Journal of Agricultural Science and Technology ›› 2023, Vol. 25 ›› Issue (3): 221-233.DOI: 10.13304/j.nykjdb.2021.0792
• BIO-MANUFACTURING & RESOURCE AND ECOLOGY • Previous Articles
Ling YANG1(), Fucang ZHANG1(
), Xin SUN1, Shaohui ZHANG1, Haidong WANG1, Ahmed Elsayed ABDELGHANY1, Zhanfei CHEN2, Yuchuan FANG2
Received:
2021-09-08
Accepted:
2022-01-18
Online:
2023-03-15
Published:
2023-05-22
Contact:
Fucang ZHANG
杨玲1(), 张富仓1(
), 孙鑫1, 张少辉1, 王海东1, ABDELGHANY Ahmed Elsayed1, 陈占飞2, 方玉川2
通讯作者:
张富仓
作者简介:
杨玲E-mail:1729759720@qq.com;
基金资助:
CLC Number:
Ling YANG, Fucang ZHANG, Xin SUN, Shaohui ZHANG, Haidong WANG, Ahmed Elsayed ABDELGHANY, Zhanfei CHEN, Yuchuan FANG. Effects of Biochar and Drip Irrigation Amounts on Soil Properties and Growth of Potato in Blown-sand Region of Northern Yulin, Shaanxi Province[J]. Journal of Agricultural Science and Technology, 2023, 25(3): 221-233.
杨玲, 张富仓, 孙鑫, 张少辉, 王海东, ABDELGHANY Ahmed Elsayed, 陈占飞, 方玉川. 生物炭和滴灌量对陕北榆林沙土性质和马铃薯生长的影响[J]. 中国农业科技导报, 2023, 25(3): 221-233.
Add to citation manager EndNote|Ris|BibTeX
URL: https://nkdb.magtechjournal.com/EN/10.13304/j.nykjdb.2021.0792
Fig. 1 Reference crop evapotranspiration, air temperature, effective rainfall, actual irrigation amount and fertilizer application rate during tomato growth stage
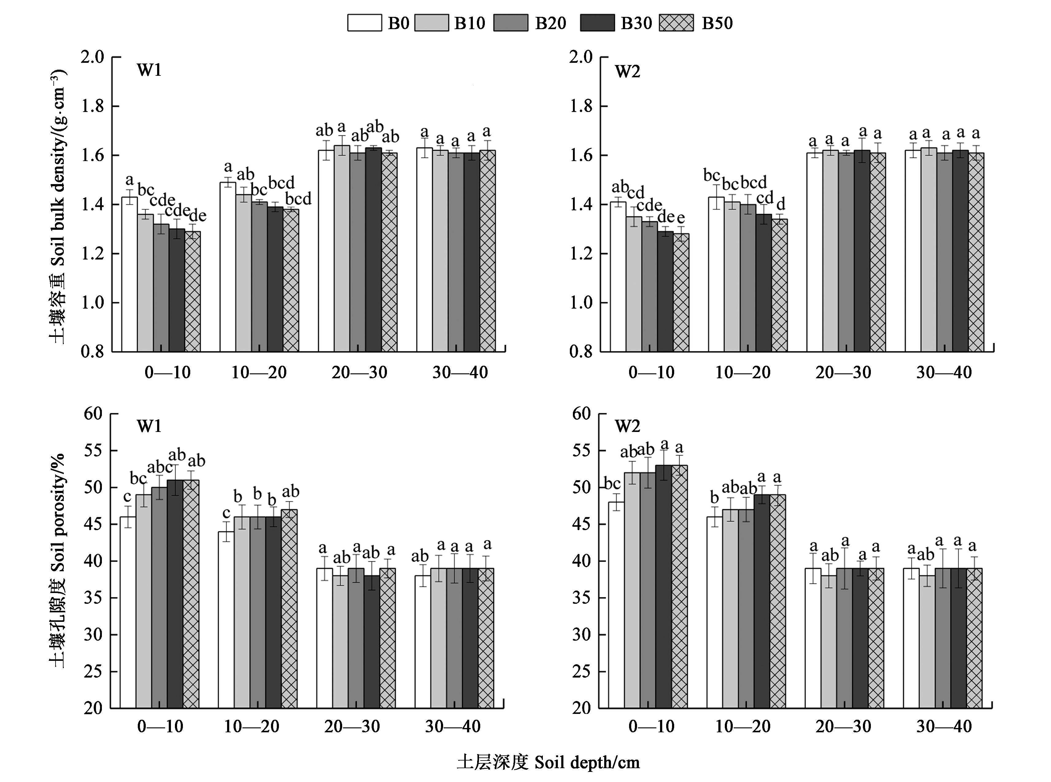
Fig. 2 Soil bulk density and porosity under different treatmentsNote: Different small letters at the same soil layer indicate significant differences at P<0.05 level.
