Journal of Agricultural Science and Technology ›› 2022, Vol. 24 ›› Issue (7): 187-196.DOI: 10.13304/j.nykjdb.2021.0244
• BIO-MANUFACTURING & RESOURCE AND ECOLOGY • Previous Articles Next Articles
Xiubo XIA(), Tao LI(
), Shoujun CAO, Jiangang YAO, Hongyun WANG, Lili ZHANG
Received:
2021-03-23
Accepted:
2021-06-01
Online:
2022-07-15
Published:
2022-08-15
Contact:
Tao LI
夏秀波(), 李涛(
), 曹守军, 姚建刚, 王虹云, 张丽莉
通讯作者:
李涛
作者简介:
夏秀波 E-mail:xiuboxia@163.com;
基金资助:
CLC Number:
Xiubo XIA, Tao LI, Shoujun CAO, Jiangang YAO, Hongyun WANG, Lili ZHANG. Effect of Liquid Organic Fertilizer Partial Replacing Chemical Fertilizer on Bacterial Community in Greenhouse Tomato Root Zone[J]. Journal of Agricultural Science and Technology, 2022, 24(7): 187-196.
夏秀波, 李涛, 曹守军, 姚建刚, 王虹云, 张丽莉. 液态有机肥部分替代化肥对设施番茄根区细菌群落的影响[J]. 中国农业科技导报, 2022, 24(7): 187-196.
Add to citation manager EndNote|Ris|BibTeX
URL: https://nkdb.magtechjournal.com/EN/10.13304/j.nykjdb.2021.0244
处理 Treatment | 肥料类型 Fertilization type | 次数 Times | |
---|---|---|---|
化学冲施肥 Chemical fertilizer /(kg·hm-2) | 液态有机肥 Liquid organic fertilizer /(kg·L-1) | ||
T_CK | 90.0 | 0 | 5 |
T_R20 | 72.0 | 15.0 | 5 |
T_R30 | 63.0 | 22.5 | 5 |
T_R40 | 54.0 | 30.0 | 5 |
Table 1 Fertilization amount of different treatments
处理 Treatment | 肥料类型 Fertilization type | 次数 Times | |
---|---|---|---|
化学冲施肥 Chemical fertilizer /(kg·hm-2) | 液态有机肥 Liquid organic fertilizer /(kg·L-1) | ||
T_CK | 90.0 | 0 | 5 |
T_R20 | 72.0 | 15.0 | 5 |
T_R30 | 63.0 | 22.5 | 5 |
T_R40 | 54.0 | 30.0 | 5 |
样本 Sample | 序列数 Sequence No. | 碱基数 Base No. | 平均序列长度 Mean sequence length/bp | 最短序列长度 Min sequence length/bp | 最长序列长度 Max sequence length/bp |
---|---|---|---|---|---|
T_CK | 67 708 | 28 279 629 | 417.67 | 244 | 535 |
T_R20 | 57 661 | 23 977 066 | 415.83 | 258 | 519 |
T_R30 | 54 144 | 22 647 083 | 418.28 | 283 | 506 |
T_R40 | 72 046 | 30 248 429 | 419.85 | 336 | 461 |
Table 2 Sample information statistics chart
样本 Sample | 序列数 Sequence No. | 碱基数 Base No. | 平均序列长度 Mean sequence length/bp | 最短序列长度 Min sequence length/bp | 最长序列长度 Max sequence length/bp |
---|---|---|---|---|---|
T_CK | 67 708 | 28 279 629 | 417.67 | 244 | 535 |
T_R20 | 57 661 | 23 977 066 | 415.83 | 258 | 519 |
T_R30 | 54 144 | 22 647 083 | 418.28 | 283 | 506 |
