteristics and yield of winter wheat under different planting patterns [J]. Agric. Water Manage., 2019, 221: 371-376. |
16 | WU D, FANG S, LI X, et al.. Spatial-temporal variation in irrigation water requirement for the winter wheat-summer maize rotation system since the 1980s on the North China Plain [J]. Agric. Water Manage., 2019, 214: 78-86. |
17 | 江梦圆,薛晓萍,杨再强,等.开花期复水对受旱冬小麦叶片状态和产量结构的补偿效应[J].中国农业气象, 2020, 41(4): 253-262. |
JIANG M Y, XUE X P, YANG Z Q, et al.. Compensation effects of rewatering at flowering stage on leaf state and yield structure of winter wheat under drought [J]. Chin. J. Agrometeorol., 2020, 41(4): 253-262. | |
18 | JOHNSON K M, JORDAN G J, BRODRIBB T J. Wheat leaves embolized by water stress do not recover function upon rewatering [J]. Plant Cell Environ., 2018, 41(11): 2704-2014. |
19 | 曹彩云,党红凯,李科江,等. 冬小麦测墒灌溉技术规程: [S]. 河北省地方标准,2016. |
20 | 何昕楠,林祥,谷淑波,等.微喷补灌对麦田土壤物理性状及冬小麦耗水和产量的影响[J].作物学报, 2019, 45(6): 879-892. |
HE X N, LIN X, GU S B, et al.. Effects of supplemental irrigation with micro-sprinkling hoses on soil physical properties, water consumption and grain yield of winter wheat [J]. Acta Agron. Sin., 2019, 45(6): 879-892. | |
21 | LILLEY J M, KIRKEGAARD J A. Benefits of increased soil exploration by wheat roots [J]. Field Crops Res., 2011, 122(2): 118-130. |
22 | 姚宁,宋利兵,刘健,等.不同生长阶段水分胁迫对旱区冬小麦生长发育和产量的影响[J].中国农业科学, 2015, 48(12): 2379-2389. |
YAO N, SONG L B, LIU J, et al.. Effects of water stress at different growth stages on the development and yields of winter aheat in arid region [J]. Sci. Agric. Sin., 2015, 48(12): 2379-2389. | |
23 | 冉文星,王冀川,王璞.小麦水分高效利用研究进展[J].中国农业科技导报, 2016, 18(1): 103-111. |
RAN W X, WANG J C, WANG P. Research progress on high efficient water utilization of wheat [J]. J. Agric. Sci. Technol., 2016, 18(1): 103-111. | |
24 | 刘帅康,林祥,谷淑波,等.拔节后补灌对不同穗型冬小麦耗水和籽粒产量的影响[J].麦类作物学报, 2020, 40(12): 1501-1513. |
LIU S K, LIN X, GU S B, et al.. Effects of supplemental irrigation after jointing on water consumption and grain yield of winter wheat with different spike types [J]. J. Triticeae Crops, 2020, 40(12): 1501-1513. | |
25 | WANG D. Water use efficiency and optimal supplemental irrigation in a high yield wheat field [J]. Field Crops Res., 2017, 213: 213-220. |
26 | LIU X W, FEIKE T, CHEN S Y, et al.. Effects of saline irrigation on soil salt accumulation and grain yield in the winter wheat-summer maize double cropping system in the low plain of North China [J]. J. Integrative Agric., 2016, 15(12): 2886-2898. |
27 | 李萍.返青期和拔节期土壤水分对冬小麦茎蘖成穗和产量的调控及其生理特性[D].泰安:山东农业大学, 2020. |
LI P. Effect of siol misture during returning green and jointing stages on spike formation and yield of main stem and tillers in winter wheat and its physiolical character [D]. Tai’an: Shandong Agricultural University, 2020. |
[1] | Caixia LYU, Yongfu LI, Huinan XIN, Na LI, Ning LAI, Qinglong GENG, Shuhuang CHEN. Effects of Slow Release Nitrogen Fertilizer on Yield of Winter Wheat and Soil Nitrate/Ammonium Nitrogen Under Drip Irrigation [J]. Journal of Agricultural Science and Technology, 2025, 27(8): 179-186. |
[2] | Gang ZHAO, Shuying WANG, Shangzhong LI, Jianjun ZHANG, Yi DANG, Lei WANG, Xingmao LI, Wanli CHENG, Gang ZHOU, Shengli NI, Tinglu FAN. Effects of Precipitation on Yield and Water Consumption of Winter Wheat in Loess Plateau in Recent 40 Years [J]. Journal of Agricultural Science and Technology, 2024, 26(3): 164-173. |
