中国农业科技导报 ›› 2022, Vol. 24 ›› Issue (5): 32-45.DOI: 10.13304/j.nykjdb.2020.1074
崔宏亮1(), 宋晓晓2, 姚庆1, 安万刚1, 邢宝3, 秦培友3(
)
收稿日期:
2020-12-17
接受日期:
2021-03-15
出版日期:
2022-05-15
发布日期:
2022-06-06
通讯作者:
崔宏亮,秦培友
作者简介:
崔宏亮 Email: chl8129@126.com基金资助:
Hongliang CUI1(), Xiaoxiao SONG2, Qing YAO1, Wangang AN1, Bao XING3, Peiyou QIN3(
)
Received:
2020-12-17
Accepted:
2021-03-15
Online:
2022-05-15
Published:
2022-06-06
Contact:
Hongliang CUI,Peiyou QIN
摘要:
为了研究伊犁河谷不同藜麦品种对盐胁迫的生理响应、评价藜麦品种耐盐性,以NXSG56、NXSG85、HP9、GY3、QA13-9共5个藜麦品种为材料,分别用50、100、150、200、250、300、350、400 mmol·L-1 NaCl溶液处理种子及幼苗,研究不同NaCl浓度对种子萌发、幼苗生长及生理指标的影响。结果表明,随NaCl浓度升高,藜麦种子发芽率、发芽势及幼苗地下部分干鲜重、叶片叶绿素含量、超氧化物歧化酶活性、胁迫初期叶片可溶性糖含量均呈先上升后下降趋势;幼苗叶片相对电导率、脯氨酸、丙二醛、Na+及后期叶片可溶性糖含量持续上升;地上部分干鲜重、纤维素及K+含量持续下降。说明各藜麦品种幼苗在受到NaCl胁迫时会通过提高渗透物质含量、增加根系吸收面积、增强超氧化物歧化酶活性等自我保护机制对抗盐胁迫。以上结果表明,NXSG85、NXSG56较其他品种耐盐,QA13-9对NaCl胁迫较敏感。
中图分类号:
崔宏亮, 宋晓晓, 姚庆, 安万刚, 邢宝, 秦培友. 伊犁河谷不同藜麦品种对盐胁迫的生理响应及耐盐评价[J]. 中国农业科技导报, 2022, 24(5): 32-45.
Hongliang CUI, Xiaoxiao SONG, Qing YAO, Wangang AN, Bao XING, Peiyou QIN. Physiological Responses of Different Quinoa Varieties to Salt Stress and Evaluation of Salt Tolerance in Yili Valley[J]. Journal of Agricultural Science and Technology, 2022, 24(5): 32-45.
指标 Index | 品种 Variety | NaCl浓度 NaCl concentration/(mmol·L-1) | ||||||||
---|---|---|---|---|---|---|---|---|---|---|
0(CK) | 50 | 100 | 150 | 200 | 250 | 300 | 350 | 400 | ||
发芽率 Germination percentage/% | NXSG56 | 100.00 a | 99.33 a | 100.00 a | 97.33 a | 93.33 a | 87.33 ab | 78.00 a | 74.00 a | 57.33 b |
NXSG85 | 98.67 a | 99.33 a | 100.00 a | 98.00 a | 94.67 a | 92.67 a | 81.33 a | 78.67 a | 67.33 a | |
HP9 | 95.33 ab | 96.67 ab | 99.33 ab | 90.67 b | 85.33 b | 82.67 bc | 67.33 b | 42.00 b | 30.67 c | |
GY3 | 84.67 c | 90.67 c | 94.00 c | 89.33 b | 81.33 b | 70.67 d | 29.33 c | 21.33 c | 18.67 d | |
QA13-9 | 93.33 b | 94.00 bc | 94.67 bc | 86.67 b | 85.33 b | 77.33 c | 18.67 d | 14.67 c | 11.33 d | |
发芽势 Germination energy/% | NXSG56 | 97.67 a | 98.00 a | 99.33 a | 94.33 a | 84.33 b | 50.67 c | 31.00 b | 17.00 b | 6.67 b |
NXSG85 | 98.00 a | 98.00 a | 99.00 a | 94.33 a | 89.67 a | 88.33 a | 55.33 a | 47.00 a | 20.00 a | |