T_R40 | 72 046 | 30 248 429 | 419.85 | 336 | 461 |
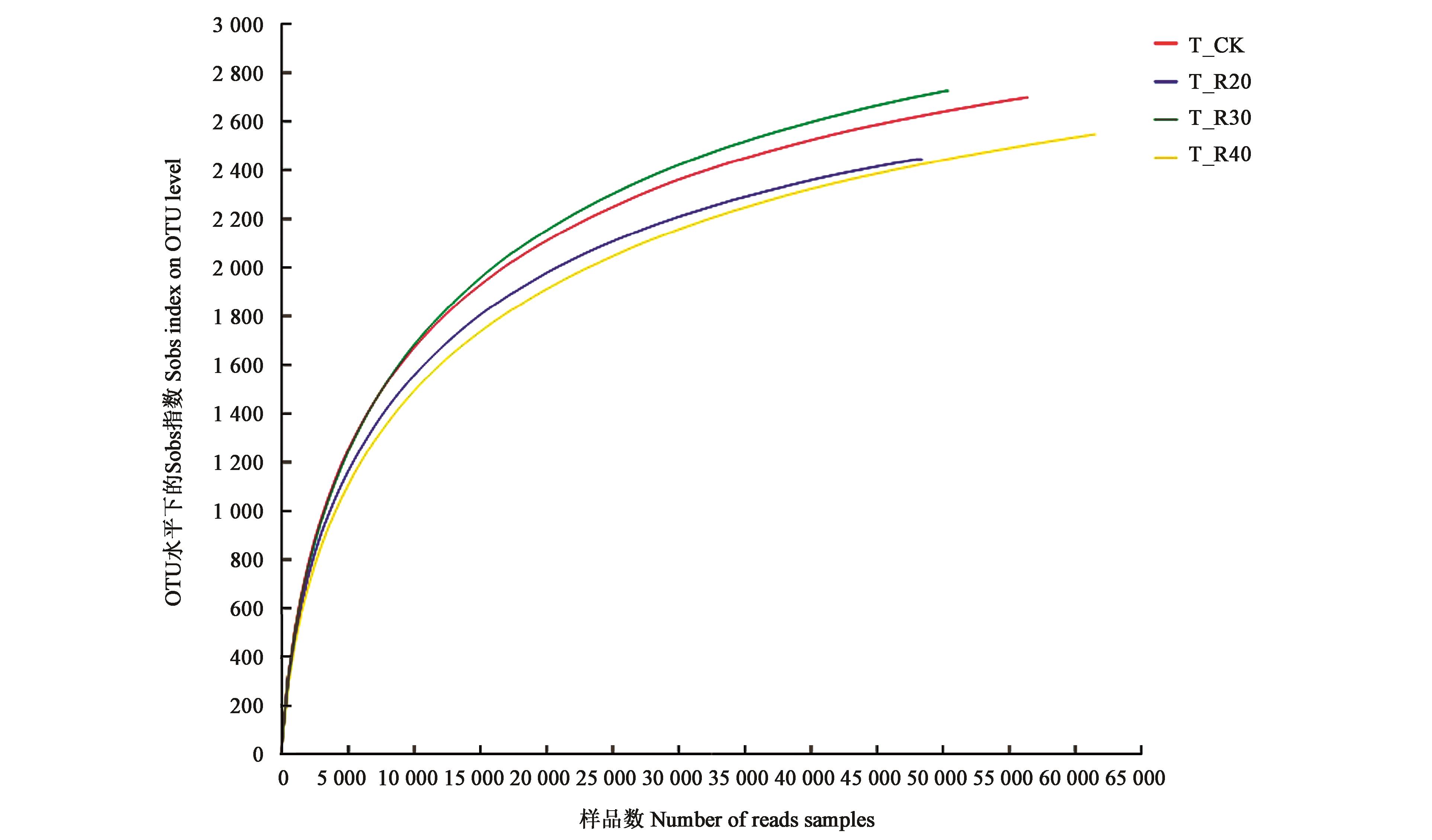
样品Sample | 覆盖度 Coverage | Ace指数 Ace index | Chao指数 Chao index | Shannon指数 Shannon index | Simpson指数 Simpson index | Sobs指数 Sobs index |
---|---|---|---|---|---|---|
T_CK | 0.991 6 a | 3 002.15 b | 3 003.27 b | 6.52 a | 0.005 7 c | 2 694 a |
T_R20 | 0.990 5 a | 2 745.79 d | 2 739.96 d | 6.41 a | 0.004 8 c | 2 441 c |
T_R30 | 0.989 5 a | 3 081.20 a | 3 064.07 a | 6.46 a | 0.006 8 b | 2 721 a |
T_R40 | 0.992 0 a | 2 886.29 c | 2 911.51 c | 6.15 b | 0.011 2 a | 2 544 b |
Table 3 Diversity index of Bacteria in samples
样品Sample | 覆盖度 Coverage | Ace指数 Ace index | Chao指数 Chao index | Shannon指数 Shannon index | Simpson指数 Simpson index | Sobs指数 Sobs index |
---|---|---|---|---|---|---|
T_CK | 0.991 6 a | 3 002.15 b | 3 003.27 b | 6.52 a | 0.005 7 c | 2 694 a |
T_R20 | 0.990 5 a | 2 745.79 d | 2 739.96 d | 6.41 a | 0.004 8 c | 2 441 c |
T_R30 | 0.989 5 a | 3 081.20 a | 3 064.07 a | 6.46 a | 0.006 8 b | 2 721 a |
T_R40 | 0.992 0 a | 2 886.29 c | 2 911.51 c | 6.15 b | 0.011 2 a | 2 544 b |
1 | 张福锁.科学认识化肥的作用[J].中国农技推广,2017,33(1):16-19. |
ZHANG F S. Scientific understanding of the role of chemical fertilizer [J]. Chin. Agric. Technol. Extension, 2017, 33(1):16-19. | |
2 | 杨吉祥,马平平.浅谈农药化肥的负面作用及对策[J].中国园艺文摘,2009(6):158-160. |
YANG J X, MA P P. Discussion on the negative effects and countermeasures of pesticide and chemical fertilizer [J]. Chin. Hortic. Abstracts, 2009(6):158-160. | |
3 | 张迎春,颉建明,李静,等.生物有机肥部分替代化肥对莴笋及土壤理化性质和微生物的影响[J].水土保持学报,2019,33(4):196-205. |
ZHANG Y C, XIE J M, LI J, et al.. Effects of partial substitution of chemical fertilizer by bioorganic fertilizer on asparagus lettuce and soil physical chemical properties and microorganisms [J]. J. Soil Water Conserv., 2019, 33(4):196-205. | |
4 | 姜利红,谢桂先,刘强,等.有机无机肥配施对双季稻田土壤微生物和碳库的影响[J].湖南农业大学学报(自然科学版),2018,44(3):295-300. |
JIANG L H, XIE G X, LIU Q, et al.. Effect of combined application of organic and inorganic fertilizers on soil microbial and carbon pool in double rice paddy field [J]. J. Hunan Agric. Univ. (Nat. Sci.), 2018, 44(3):295-300. | |
5 | 祝英,王治业,彭轶楠,等.有机肥替代部分化肥对土壤肥力和微生物特征的影响[J].土壤通报,2015,46(5):1161-1167. |