Fig. 3 Soil organic carbon in 0—20 cm soil layer at different periods under different treatmentsNote: Different small letters at same period indicate significant differences at P<0.05 level.
Fig. 4 Soil available potassium content under different treatmentsNote: Different small letters at same horizontal distance indicate 0—20 cm soil layers significant differences at P<0.05 level.
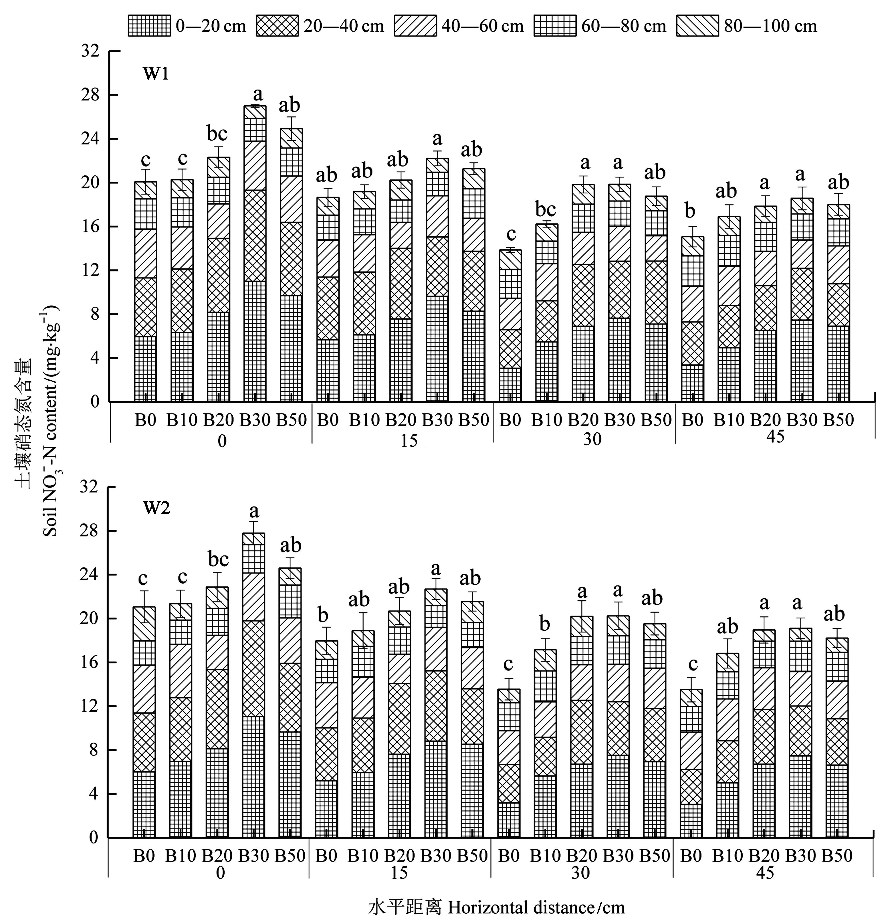
Fig. 5 Soil NO3-?N content under different treatmentsNote:Different small letters at same horizontal distance indicate 0—20 cm soil layers significant differences at P<0.05 level.