HP9 | 85.33 b | 79.33 c | 94.00 b | 79.33 b | 50.00 d | 40.67 d | 2.00 e | 0.00 d | 0.00 d | |
GY3 | 81.33 c | 82.33 c | 83.00 c | 75.67 bc | 70.67 c | 68.00 b | 11.00 c | 8.33 c | 0.00 d | |
QA13-9 | 94.67 a | 89.33 b | 93.33 b | 75.00 c | 46.33 e | 50.33 c | 4.67 d | 0.00 d | 3.67 c | |
相对盐害率 Relative salt injury indexes/% | NXSG56 | 0.00 a | 0.67 a | 0.00 a | 2.67 ab | 6.67 a | 12.67 ab | 22.00 cd | 26.00 d | 42.67 d |
NXSG85 | 0.00 a | -0.69 a | -1.36 a | 0.68 ab | 4.07 a | 6.10 b | 17.55 d | 20.24 d | 31.71 e | |
HP9 | 0.00 a | -1.48 a | -4.26 ab | 4.88 a | 10.41 a | 13.30 ab | 29.30 c | 55.96 c | 67.78 c | |
GY3 | 0.00 a | -7.22 a | -11.05 b | -5.64 b | 3.82 a | 16.33 ab | 65.22 b | 74.75 b | 77.98 b | |
QA13-9 | 0.00 a | -0.88 a | -1.64 a | 6.94 a | 8.46 a | 16.92 a | 79.86 a | 84.22 a | 87.88 a | |
相对发芽率 Relative germination ercentage/% | NXSG56 | 100.00 a | 99.33 a | 100.00 b | 97.33 ab | 93.33 a | 87.33 ab | 78.00 ab | 74.00 a | 57.33 b |
NXSG85 | 100.00 a | 100.69 a | 101.36 b | 99.32 ab | 95.93 a | 93.90 a | 82.45 a | 79.76 a | 68.29 a | |
HP9 | 100.00 a | 101.48 a | 104.26 ab | 95.12 b | 89.59 a | 86.70 ab | 70.70 b | 44.04 b | 32.22 c | |
GY3 | 100.00 a | 107.22 a | 111.05 a | 105.64 a | 96.18 a | 83.67 ab | 34.78 c | 25.25 c | 22.02 d | |
QA13-9 | 100.00 a | 100.88 a | 101.64 b | 93.06 b | 91.54 a | 83.08 b | 20.14 d | 15.78 d | 12.12 e | |
胚根长 Radicle length/mm | NXSG56 | 41.20 a | 40.08 a | 35.19 b | 33.23 b | 31.17 b | 25.09 b | 12.40 b | 8.23 a | 5.01 b |
NXSG85 | 43.19 a | 40.31 a | 38.04 a | 37.07 a | 34.08 a | 29.54 a | 14.42 a | 9.13 a | 7.10 a | |
HP9 | 38.09 b | 35.02 b | 30.17 c | 24.96 c | 19.94 c | 14.05 c | 11.98 b | 9.14 a | 6.20 a | |
GY3 | 34.10 c | 31.14 c | 25.03 d | 21.04 d | 17.18 d | 12.08 c | 9.07 c | 5.08 b | 4.97 b | |
QA13-9 | 33.45 c | 29.65 c | 26.93 d | 19.46 d | 14.64 e | 12.18 c | 8.04 c | 6.06 b | 4.10 b | |
根长抑制率 Inhibition rate of root length/% | NXSG56 | 0.00 a | 2.53 a | 14.51 bc | 19.13 b | 24.17 b | 39.14 b | 69.93 bc | 80.03 bc | 87.84 a |
NXSG85 | 0.00 a | 6.68 a | 11.88 c | 14.11 b | 20.99 b | 31.62 c | 66.56 c | 78.83 c | 83.57 b | |