ZHU Y, WANG Z Y, PENG Y N, et al.. Changes of soil nutrients and microbial communities under the condition of organic fertilizers replacing part of chemical fertilizers [J]. Chin. J. Soil Sci., 2015, 46(5):1161-1167. | |
6 | 李杰,贾豪语,颉建明,等.生物肥部分替代化肥对花椰菜产量、品质、光合特性及肥料利用率的影响[J].草业学报,2015,24(1):47-55. |
LI J, JIA H Y, XIE J M, et al.. Effects of partial substitution of mineral fertilizer by bio-fertilizer on yield, quality, photosynthesis and fertilizer utilization rate in broccoli [J]. Acta Pratac. Sin., 2015, 24(1):47-55. | |
7 | 牛振明,张国斌,刘赵帆,等.生物肥部分替代化肥对甘蓝(Brassica oleracea)养分吸收、光合作用以及品质的影响[J].中国沙漠,2014,34(2):464-471. |
NIU Z M, ZHANG G B, LIU Z F, et al.. Effect of partial replacement of chemical fertilizer by bio-fertilizer on nutrient uptake photosynthesis and quality of Brassica oleracea [J]. J. Desert Res., 2014, 34(2):464-471. | |
8 | 徐全辉,高仰,赵强,等.活性腐殖酸有机肥对水稻产量、养分吸收的影响[J].安徽农业科学,2010(8):3951-3952. |
XU Q H, GAO Y, ZHAO Q, et al.. Effect of humic acid fertilizer on rice yield and nutrient uptake [J]. J. Anhui Agric. Sci., 2010, 38(8):3951-3952. | |
9 | 沈渊,沈新芬,姚明军.复合微生物液态有机肥在滴灌玉米上的应用效果研究[J].现代农业科技, 2020(15):9-11 |
SHEN Y, SHEN X F, YAO M J. Study on application effect of compound microbial liquid organic fertilizer on drip irrigation corn [J]. Modern Agric. Sci. Technol., 2020(15):9-11. | |
10 | 徐海东,董合林,苏丽丽,等.液态有机肥对滴灌棉花光合特性及产量形成规律的影响[J].中国农学通报, 2017,33(20):71-77. |
XU H D, DONG H L, SU L L, et al.. Effects of liquid organic fertilizer on photosynthetic characteristics and yield formation of cotton under drip irrigation [J]. Chin. Agric. Sci. Bull., 2017, 33(20):71-77. | |
11 | 熊湖,郑顺林,龚静 等.液态有机肥对酚酸胁迫下马铃薯生长发育和土壤酶活性影响[J].水土保持学报,2019,33(3):254-259, 267. |
XIONG H, ZHENG S L, GONG J, et al.. Effects of liquid organic soil enzyme activities fertilizer on potato growth and under phenolic acid stress [J]. J. Soil Water Conserv., 2019, 33(3):254-259, 267. | |
12 | 席天元,刘庆华,雷逢进,等.有机肥液态施入对番茄产量和品质的影响[J].山西农业科学,2014,42(7):697-700. |
XI T Y, LIU Q H, LEI F J, et al.. Impact of organic fertilizer drip fertigationed to tomato yield and quality [J]. J. Shanxi Agric. Sci., 2014, 42(7):697-700. | |
13 | 陶瑞,李锐,谭亮,等.减少化肥配施有机肥对滴灌棉花N、P吸收和产量的影响[J].棉花学报,2014,26(4):342-349. |