Fig. 7 Tomato dry matter accumulation amount under different treatmentsNote: Ⅰ~Ⅴ represents seedling, tuber formation, bulking, starch accumulation and maturity stage, respectively; * and ** indicates significant differences among treatments at P<0.05 and P<0.01 levels, respectively.
处理 Treatment | 块茎产量 Tuber yield/ (kg·hm-2) | 单株产量(g·株-1) Tuber of perplant/ (g·plant-1) | 商品薯重(g·株-1) Commodity tuber/(g·plant-1) | 大薯重(g·株-1) Big tuber/ (g·plant-1) | 水分利用 效率 WUE/(kg·m-3) |
---|---|---|---|---|---|
W1B0 | 40 888.89 e | 1 183.75 d | 984.93 c | 726.46 d | 8.63 d |
W1B10 | 45 041.66 de | 1 240.62 cd | 1 051.75 c | 755.29 cd | 9.50 cd |
W1B20 | 56 138.89 ab | 1 653.75 a | 1 398.43 a | 764.55 bcd | 12.49 a |
W1B30 | 57 180.55 a | 1 627.53 a | 1 403.43 ab | 754.86 cd | 12.41 a |
W1B50 | 47 194.45 d | 1 330.26 cd | 1 359.87 ab | 746.79 cd | 10.35 bc |
W2B0 | 44 416.66 de | 1 362.57 bcd | 1 170.86 bc | 742.10 cd | 9.27 cd |
W2B10 | 50 236.11 bcd | 1 463.75 abc | 1 257.19 ab | 798.85 abc | 10.36 bc |
W2B20 | 55 472.22 abc | 1 611.87 a | 1 458.72 a | 821.79 a | 11.22 b |
W2B30 | 58 263.89 a | 1 657. 51 a | 1 436.82 a | 814.70 ab | 11.31 ab |
W2B50 | 49 083.33 cd | 1 599.37 ab | 1 317.62 ab | 765.23 bcd | 9.14 cd |
F滴灌量FIrrigation rate | 3.774 | 5.379* | 1.929* | 15.823** | 2.744 |
F生物炭FBiochar rate | 19.029** | 6.887** | 4.372* | 2.905* | 18.093** |
F滴灌量×生物炭 FIrrigation rate×biochar rate | 0.608 | 1.140 | 0.833 | 0.596 | 3.345* |
Table 1 Tuber yield and water use efficiency under different treatments
处理 Treatment | 块茎产量 Tuber yield/ (kg·hm-2) | 单株产量(g·株-1) Tuber of perplant/ (g·plant-1) | 商品薯重(g·株-1) Commodity tuber/(g·plant-1) | 大薯重(g·株-1) Big tuber/ (g·plant-1) | 水分利用 效率 WUE/(kg·m-3) |
---|---|---|---|---|---|
W1B0 | 40 888.89 e | 1 183.75 d | 984.93 c | 726.46 d | 8.63 d |
W1B10 | 45 041.66 de | 1 240.62 cd | 1 051.75 c | 755.29 cd | 9.50 cd |
W1B20 | 56 138.89 ab | 1 653.75 a | 1 398.43 a | 764.55 bcd | 12.49 a |
W1B30 | 57 180.55 a | 1 627.53 a | 1 403.43 ab | 754.86 cd | 12.41 a |
W1B50 | 47 194.45 d | 1 330.26 cd | 1 359.87 ab | 746.79 cd | 10.35 bc |
W2B0 | 44 416.66 de | 1 362.57 bcd | 1 170.86 bc | 742.10 cd | 9.27 cd |
W2B10 | 50 236.11 bcd | 1 463.75 abc | 1 257.19 ab | 798.85 abc | 10.36 bc |
W2B20 | 55 472.22 abc | 1 611.87 a | 1 458.72 a | 821.79 a | 11.22 b |
W2B30 | 58 263.89 a | 1 657. 51 a | 1 436.82 a | 814.70 ab | 11.31 ab |
W2B50 | 49 083.33 cd | 1 599.37 ab | 1 317.62 ab | 765.23 bcd | 9.14 cd |
F滴灌量FIrrigation rate | 3.774 | 5.379* | 1.929* | 15.823** | 2.744 |
F生物炭FBiochar rate | 19.029** | 6.887** | 4.372* | 2.905* | 18.093** |
F滴灌量×生物炭 FIrrigation rate×biochar rate | 0.608 | 1.140 | 0.833 | 0.596 | 3.345* |
1 | 杨雅伦,郭燕枝,孙君茂.我国马铃薯产业发展现状及未来展望[J].中国农业科技导报, 2017, 19(1): 29-36. |