HP9 | 0.00 a | 8.09 a | 20.77 ab | 34.40 a | 47.58 a | 63.09 a | 68.50 bc | 76.02 d | 83.72 b | |
GY3 | 0.00 a | 8.61 a | 26.68 a | 38.30 a | 49.55 a | 64.61 a | 73.38 ab | 85.10 a | 85.44 b | |
QA13-9 | 0.00 a | 11.25 a | 19.34 abc | 41.79 a | 56.21 a | 63.57 a | 76.02 a | 81.88 b | 87.73 a |
表1 不同浓度NaCl处理对藜麦种子萌发的影响
Table 1 Effect of different concentration of NaCl on seed germination of quinoa
指标 Index | 品种 Variety | NaCl浓度 NaCl concentration/(mmol·L-1) | ||||||||
---|---|---|---|---|---|---|---|---|---|---|
0(CK) | 50 | 100 | 150 | 200 | 250 | 300 | 350 | 400 | ||
发芽率 Germination percentage/% | NXSG56 | 100.00 a | 99.33 a | 100.00 a | 97.33 a | 93.33 a | 87.33 ab | 78.00 a | 74.00 a | 57.33 b |
NXSG85 | 98.67 a | 99.33 a | 100.00 a | 98.00 a | 94.67 a | 92.67 a | 81.33 a | 78.67 a | 67.33 a | |
HP9 | 95.33 ab | 96.67 ab | 99.33 ab | 90.67 b | 85.33 b | 82.67 bc | 67.33 b | 42.00 b | 30.67 c | |
GY3 | 84.67 c | 90.67 c | 94.00 c | 89.33 b | 81.33 b | 70.67 d | 29.33 c | 21.33 c | 18.67 d | |
QA13-9 | 93.33 b | 94.00 bc | 94.67 bc | 86.67 b | 85.33 b | 77.33 c | 18.67 d | 14.67 c | 11.33 d | |
发芽势 Germination energy/% | NXSG56 | 97.67 a | 98.00 a | 99.33 a | 94.33 a | 84.33 b | 50.67 c | 31.00 b | 17.00 b | 6.67 b |
NXSG85 | 98.00 a | 98.00 a | 99.00 a | 94.33 a | 89.67 a | 88.33 a | 55.33 a | 47.00 a | 20.00 a | |
HP9 | 85.33 b | 79.33 c | 94.00 b | 79.33 b | 50.00 d | 40.67 d | 2.00 e | 0.00 d | 0.00 d | |
GY3 | 81.33 c | 82.33 c | 83.00 c | 75.67 bc | 70.67 c | 68.00 b | 11.00 c | 8.33 c | 0.00 d | |
QA13-9 | 94.67 a | 89.33 b | 93.33 b | 75.00 c | 46.33 e | 50.33 c | 4.67 d | 0.00 d | 3.67 c | |
相对盐害率 Relative salt injury indexes/% | NXSG56 | 0.00 a | 0.67 a | 0.00 a | 2.67 ab | 6.67 a | 12.67 ab | 22.00 cd | 26.00 d | 42.67 d |
NXSG85 | 0.00 a | -0.69 a | -1.36 a | 0.68 ab | 4.07 a | 6.10 b | 17.55 d | 20.24 d | 31.71 e | |
HP9 | 0.00 a | -1.48 a | -4.26 ab | 4.88 a | 10.41 a | 13.30 ab | 29.30 c | 55.96 c | 67.78 c | |
GY3 | 0.00 a | -7.22 a | -11.05 b | -5.64 b | 3.82 a | 16.33 ab | 65.22 b | 74.75 b | 77.98 b | |
QA13-9 | 0.00 a | -0.88 a | -1.64 a | 6.94 a | 8.46 a | 16.92 a | 79.86 a | 84.22 a | 87.88 a | |