TAO R, LI R, TAN L, et al.. Effects of application of different organic manures with chemical fertilizer on cotton yield, N and P utilization efficiency under drip irrigation [J]. J. Cotton, 2014, 26(4):342-349. | |
14 | 孟琳,张小莉,蒋小芳,等.有机肥料氮替代部分化肥氮对稻谷产量的影响及替代率[J].中国农业科学,2009,42(2):532-542. |
MENG L, ZHANG X L, JIANG X F, et al.. Effects of partial mineral nitrogen substitution by organic fertilizer nitrogen on the yields of rice grains and their proper substitution rate [J]. Sci. Agric. Sin., 2009, 42(2):532-542. | |
15 | 刘森.施肥年限对泡桐人工林土壤微生物群落结构和多样性的影响[D].昆明:中南林业科技大学,2017. |
LIU S. Effects of fertilization length on soil microbial community structure and diversity in paulownia plantations [D]. Kunming: Central south university of forestry and technology, 2017. | |
16 | CHEN S F, ZHOU Y Q, CHEN Y R, et al.. An ultra-fast all-in-one FASTQ preprocessor [J]. Bioinformatics, 2018, 34(17):884-890. |
17 | MAGOČ T, SALZBERG S L. FLASH: fast length adjustment of short reads to improve genome assemblies [J]. Bioinformatics, 2011, 27(21):2957-2963. |
18 | EDGAR RC. UPARSE: Highly accurate OTU sequences from microbial amplicon reads [J]. Nat. Methods., 2013, 10(10):996-998. |
19 | STACKEBRANDT E, GOEBEL B M. Taxonomic Note: A place for DNA-DNA reassociation and 16S rRNA sequence analysis in the present species definition in bacteriology [J]. Int. J. System. Bacteriol., 1994, 44(4):846-849. |
20 | WANG Q, GARRITY G M, TIEDJE J M, et al.. Naive Bayesian classifier for rapid assignment of rRNA sequences into the new bacterial taxonomy [J]. Appl. Environ. Microbiol., 2007, 73(16):5261-5267. |
21 | HUANG L F, SONG L X, XIA X J, et al.. Plant-soil feedbacks and soil sickness: from mechanisms to application in agriculture [J]. J. Chem. Ecol., 2013, 39(2):232-242. |
22 | BERENDSEN R L, PIETERSE C M J, BAKKER P A H M. The rhizosphere microbiome and plant health [J]. Trends Plant Sci., 2012, 17(8):478-486. |
23 | 张凯煜,谷洁,王小娟,等.微生物有机肥对樱桃园土壤细菌群落的影响[J].中国环境科学,2019, 39(3):1245-1252. |
ZHANG K Y, GU J, WANG X J, et al.. Effects of bio-organic fertilizer on the soil bacterial community in a cherry orchard [J]. Chin. Environ. Sci., 2019, 39(3):1245-1252. | |
24 | 樊晓刚,金轲,李兆君,等.不同施肥和耕作制度下土壤微生物多样性研究进展[J].植物营养与肥料学报,2010,16(3):744-751. |
FAN X G, JIN K, LI Z J, et al.. Soil microbial diversity under different fertilization and tillage practices: A review [J]. Plant Nutr. Fert. Sci., 2010, 16(3):744-751. | |