[3] | Hong ZHANG, Weiguo LI, Xiaodong ZHANG, Bihui LU, Chengcheng ZHANG, Wei LI, Tinghuai MA. Extraction of Winter Wheat Planting Area Based on Fusion Features of HJ-1 and GF-1 Image [J]. Journal of Agricultural Science and Technology, 2024, 26(2): 109-119. |
[4] | Mingyu ZHAO, Hao JIA, Xiaoyu SHI, Yi PAN, Yuyun HUANG, Kaicheng WANG, Qingquan CHU. Distribution of Winter Wheat Water Footprint in Huang-Huai-Hai Farming Region in Recent 30 Years [J]. Journal of Agricultural Science and Technology, 2023, 25(8): 138-147. |
[5] | Caixia HU, Hongen LIU, Chang LI, Shiyu QIN, Yuhuan ZHAO, Yupeng ZHANG, Haiyang LIU, Jiayang XU, Peng ZHAO, Zhaojun NIE, Qiuhong WANG. Effect of Phosphorus and Selenium Combined Application on Selenium Uptake, Translocation and Organic Selenium in Grain of Winter Wheat [J]. Journal of Agricultural Science and Technology, 2023, 25(11): 182-191. |
[6] | Huifang ZHANG, Jianhong ZHANG, Haijiao LIU, Yan SUN, Hongzhi QI, Nan WANG, Junzhi DUAN, Yan GUO, Haiyan YIN. Evolution of Wheat (Triticum aestivum L.) Germplasm Traits and Evaluation of Breeding Value in Southern Huang-Huai Winter Wheat Region in Recent 20 Years [J]. Journal of Agricultural Science and Technology, 2023, 25(11): 28-41. |
[7] | Wenhao ZHAO, Jiangtao JI, Hao MA, Xin JIN, Xue LI, Haigang MA. Extraction of Winter Wheat Coverage Based on Improved K-means Algorithm [J]. Journal of Agricultural Science and Technology, 2023, 25(1): 83-91. |
[8] | Yuli CHEN, Ping YANG, Huawei LI. Simulation Study on Effects of Planting Density and Sowing Date on Grain Quality of Winter Wheat [J]. Journal of Agricultural Science and Technology, 2022, 24(10): 143-153. |
[9] | Jian WANG, Ailing XU, Xiaodong WEI, Jilong XI, Na YANG, Ke WANG, Tianyuan XI, Jiancheng ZHANG. Risk Assessment of Spring Freezing Injury of Wheat at Different Sowing Dates in Yuncheng Basin [J]. Journal of Agricultural Science and Technology, 2022, 24(1): 137-147. |
[10] | GUO Jiahui, BAI Xionghui, WANG Aidong, LI Ruijie, SHI Xiaoxin, SHI Yongfeng, LI Ailian, WANG Xicheng, WANG Hongfu, GUO Jie. Identification and Evaluation Cold Resistance of the National Regional Test Winter Wheat Varieties in the Northern Part of Huang-Huai Winter Wheat Region [J]. Journal of Agricultural Science and Technology, 2021, 23(10): 25-34. |
[11] | ZHANG Shengnan1, NIE Zhaojun1*, ZHAO Peng1, LI Jinfeng1, LI Yongge2, LIU Hongen1*, QIN Xiaoming1, QIN Shiyu1. Impact of Phosphorus and Sulfur Combined ApplicatIon on Selenium Uptake and Translocation in Winter Wheat [J]. Journal of Agricultural Science and Technology, 2020, 22(5): 137-144. |
[12] | YIN Huanli1, YUE Yanjun2, CHANG Feng1, WANG Haibiao1, MIAO Yuhong1, WANG Yilun1*. Effects of Newtype Urea on Yield, Nutrient Absorption and Utilization of Winter Wheat [J]. Journal of Agricultural Science and Technology, 2020, 22(5): 145-152. |
[13] | LI Huawei1, CHEN Yuli2, ZHUO Qicui1, ZHANG Bin1*. Simulation Study on Effects of Nitrogen Application on Growth and Yield of Winter Wheat [J]. Journal of Agricultural Science and Technology, 2019, 21(12): 119-127. |
[14] | CHENG Wanying1, WANG Chunyan1*, REN Dechao2, CUI Sanrong1, GENG Jinjian1. Frost Resistance Evaluation Based on Winter Wheat Form in Different Spike Differentiation Stage [J]. Journal of Agricultural Science and Technology, 2018, 20(7): 83-90. |
[15] | LI Shuqin1,2, ZHU Yeping2*, LIU Hailong2, LI Shijuan2, LIU Shengping2. Leaf Height Model Construction and 3D Visualization after Green Stage of Winter Wheat [J]. Journal of Agricultural Science and Technology, 2017, 19(11): 59-67. |
Viewed | ||||||
Full text |
|
|||||
Abstract |
|
|||||