相对发芽率 Relative germination ercentage/% | NXSG56 | 100.00 a | 99.33 a | 100.00 b | 97.33 ab | 93.33 a | 87.33 ab | 78.00 ab | 74.00 a | 57.33 b |
NXSG85 | 100.00 a | 100.69 a | 101.36 b | 99.32 ab | 95.93 a | 93.90 a | 82.45 a | 79.76 a | 68.29 a | |
HP9 | 100.00 a | 101.48 a | 104.26 ab | 95.12 b | 89.59 a | 86.70 ab | 70.70 b | 44.04 b | 32.22 c | |
GY3 | 100.00 a | 107.22 a | 111.05 a | 105.64 a | 96.18 a | 83.67 ab | 34.78 c | 25.25 c | 22.02 d | |
QA13-9 | 100.00 a | 100.88 a | 101.64 b | 93.06 b | 91.54 a | 83.08 b | 20.14 d | 15.78 d | 12.12 e | |
胚根长 Radicle length/mm | NXSG56 | 41.20 a | 40.08 a | 35.19 b | 33.23 b | 31.17 b | 25.09 b | 12.40 b | 8.23 a | 5.01 b |
NXSG85 | 43.19 a | 40.31 a | 38.04 a | 37.07 a | 34.08 a | 29.54 a | 14.42 a | 9.13 a | 7.10 a | |
HP9 | 38.09 b | 35.02 b | 30.17 c | 24.96 c | 19.94 c | 14.05 c | 11.98 b | 9.14 a | 6.20 a | |
GY3 | 34.10 c | 31.14 c | 25.03 d | 21.04 d | 17.18 d | 12.08 c | 9.07 c | 5.08 b | 4.97 b | |
QA13-9 | 33.45 c | 29.65 c | 26.93 d | 19.46 d | 14.64 e | 12.18 c | 8.04 c | 6.06 b | 4.10 b | |
根长抑制率 Inhibition rate of root length/% | NXSG56 | 0.00 a | 2.53 a | 14.51 bc | 19.13 b | 24.17 b | 39.14 b | 69.93 bc | 80.03 bc | 87.84 a |
NXSG85 | 0.00 a | 6.68 a | 11.88 c | 14.11 b | 20.99 b | 31.62 c | 66.56 c | 78.83 c | 83.57 b | |
HP9 | 0.00 a | 8.09 a | 20.77 ab | 34.40 a | 47.58 a | 63.09 a | 68.50 bc | 76.02 d | 83.72 b | |
GY3 | 0.00 a | 8.61 a | 26.68 a | 38.30 a | 49.55 a | 64.61 a | 73.38 ab | 85.10 a | 85.44 b | |
QA13-9 | 0.00 a | 11.25 a | 19.34 abc | 41.79 a | 56.21 a | 63.57 a | 76.02 a | 81.88 b | 87.73 a |
指标 Index | 取样 时间 Sampling time/d | 品种 Variety | NaCl浓度 NaCl concentration/(mmol·L-1) | ||||||||
---|---|---|---|---|---|---|---|---|---|---|---|
0(CK) | 50 | 100 | 150 | 200 | 250 | 300 | 350 | 400 | |||
地下部分鲜重 Fresh weight of under-ground part/g | 10 | NXSG56 | 0.057 9 c | 0.062 3 c | 0.070 3 b | 0.079 2 b | 0.087 5 b | 0.061 4 b | 0.050 1 b | 0.041 1 b | 0.035 0 b |
NXSG85 | 0.066 9 a | 0.080 3 a | 0.087 0 a | 0.096 3 a | 0.099 5 a | 0.072 8 a | 0.061 1 a | 0.049 2 a | 0.041 3 a | ||
HP9 | 0.061 1 b | 0.068 3 b | 0.069 1 c | 0.070 7 c | 0.074 1 c | 0.0607 b | 0.048 5 c | 0.040 2 c | 0.033 6 c | ||