25 | 王宁,南宏宇,冯克云.化肥减量配施有机肥对棉田土壤微生物生物量、酶活性和棉花产量的影响[J].应用生态学报, 2020,31(1):173-181. |
WANG N, NAN H Y, FENG K Y. Effects of reduced chemical fertilizer with organic fertilizer application on soil microbial bio-mass, enzyme activity and cotton yield [J]. Chin. J. Appl. Ecol., 2020, 31(1):173-181. | |
26 | 白亚丽.日光温室果菜有机肥替代及化肥减施对其生长和土壤环境的影响[D].郑州:河南农业大学,2019. |
BAI L Y. 2020, The effects on fruit vegetables growth and the soil environment with replacement of organic fertilizer and fertilizer application in solar greenhouse [D]. Zhengzhou: Henan Agricultural University, 2019. | |
27 | 王慧颖,徐明岗,周宝库,等.黑土细菌及真菌群落对长期施肥响应的差异及其驱动因素[J].中国农业科学,2018,51(5):914-925. |
WANG H Y, XU M G, ZHOU B K, et al.. Response and driving factors of bacterial and fungal community to long-term fertilization in black soil [J]. Sci. Agric. Sin., 2018, 51(5):914-925. | |
28 | 曾希柏,王亚男,王玉忠,等.不同施肥模式对设施菜地细菌群落结构及丰度的影响[J].中国农业科学,2013,46(1):69-79. |
ZENG X B, WANG Y N, WANG Y Z, et al.. Effects of different fertilization regimes on abundance and composition of the bacterial community in greenhouse vegetable soils [J]. Sci. Agric. Sin., 2013, 46(1):69-79. | |
29 | 马晓英,马琨,周艳,等.土壤细菌群落组成对有机与无机培肥措施的响应[J].西北农业学报,2019,28(10):1698-1707. |
MA X Y, MA K, ZHOU Y, et al.. Response of Soil Bacteria Community Structure to Application of Inorganic and organic fertilizer [J]. Acta Agric. Bor-Occid. Sin., 2019, 28(10):1698-1707. | |
30 | 赵立君,刘云根,王妍,等.典型高原湖滨带底泥细菌群落结构及多样性特征[J].微生物学通报,2020,47(2):401-410. |
ZHAO L J, LIU Y G, WANG Y, et al.. Bacterial community structure and diversity of sediments in a typical plateau lakeshore [J]. Microbiol. China, 2020, 47(2):401-410. | |
31 | 王光华,刘俊杰,于镇华,等.土壤酸杆菌门细菌生态学研究进展[J].生物技术通报,2016,32(2):14-20. |
WANG G H, LIU J J, YU Z H, et al.. Research progress of Acidobacteria ecology in soils [J]. Biotechnol. Bull., 2016, 32(2):14-20. | |
32 | 于淑池.植物真菌病害生防芽孢杆菌的研究进展[J].通化师范学院学报,2007,28(8):52-54. |
YU S C. Research review of biocontrol bacillus for plant fungous diseases [J]. J. Tonghua Norm. Univ., 2007, 28(8):52-54. | |
33 | 陈志谊,张荣胜,刘邮洲,等.植物病害生防芽孢杆菌研究进展[J].江苏农业学报,2012,28(5):999-1006. |