YANG Y L, GUO Y Z, SUN J M. Present status and future prospect for potato industry in China [J]. J. Agric. Sci. Technol., 2017, 19(1): 29-36. | |
2 | 刘敏,马锋,薛小宁.榆林市马铃薯种植气候条件分析[J] .安徽农业科学, 2016, 44(1): 268-271, 284. |
3 | 方玉川.榆林北部马铃薯全程机械化生产技术[J] .农业开发与装备, 2019(1): 193-194. |
4 | PAVEL T, NAFTALI L, GILBOA A. Increasing water productivity in arid regions using low-discharge drip irrigation: a case study on potato growth [J]. Irrig. Sci., 2017, 35(4): 287-295. |
5 | 韩启彪,冯绍元,曹林来,等.滴灌技术与装备进一步发展的思考[J].排灌机械工程学报, 2015, 33(11): 1001-1005. |
HAN Q B, FENG S Y, CAO L L, et al.. Thinking about further development of drip irrigation technology and equipment [J]. J. Drainage Irrig. Mach. Eng., 2015, 33(11): 1001-1005. | |
6 | 张上宁,徐利岗,汤英,等.不同补灌水量对膜下滴灌马铃薯产量及水分利用的影响研究[J].中国农村水利水电, 2020(7): 149-153, 162. |
ZHANG S N, XU L G, TANG Y, et al.. Effects of supplementary irrigation on yield and water use for under-mulch drip of potato in arid areas of central Ningxia [J]. J. China Rural Water Hydropower, 2020(7): 149-153, 162. | |
7 | 侯翔皓,张富仓,胡文慧,等.灌水频率和施肥量对滴灌马铃薯生长、产量和养分吸收的影响[J].植物营养与肥料学报, 2019, 25(1): 85-96. |
HOU X H, ZHANG F C, HU W H, et al.. Effects of irrigation frequency and fertilizer rate on growth, tuber yield and nutrient uptake of drip-irrigated potato [J]. J. Plant Nutr. Fert., 2019, 25(1): 85-96. | |
8 | 王海东.滴灌施肥条件下马铃薯水肥高效利用机制研究[D].咸阳:西北农林科技大学, 2020. |
WANG H D. Mechanism of high-efficient utilization of water and fertilizers by potato under drip irrigation fertilization [D]. Xianyang: Northwest A&F University, 2020. | |
9 | 焦婉如,张富仓,高月,等.滴灌施肥生育期比例分配对榆林市马铃薯生长和水分利用的影响[J].排灌机械工程学报, 2018, 36(3): 257-266. |
JIAO W R, ZHANG F C, GAO Y, et al.. Effects of fertilizer application rate of drip irrigation fertilization in various growing stages on growth and water use efficiency of potato in Yulin city [J]. J. Drainage Irrig. Mach. Eng., 2018, 36(3): 257-266. | |
10 | 张富仓,高月,焦婉如,等.水肥供应对榆林沙土马铃薯生长和水肥利用效率的影响[J].农业机械学报, 2017, 48(3): 270-278. |
ZHANG F C, GAO Y, JIAO W R, et al.. Effects of water and fertilizer supply on growth, water and nutrient use efficiencies of potato in sandy soil of Yulin area [J]. Trans. Chin. Soc. Agric. Mach., 2017, 48(3): 270-278. | |
11 | 高月.榆林沙土区不同水肥供应对马铃薯生长和水肥利用的影响[D]. 咸阳:西北农林科技大学, 2017. |
GAO Y. Effects of water and fertilization coupling on growth and nutrient use on potatoes in sandy areas of Yulin [D]. Xianyang: Northwest A&F University, 2017. | |
12 | 王永生,李玉恒,刘彦随.水资源约束下中国沙化土地整治工程与区域农业可持续发展研究—以陕西省榆林市为例[J].中国科学院院刊, 2020, 35(11): 1408-1416. |
WANG Y S, LI Y H, LIU Y S. China's sandy land consolidation engineering and regional agricultural sustainable development practice under water resource constrant: case study of Yulin city in Shaanxi province, China [J]. Bull. Chin. Academy Sci., 2020, 35(11): 1408-1416. | |