GY3 | 0.057 6 c | 0.046 1 d | 0.058 7 d | 0.062 5 d | 0.068 8 d | 0.057 3 c | 0.040 5 d | 0.037 2 d | 0.030 8 d | ||
QA13-9 | 0.048 6 d | 0.040 0 e | 0.044 6 e | 0.052 6 e | 0.055 8 e | 0.050 3 d | 0.037 5 e | 0.030 2 e | 0.028 8 e | ||
15 | NXSG56 | 0.096 9 a | 0.095 4 b | 0.113 9 b | 0.145 9 b | 0.153 6 b | 0.123 9 b | 0.098 1 b | 0.081 8 b | 0.067 7 b | |
NXSG85 | 0.098 4 a | 0.099 3 a | 0.125 8 a | 0.150 2 a | 0.159 7 a | 0.135 1 a | 0.110 2 a | 0.089 3 a | 0.075 7 a | ||
HP9 | 0.086 0 b | 0.090 7 c | 0.105 4 c | 0.135 3 c | 0.139 8 c | 0.115 2 c | 0.100 3 b | 0.075 3 c | 0.055 8 d | ||
GY3 | 0.082 4 c | 0.089 7 c | 0.106 4 c | 0.121 2 d | 0.129 9 d | 0.108 5 d | 0.101 3 b | 0.065 3 d | 0.060 8 c | ||
QA13-9 | 0.080 2 c | 0.091 2 c | 0.098 2 d | 0.117 4 e | 0.129 9 d | 0.108 3 d | 0.101 3 b | 0.059 8 e | 0.054 8 d | ||
地下部分干重 Dry weight of under-ground part/g | 5 | NXSG56 | 0.003 2 bc | 0.004 1 b | 0.004 9 a | 0.006 1 b | 0.007 8 b | 0.008 6 b | 0.006 8 a | 0.005 1 b | 0.004 2 b |
NXSG85 | 0.004 3 a | 0.006 1 a | 0.005 7 a | 0.008 4 a | 0.008 9 a | 0.009 7 a | 0.007 1 a | 0.006 6 a | 0.005 1 a | ||
HP9 | 0.003 5 b | 0.004 1 b | 0.005 2 a | 0.005 9 b | 0.008 1 ab | 0.008 4 b | 0.006 4 a | 0.005 3 b | 0.004 9 ab | ||
GY3 | 0.002 5 cd | 0.003 7 b | 0.004 0 b | 0.005 5 b | 0.006 3 c | 0.007 8 b | 0.005 4 b | 0.004 8 b | 0.003 4 c | ||
QA13-9 | 0.001 8 d | 0.002 6 c | 0.003 4 b | 0.004 1 c | 0.005 7 c | 0.006 2 c | 0.004 8 b | 0.003 6 c | 0.002 1 d | ||
10 | NXSG56 | 0.007 2 b | 0.007 8 b | 0.009 3 ab | 0.010 8 b | 0.012 7 b | 0.011 3 b | 0.009 5 ab | 0.007 6 b | 0.007 1 b | |
NXSG85 | 0.008 6 a | 0.009 3 a | 0.010 1 a | 0.014 5 a | 0.013 7 a | 0.012 4 a | 0.010 3 a | 0.009 3 a | 0.008 1 a | ||
HP9 | 0.006 9 b | 0.0070 bc | 0.008 5 bc | 0.009 4 c | 0.010 9 c | 0.009 1 b | 0.008 0 c | 0.006 7 c | 0.005 8 c | ||
GY3 | 0.006 5 bc | 0.006 1 d | 0.007 8 cd | 0.009 5 c | 0.011 6 c | 0.011 1 b | 0.009 7 a | 0.008 5 a | 0.007 3 ab | ||
QA13-9 | 0.005 8 c | 0.006 8 cd | 0.007 1 d | 0.008 4 d | 0.009 8 d | 0.010 7 c | 0.008 6 ab | 0.007 2 bc | 0.005 8 c | ||