CHEN Z Y, ZHANG R S, LIU Y Z, et al.. Research progress in biocontrol of Bacillus spp. against plant diseases [J]. Jiangsu J. Agric. Sci., 2012, 28(5):999-1006. |
[1] | Haili LI, Fan YANG, Jianhao CHEN, Kang YANG, Yiping YANG, Jingang DUAN, Bin LI, Wanqi ZHANG, Chunjiang MA. Analysis of Bacteriostasis Activity of Paenibacillus sp. Against Super Drug-resistant Escherichia coli Carrying NDM Genes [J]. Journal of Agricultural Science and Technology, 2025, 27(8): 119-131. |
[2] | Xiyu ZHANG, Xing SHEN, Wei LI, Wenge XIE, Jie LI, Changhao YANG, Zhongping CHAI. Influence of Reduced Nitrogen Fertilizer Combined with Organic Fertilizer on Soil Bacterial Community Structure in Korla Pear Orchards [J]. Journal of Agricultural Science and Technology, 2025, 27(7): 217-228. |
[3] | Ergang WANG, Pengyuan LYU, Yi ZHOU, Yu ZHAN, Guixiang HE, Lixiang WANG, Xinyue MIAO, Changbao CHEN, Qiong LI. Effects of Biocontrol Bacteria on Soil Properties and Bacterial Community Structure of Ginseng Continuous Cropping [J]. Journal of Agricultural Science and Technology, 2025, 27(4): 140-148. |
[4] | Mengting JI, Ling ZHU, Xiaohua LUO, Yuting ZHENG, Shun XIAO, Fangping HU, Xueqing CAI. Symptoms and Pathogen Identification of Ficus carica Bacterial Leaf Spot Disease in Fujian [J]. Journal of Agricultural Science and Technology, 2025, 27(1): 147-154. |
[5] | Xingsong WANG, Na WANG, Yu DU, Peng ZHOU, Ge WANG, Meng JIA, Zhaoli XU, Yuxiang BAI. Effects of Organic Fertilizer on Organic Matter Composition and Microbial Community Structure of Tobacco-Growing Soil in Yuxi [J]. Journal of Agricultural Science and Technology, 2024, 26(8): 201-212. |
[6] | Yalin YANG, Fengjinglin WU, Jianxin CHEN, Ziqiang WU, Li LIU, Donghua ZHANG, Huancheng MA, Jianrong WU. Analysis on Structure and Diversity of Fungi Community in Rhizosphere Soil and Root System of Camellia oleifera Root Rot [J]. Journal of Agricultural Science and Technology, 2024, 26(7): 121-135. |
[7] | Haili LI, Yindi XU, Zhifang WANG, Wenhao ZHU, Lixian ZHANG, Chunjiang MA. Whole Genome Sequencing of Multi-drug Resistant Escherichia coli and Its Drug Resistance Analysis [J]. Journal of Agricultural Science and Technology, 2024, 26(6): 113-121. |