13 | PREM W, GERRIT H, ASHOK A. Simulation of potato yield, nitrate learning, and profit margins as influenced by irrigation and nitrogen management in different soils and production regions [J]. Agric. Water Manage., 2016, 171: 120-130. |
14 | 武玉,徐刚,吕迎春,等.生物炭对土壤理化性质影响的研究进展[J].地球科学进展, 2014, 29(1): 68-79. |
WU Y, XU G, LYU Y C, et al.. Effects of biochar amendment on soil physical and chemical properties: current status and knowledge gaps [J]. Adv. Earth Sci., 2014, 29(1): 68-79. | |
15 | PURAKAAYASTHA T J, BERA T, DEBARATI B, et al.. A review on biochar modulated soil condition improvements and nutrient dynamics concerning crop yields: pathways to climate change mitigation and global food security [J]. Chemosphere, 2019, 227: 345-365. |
16 | SHI W, JU Y Y, BIAN R, et al.. Biochar bound urea boosts plant growth and reduces nitrogen leaching [J/OL]. Sci. Total Environ., 2020, 701: 134424 [2021-09-07]. . |
17 | GITHINJI L. Effect of biochar application rate on soil physical and hydraulic properties of a sandy loam [J]. Arch. Agron. Soil Sci., 2014, 60 (4): 457-470. |
18 | QIAN X, ZHU L X, SHEN Y F, et al.. Sensitivity of soil water retention and availability to biochar addition in rainfed semi-arid farmland during a three-year field experiment [J]. Field Crops Res., 2016, 196: 284-293. |
19 | 董飞,闫秋艳,段增强,等.生物炭对不同浇水条件下冬小麦产量及水分利用效率的影响[J].华北农学报, 2020, 35(1): 149-157. |
DONG F, YAN Q Y, DUAN Z Q, et al.. Effects of biochar addition on yield and water use efficiency of winter wheat under different irrigation conditions [J]. Acta Agric. Boreali-Sin., 2020, 35(1): 149-157. | |
20 | 魏永霞,石国新,冯超,等.黑土区施加生物炭对土壤综合肥力与大豆生长的影响[J].农业机械学报, 2020, 51(5): 285-294. |
WEI Y X, SHI G X, FENG C, et al.. Effects of applying biochar on soil comprehensive fertility and soybean growth in black soil area [J]. Trans. Chin. Soc. Agric. Mach., 2020, 51(5): 285-294. | |
21 | 代镇,李伟,韩娟,等.生物炭对塿土持水能力的影响[J].干旱地区农业研究, 2019, 37(6): 265-273. |
DAI Z, LI W, HAN J, et al.. Influences of biochar on soil water retention capacity in the Lou soil [J]. Agric. Res. Arid Areas, 2019, 37(6): 265-273. | |
22 | 高海英,何绪生,耿增超,等.生物炭及炭基氮肥对土壤持水性能影响的研究[J].中国农学通报, 2011, 27(24): 207-213. |
GAO H Y, HE X S, GENG Z C, et al.. Effects of biochar and biochar-based nitrogen fertilizer on soil water-holding capacity [J]. Chin. Agric. Sci. Bull., 2011, 27(24): 207-213. | |
23 | 燕金锐,律其鑫,高增平,等.有机肥与生物炭对沙化土壤理化性质的影响[J].江苏农业科学, 2019, 47(9): 303-307. |
YAN J R, LYU Q X, GAO Z P, et al.. Effects of organic fertilizer and biochar on physicochemical properties of sandy soil [J]. Agric. Sci. Jiangsu, 2019, 47(9): 303-307. | |
24 | PU S H, LI G Y, TANG G M, et al.. Effects of biochar on water movement characteristics in sandy soil under drip irrigation [J]. J. Arid Land, 2019, 11(5): 740-753. |
25 | KANGOMA E, BLANGO M M, RASHID-NOAH A B, et al.. Potential of biochar‐amended soil to enhance crop productivity under deficit irrigation [J]. Irrig. Drainage, 2017, 66(4): 600-614. |