15 | NXSG56 | 0.014 8 b | 0.016 5 b | 0.016 8 b | 0.018 5 b | 0.020 5 b | 0.017 9 b | 0.015 9 b | 0.012 0 b | 0.010 2 b | |
NXSG85 | 0.018 8 a | 0.019 5 a | 0.019 7 a | 0.021 8 a | 0.027 5 a | 0.018 8 a | 0.017 9 a | 0.014 2 a | 0.012 2 a | ||
HP9 | 0.013 7 c | 0.014 5 c | 0.014 8 c | 0.017 5 c | 0.019 4 c | 0.017 1 c | 0.014 4 c | 0.011 8 c | 0.009 2 c | ||
GY3 | 0.009 7 d | 0.012 5 d | 0.014 8 c | 0.016 5 d | 0.017 0 d | 0.014 1 d | 0.010 4 d | 0.007 8 d | 0.005 5 d | ||
QA13-9 | 0.006 7 e | 0.008 5 e | 0.009 4 d | 0.010 5 e | 0.012 7 e | 0.008 7 e | 0.054 0 e | 0.004 8 e | 0.003 2 e |
表2 NaCl胁迫对不同藜麦品种幼苗生长的影响 (续表Continued)
Table 2 Effect of NaCl on biomasses of quinoa seedlings
指标 Index | 取样 时间 Sampling time/d | 品种 Variety | NaCl浓度 NaCl concentration/(mmol·L-1) | ||||||||
---|---|---|---|---|---|---|---|---|---|---|---|
0(CK) | 50 | 100 | 150 | 200 | 250 | 300 | 350 | 400 | |||
地下部分鲜重 Fresh weight of under-ground part/g | 10 | NXSG56 | 0.057 9 c | 0.062 3 c | 0.070 3 b | 0.079 2 b | 0.087 5 b | 0.061 4 b | 0.050 1 b | 0.041 1 b | 0.035 0 b |
NXSG85 | 0.066 9 a | 0.080 3 a | 0.087 0 a | 0.096 3 a | 0.099 5 a | 0.072 8 a | 0.061 1 a | 0.049 2 a | 0.041 3 a | ||
HP9 | 0.061 1 b | 0.068 3 b | 0.069 1 c | 0.070 7 c | 0.074 1 c | 0.0607 b | 0.048 5 c | 0.040 2 c | 0.033 6 c | ||
GY3 | 0.057 6 c | 0.046 1 d | 0.058 7 d | 0.062 5 d | 0.068 8 d | 0.057 3 c | 0.040 5 d | 0.037 2 d | 0.030 8 d | ||
QA13-9 | 0.048 6 d | 0.040 0 e | 0.044 6 e | 0.052 6 e | 0.055 8 e | 0.050 3 d | 0.037 5 e | 0.030 2 e | 0.028 8 e | ||
15 | NXSG56 | 0.096 9 a | 0.095 4 b | 0.113 9 b | 0.145 9 b | 0.153 6 b | 0.123 9 b | 0.098 1 b | 0.081 8 b | 0.067 7 b | |
NXSG85 | 0.098 4 a | 0.099 3 a | 0.125 8 a | 0.150 2 a | 0.159 7 a | 0.135 1 a | 0.110 2 a | 0.089 3 a | 0.075 7 a | ||
HP9 | 0.086 0 b | 0.090 7 c | 0.105 4 c | 0.135 3 c | 0.139 8 c | 0.115 2 c | 0.100 3 b | 0.075 3 c | 0.055 8 d | ||
GY3 | 0.082 4 c | 0.089 7 c | 0.106 4 c | 0.121 2 d | 0.129 9 d | 0.108 5 d | 0.101 3 b | 0.065 3 d | 0.060 8 c | ||
QA13-9 | 0.080 2 c | 0.091 2 c | 0.098 2 d | 0.117 4 e | 0.129 9 d | 0.108 3 d | 0.101 3 b | 0.059 8 e | 0.054 8 d | ||