[8] | Linbo SHI, Qing PENG, Xiaoqing XU, Yuwei ZHANG, Shuo YANG, Dandan TIAN, Mengxin HE, Bo SHI, Yu QIAO. Effects of Co-culture of Lactobacillus casei NA-2 and Lactobacillus rhamnosus LGG on Antibacterial Activity [J]. Journal of Agricultural Science and Technology, 2024, 26(6): 63-71. |
[9] | Lanxiong ZHANG, Wei ZHENG, Yuan’an CHEN, Jing SHEN, Shuangquan ZOU, Jianrong WU, Lin NI. Study on Extraction Process and Antibacterial Activity of Lignans from Cinnamomum camphora Leaves [J]. Journal of Agricultural Science and Technology, 2024, 26(5): 138-147. |
[10] | Mengting JI, Changjiang CHEN, Liuhe LUO, Zhijian LIN, Menglin ZHAN, Bingye YANG, Fangping HU, Xueqing CAI. Pathogen Identification of Kiwi Bacterial Wilt in Fujian [J]. Journal of Agricultural Science and Technology, 2024, 26(4): 144-152. |
[11] | Pengsheng LI, Qingtai HUANG, Yongmei FAN, Meng WANG, Ye YANG. Identification of Pathogen Causing Bacterial Fruit Blotch of Melon in Hainan [J]. Journal of Agricultural Science and Technology, 2024, 26(3): 117-123. |
[12] | Wei LIU, Yuanyuan ZHAO, Xiaolong CHEN, Hongzhi SHI. Effects of Soil Moisture Content on Microbial Community Diversity and Abundance of Nitrogen Cycling Genes in Central Henan Tobacco-growing Soil [J]. Journal of Agricultural Science and Technology, 2024, 26(1): 214-225. |
[13] | Huijun LI, Weijian ZHANG, Weijian WU, Gaoyang LI, Yijie CHEN, Fengcheng HUANG, Yongxiang HUANG, Zhong LIN, Zhen ZHEN. Effects of Sea Rice on Soil Chemical Properties and Microbial Community Structure in Coastal Solonchaks [J]. Journal of Agricultural Science and Technology, 2023, 25(9): 147-156. |
[14] | Shegang SHAO, Ting LI, Yong LIU, Lanwen LIN, Dong ZHANG, Dong NI, Junjie LI, Li’an ZHU. Effects of Exogenous Promoting Bacteria Agent on Decomposition Characteristics and Microbial Community Structure of Rice Straw [J]. Journal of Agricultural Science and Technology, 2023, 25(9): 166-177. |
[15] | Xingsheng YIN, Lingfeng BAO, Yongyu PU, Jiali SUN, Qing ZHANG, Haiping LI, Mingying YANG, Yueping LIN, Huaixin WANG, Yonghong HE, Peiwen YANG. Effects of Chemical Fertilizer Reduction Combined with Bio-organic Fertilization on Tobacco Soil Characteristics and Tobacco Bacterial Wilt Control [J]. Journal of Agricultural Science and Technology, 2023, 25(7): 122-131. |
Viewed | ||||||
Full text |
|
|||||
Abstract |
|
|||||