26 | WANG H D, WANG X K, BI L F, et al.. Multi-objective optimization of water and fertilizer management for potato production in sandy areas of northern China based on TOPSIS [J]. Field Crops Res., 2019, 240: 55-68. |
27 | CHEN Q F, DAI X M, CHEN J S, et al.. Difference between responses of potato plant height to corrected FAO-56- recommended crop coefficient and measured crop coefficient [J]. Agric. Sci. Technol., 2016, 17(3): 551-554. |
28 | LIANG J P, LI Y, SI B C, et al.. Optimizing biochar application to improve soil physical and hydraulic properties in saline-alkali soils [J/OL]. Sci. Total Environ., 2021, 771: 144802 [2021-09-07]. . |
29 | HUMBERTO B C. Biochar and soil physical properties [J]. Soil Sci. Soc. Am. J., 2017, 81(4): 687-711. |
30 | ARUNA O A, TAIWO M A, ADENIYI O, et al.. Effect of biochar on soil properties, soil loss and cocoyam yield on a tropical sandy loam alfisol [J/OL]. Sci. World J., 2020(2): 9391630 [2021-09-07]. . |
31 | ZHANG C, LI X Y, YAN H F, et al.. Effects of irrigation quantity and biochar on soil physical properties, growth characteristics, yield and quality of greenhouse tomato [J/OL]. Agric. Water Manage., 2020, 241:106263 [2021-09-07].. |
32 | 王萌萌,周启星.生物炭的土壤环境效应及其机制研究[J].环境化学, 2013, 32(5): 768-780. |
WANG M M, ZHOU Q X. Environmental effects and their mechanisms of biochar applied to soils [J]. Environ. Chem., 2013, 32(5): 768-780. | |
33 | JIN Z, CHEN C, CHEN X, et al.. The crucial factors of soil fertility and rapeseed yield - a five year field trial with biochar addition in upland red soil, China [J]. Total Environ., 2019, 649: 1467-1480. |
34 | HU Y J, SUN B H, WU S F, et al.. After-effects of straw and straw-derived biochar application on crop growth, yield, and soil properties in wheat -maize rotations: a four-year field experiment [J/OL]. Sci. Total Environ., 2021, 780:146560 [2021-09-07]. . |
35 | LIU Y X, LU H H, YANG S M, et al.. Impacts of biochar addition on rice yield and soil properties in a cold waterlogged paddy for two crop seasons [J]. Field Crops Res., 2016, 191: 161-167. |
36 | SPARKS D L, LIEBHARDT W C. Temperature effects of potassium exchange and selectivity in delaware soils [J]. Soil Sci., 1982, 133(1): 10-17. |
37 | 郭伟,陈红霞,张庆忠,等.华北高产农田施用生物质炭对耕层土壤总氮和碱解氮含量的影响[J].生态环境学报,2011, 20(3):425-428. |
GUO W, CHEN H X, ZHANG Q Z, et al.. Effect of biochar on soil total nitrogen and alkali-hydrolyzable nitrogen content in surface layer in high-yielding farmland in North China [J]. Ecol. Environ. Sci., 2011,20(3): 425-428. | |
38 | 肖茜,张洪培,沈玉芳,等.生物炭对黄土区土壤水分入渗、蒸发及硝态氮淋溶的影响[J].农业工程学报, 2015, 31(16): 128-134. |
XIAO Q, ZHANG H P, SHEN Y F, et al.. Effects of biochar on water infiltration, evaporation and nitrate leaching in semi-arid loess area [J]. Trans. Chin. Soc. Agric. Eng., 2015, 31(16): 128-134. | |