地下部分干重 Dry weight of under-ground part/g | 5 | NXSG56 | 0.003 2 bc | 0.004 1 b | 0.004 9 a | 0.006 1 b | 0.007 8 b | 0.008 6 b | 0.006 8 a | 0.005 1 b | 0.004 2 b |
NXSG85 | 0.004 3 a | 0.006 1 a | 0.005 7 a | 0.008 4 a | 0.008 9 a | 0.009 7 a | 0.007 1 a | 0.006 6 a | 0.005 1 a | ||
HP9 | 0.003 5 b | 0.004 1 b | 0.005 2 a | 0.005 9 b | 0.008 1 ab | 0.008 4 b | 0.006 4 a | 0.005 3 b | 0.004 9 ab | ||
GY3 | 0.002 5 cd | 0.003 7 b | 0.004 0 b | 0.005 5 b | 0.006 3 c | 0.007 8 b | 0.005 4 b | 0.004 8 b | 0.003 4 c | ||
QA13-9 | 0.001 8 d | 0.002 6 c | 0.003 4 b | 0.004 1 c | 0.005 7 c | 0.006 2 c | 0.004 8 b | 0.003 6 c | 0.002 1 d | ||
10 | NXSG56 | 0.007 2 b | 0.007 8 b | 0.009 3 ab | 0.010 8 b | 0.012 7 b | 0.011 3 b | 0.009 5 ab | 0.007 6 b | 0.007 1 b | |
NXSG85 | 0.008 6 a | 0.009 3 a | 0.010 1 a | 0.014 5 a | 0.013 7 a | 0.012 4 a | 0.010 3 a | 0.009 3 a | 0.008 1 a | ||
HP9 | 0.006 9 b | 0.0070 bc | 0.008 5 bc | 0.009 4 c | 0.010 9 c | 0.009 1 b | 0.008 0 c | 0.006 7 c | 0.005 8 c | ||
GY3 | 0.006 5 bc | 0.006 1 d | 0.007 8 cd | 0.009 5 c | 0.011 6 c | 0.011 1 b | 0.009 7 a | 0.008 5 a | 0.007 3 ab | ||
QA13-9 | 0.005 8 c | 0.006 8 cd | 0.007 1 d | 0.008 4 d | 0.009 8 d | 0.010 7 c | 0.008 6 ab | 0.007 2 bc | 0.005 8 c | ||
15 | NXSG56 | 0.014 8 b | 0.016 5 b | 0.016 8 b | 0.018 5 b | 0.020 5 b | 0.017 9 b | 0.015 9 b | 0.012 0 b | 0.010 2 b | |
NXSG85 | 0.018 8 a | 0.019 5 a | 0.019 7 a | 0.021 8 a | 0.027 5 a | 0.018 8 a | 0.017 9 a | 0.014 2 a | 0.012 2 a | ||
HP9 | 0.013 7 c | 0.014 5 c | 0.014 8 c | 0.017 5 c | 0.019 4 c | 0.017 1 c | 0.014 4 c | 0.011 8 c | 0.009 2 c | ||
GY3 | 0.009 7 d | 0.012 5 d | 0.014 8 c | 0.016 5 d | 0.017 0 d | 0.014 1 d | 0.010 4 d | 0.007 8 d | 0.005 5 d | ||
QA13-9 | 0.006 7 e | 0.008 5 e | 0.009 4 d | 0.010 5 e | 0.012 7 e | 0.008 7 e | 0.054 0 e | 0.004 8 e | 0.003 2 e |
图1 NaCl胁迫对不同藜麦品种幼苗叶片相对电导率的影响注:同一NaCl浓度下不同小写字母表示在P<0.05水平差异显著。
Fig. 1 Effects of NaCl on relative conductance of quinoa seedlingsNote: Different small letters of the same NaCl concentration indicate significant difference at P<0.05 level.
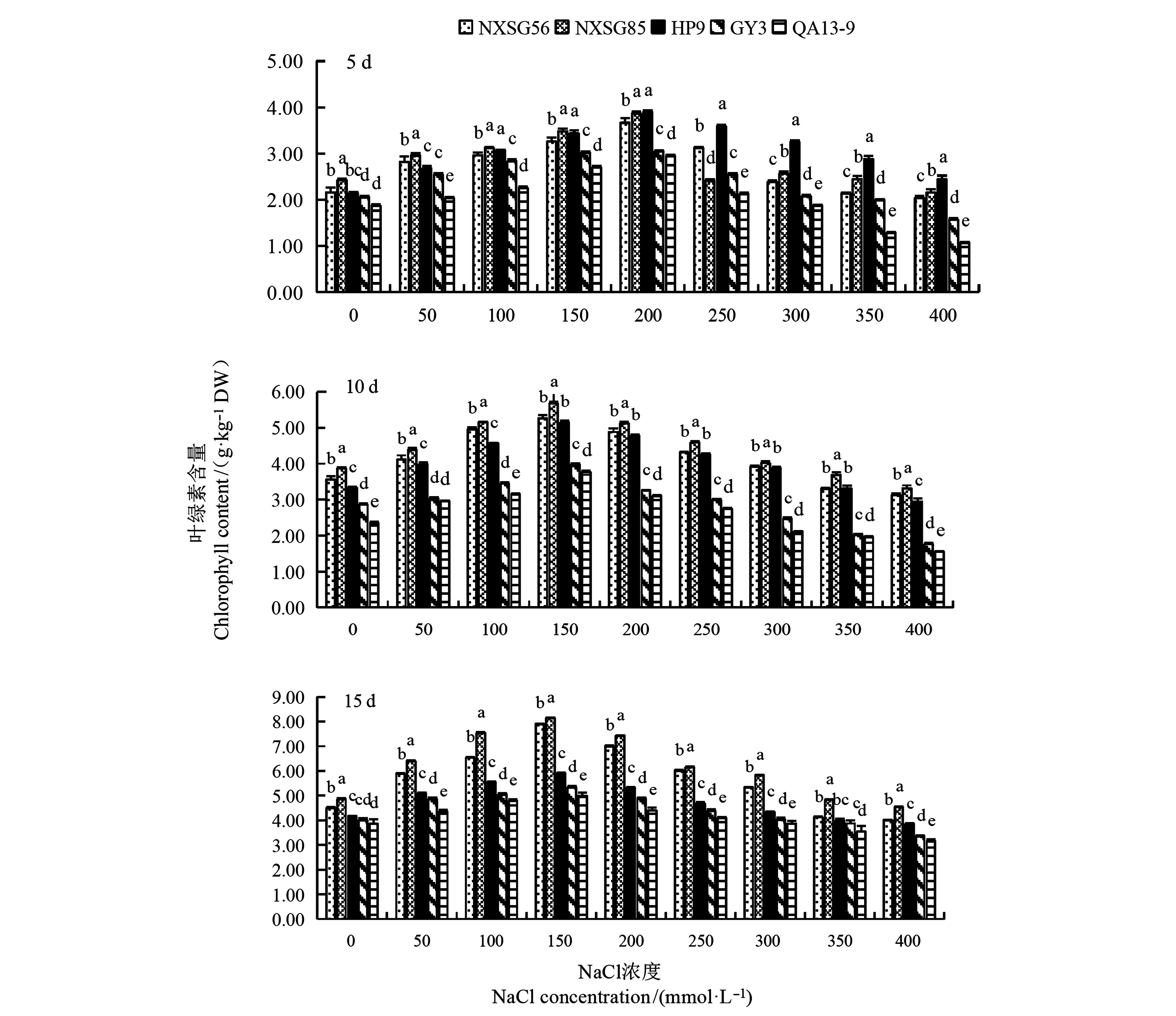
图2 NaCl胁迫对不同藜麦品种幼苗叶片叶绿素含量的影响注:同一NaCl浓度下不同小写字母表示在P<0.05水平差异显著。