39 | 付春娜,张丽莉,黄越,等.生物炭与干旱对马铃薯初花期生长特性的影响[J].贵州农业科学, 2016, 44(10): 18-21. |
FU C N, ZHANG L L, HUANG Y, et al.. Effect of biochar and drought on growth characteristics of potato early flowering stage [J]. Guizhou Agric. Sci., 2016, 44(10): 18-21. | |
40 | 李正鹏,宋明丹,韩梅,等.覆膜与生物炭对青藏高原马铃薯水分利用效率和产量的影响[J].农业工程学报, 2020, 36(15): 142-149. |
LI Z P, SONG M D, HAN M, et al.. Effects of film mulching and biochar interaction on yield and water use efficiency of potato in the eastern agricultural area of Qinghai-Tibetan plateau [J]. Trans. Chin. Soc. Agric. Eng., 2020, 36(15): 142-149. | |
41 | 张伟明,吴迪,张鈜贵,等.连续施用农用玉米芯炭的马铃薯生物学响应[J].农业环境科学学报, 2020, 39(8): 1843-1853. |
ZHANG W M, WU D, ZHANG H G, et al.. Biological effects of consecutive application of corncob biochar to potato plants [J]. J. Agro-Environ. Sci., 2020, 39(8): 1843-1853. | |
42 | 王贺东,吕泽先,刘成,等.生物质炭施用对马铃薯产量和品质的影响[J].土壤, 2017, 49(5): 888-892. |
WANG H D, LYU Z X, LIU C, et al.. Effects of biochar application on potato yield and quality [J]. Soils, 2017, 49(5): 888-892. | |
43 | 丰国福,王效瑜,张国辉.马铃薯不同种植模式下生物炭对土壤水分动态影响的研究[J].农业科技通讯, 2020(5): 145-149. |
44 | JIN Q, HOU M M, ZHANG F L. Effects of drip irrigation and bio-organic fertilizer application on plant growth and soil improvement [J]. Fresenius Environ. Bull., 2018, 27: 6993-7002. |
45 | 肖石江,普红梅,王鑫,等.水肥耦合对冬马铃薯产量和水分利用效率的影响[J].中国土壤与肥料, 2021(2): 133-140. |
XIAO S J, PU H M, WANG X, et al.. Effects of water and fertilizer coupling on yield and water use efficiency of winter potato [J]. Soil Fert. China, 2021(2): 133-140. |
[1] | Zhenfei ZHANG, An YAN, Jing GUO, Yuhang ZHAO, Yilin YUAN, Peng LIU, Zuohao QU, Chuan YUAN. Research on Apple Yield Estimation Model Based on Unmanned Aerial Vehicle Remote Sensing [J]. Journal of Agricultural Science and Technology, 2025, 27(9): 110-119. |
[2] | Jianfeng ZHANG, Wenfeng HOU, Yongqing WU, Kaixu LI, Xiaokun LI. Effects of Nitrogen Fertilizer and Density Interactions on Occurrence of Diseases and Insect Pests and Grain Yield of Rice [J]. Journal of Agricultural Science and Technology, 2025, 27(9): 145-154. |
[3] | Haiyan LI, Ting ZHANG, Xinchang LI, Ling ZHANG, Pei WANG, Minhu BAO. Screening and Identification of a Strain of Bacillus velezensis Against Botrytis cinerea [J]. Journal of Agricultural Science and Technology, 2025, 27(8): 110-118. |
[4] | Caixia LYU, Yongfu LI, Huinan XIN, Na LI, Ning LAI, Qinglong GENG, Shuhuang CHEN. Effects of Slow Release Nitrogen Fertilizer on Yield of Winter Wheat and Soil Nitrate/Ammonium Nitrogen Under Drip Irrigation [J]. Journal of Agricultural Science and Technology, 2025, 27(8): 179-186. |
[5] | Zhien LIU, Yong HE, Zhicheng WANG, Xiaokang ZHAN, Tingbao WANG, Yaowei LIU, Zhihong TIAN. Identification and Bioinformatics Analysis of Growth Regulating Factor GRF Gene Family in Rice [J]. Journal of Agricultural Science and Technology, 2025, 27(8): 18-27. |
[6] | Xueqing LIU, Jing WANG, Yi YANG, Huiqin WU, Yanhong WANG, Luyao WANG, Jiawei LU, Kaixuan ZHANG, Yuan ZHAI, Yan CHENG. Effect of Exogenous Ethephon on Defoliation and Yield of Pigmented Pepper [J]. Journal of Agricultural Science and Technology, 2025, 27(8): 36-46. |
[7] | Qi ZHOU, Qiang LIU, Jing ZHANG, Chaochao DENG, Zhenlong WANG, Yang LIU, Fang WU, Hao CHANG, Yanfang ZHOU, Cuicui SU, Zhiguo SHI, Zhengrui GAO, Fengjie MA. Effects of Organic Fertilizer Replacing Chemical Fertilizer on Yield and Soil Biological Characteristics of Pumpkin [J]. Journal of Agricultural Science and Technology, 2025, 27(7): 190-203. |
[8] | Gang ZHENG, Peng XU, Dongquan CHEN, Songmei YANG, Minsheng WU, Ranbing YANG. Design and Experimentation of Conveying and Separating Device for Fresh-eating Sweet Potato Harvester in Sandy Soil [J]. Journal of Agricultural Science and Technology, 2025, 27(6): 104-112. |
[9] | Fu QING, Hongyue LIANG, Jing SUN, Xinrui LU, Yunjiang LIANG. Effects of Combined Application of Biochar and Nitrogen Fertilizer on Aggregate and Organic Carbon Content of Black Soil in Northeast China [J]. Journal of Agricultural Science and Technology, 2025, 27(6): 195-204. |
[10] | Juanjuan HUANG, Zhiqiang ZHANG, Juan MAO, Zonghuan MA, Baihong CHEN. Effects of Different Foliar Fertilizers on Growth, Development and Fruit Quality of ‘Pinot Noir’ Grape [J]. Journal of Agricultural Science and Technology, 2025, 27(6): 205-217. |
[11] | Shichao CHEN, Ju WANG, Fuqiang GUO, Rui HAO, Jianping SHI. Effects of Different Water and Nitrogen Coupling on Physiological Indexes and Yield of Protein Mulberry [J]. Journal of Agricultural Science and Technology, 2025, 27(6): 240-249. |
[12] | Lijun DUAN, Xianhua DING, Weiqin LI, Shuangdui YAN. Investigation of Co-pyrolysis Behavior and Pyrolysis Product Analysis of Oak Bark and Corn Stalks [J]. Journal of Agricultural Science and Technology, 2025, 27(5): 164-172. |
[13] | Guiqian ZHANG, Li ZHANG, Qian WANG, Caiyun LIU. Effect of Astragalus Polysaccharides on Colony Development and Honey Production in Honeybees [J]. Journal of Agricultural Science and Technology, 2025, 27(5): 72-80. |
[14] | Zhongzhong DOU, Yiqi LIU. Simulation Analysis of Arc-jaw Type Potato Precision Seed Discharger [J]. Journal of Agricultural Science and Technology, 2025, 27(4): 110-119. |
[15] | Saisai HOU, Shanshan TONG, Pengqi WANG, Bingxue XIE, Ruifang ZHANG, Xinxin WANG. Effects of Biochar and Straw on Growth Characteristics and Nutrient Uptake of Different Crops [J]. Journal of Agricultural Science and Technology, 2025, 27(4): 179-191. |
Viewed | ||||||
Full text |
|
|||||
Abstract |
|
|||||