Fig. 2 Effects of NaCl stress on chlorophyll contents of quinoa seedlingsNote: Different small letters of the same NaCl concentration indicate significant difference at P<0.05 level.
图3 NaCl胁迫对不同藜麦品种幼苗叶片纤维素含量的影响注:同一NaCl浓度下不同小写字母表示在P<0.05水平差异显著。
Fig. 3 Effects of NaCl stress on cellulose contents of quinoa seedlingsNote: Different small letters of the same NaCl concentration indicate significant difference at P<0.05 level.
图4 NaCl胁迫对不同藜麦品种幼苗叶片可溶性糖含量的影响注:同一NaCl浓度下不同小写字母表示在P<0.05水平差异显著。
Fig. 4 Effects of NaCl stress on soluble sugar contents of quinoa seedlingsNote: Different small letters of the same NaCl concentration indicate significant difference at P<0.05 level.
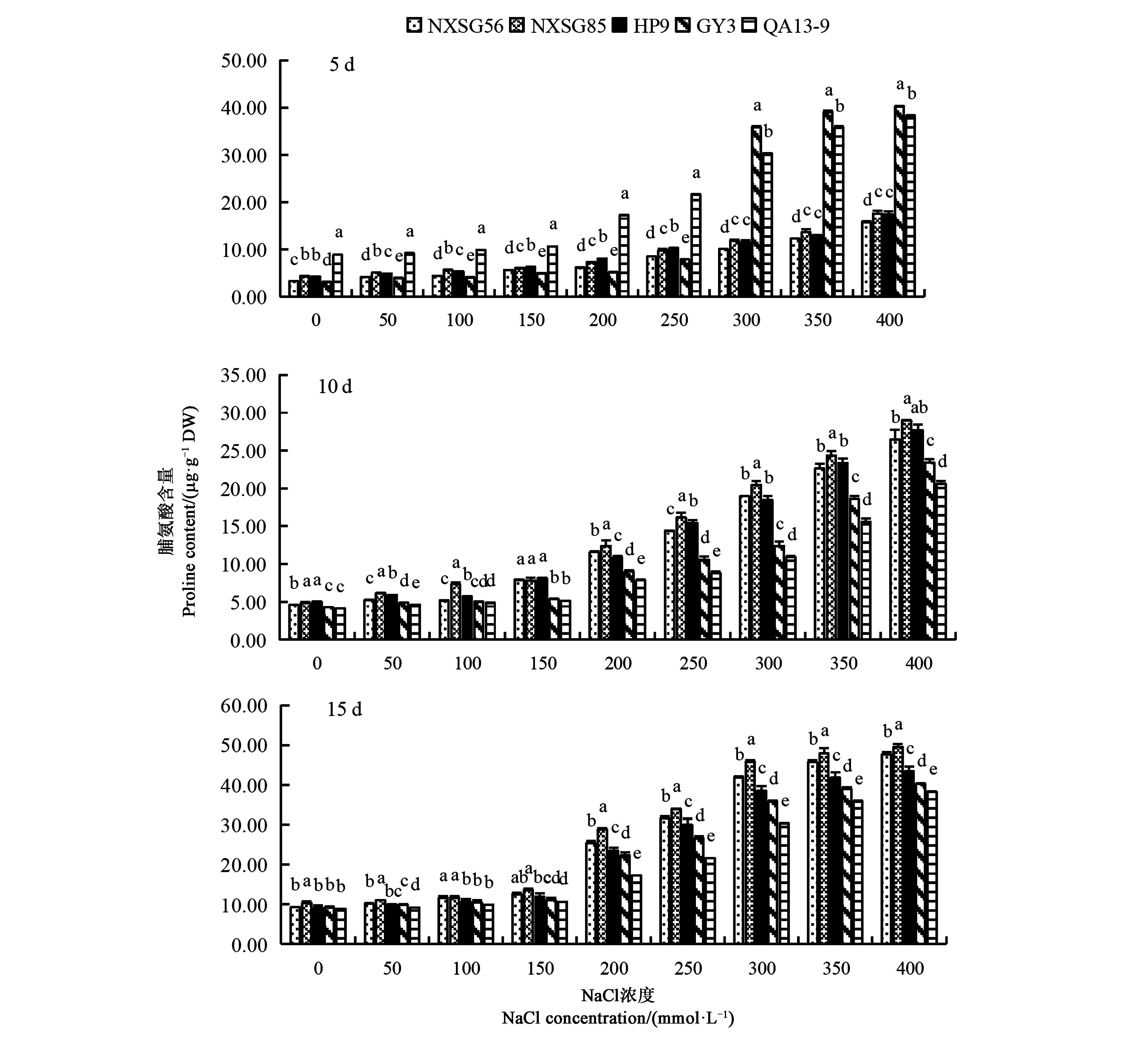
图5 NaCl胁迫对不同藜麦品种幼苗叶片脯氨酸含量的影响注:同一NaCl浓度下不同小写字母表示在P<0.05水平差异显著。
Fig. 5 Effects of NaCl stress on proline contents of quinoa seedlingsNote: Different small letters of the same NaCl concentration indicate significant difference at P<0.05 level.
指标 Index | 品种 Variety | NaCl浓度 NaCl concentration /(mmol·L-1) | ||||||||
---|---|---|---|---|---|---|---|---|---|---|
0(CK) | 50 | 100 | 150 | 200 | 250 | 300 | 350 | 400 | ||
叶片K+含量 K+ content in leaf/ (mmol·g-1) | NXSG56 | 0.90 c | 0.83 b | 0.80 b | 0.79 bc | 0.71 b | 0.58 c | 0.53 b | 0.51 b | 0.42 b |
NXSG85 | 1.04 a | 0.93 a | 0.89 a | 0.82 b | 0.79 a | 0.72 a | 0.69 a | 0.61 a | 0.47 a | |
HP9 | 0.88 c | 0.80 c | 0.79 b | 0.78 c | 0.76 a | 0.64 b | 0.51 c | 0.43 c | 0.38 c | |
GY3 | 0.97 b | 0.94 a | 0.90 a | 0.89 a | 0.78 a | 0.66 b | 0.53 c | 0.41 c | 0.35 d | |
QA13-9 | 0.88 c | 0.72 d | 0.69 c | 0.57 d | 0.60 c | 0.46 d | 0.44 d | 0.37 d | 0.33 d | |
叶片Na+含量 Na+ content in leaf/(mmol·g-1) | NXSG56 | 0.11 b | 0.15 b | 0.20 b | 0.28 b | 0.36 b | 0.47 b | 0.59 b | 0.66 b | 0.79 b |
NXSG85 | 0.16 a | 0.23 a | 0.29 a | 0.35 a | 0.46 a | 0.55 a | 0.71 a | 0.77 a | 0.88 a | |
HP9 | 0.09 bc | 0.10 c | 0.14 c | 0.19 d | 0.26 d | 0.38 c | 0.47 d | 0.53 d | 0.67 d | |
GY3 | 0.07 cd | 0.09 c | 0.12 c | 0.23 c | 0.30 c | 0.43 bc | 0.54 c | 0.59 c | 0.62 e | |
QA13-9 | 0.06 d | 0.07 d | 0.09 d | 0.10 e | 0.13 e | 0.15 d | 0.34 e | 0.58 c | 0.72 b | |
叶片K+/Na+ K+/Na+ in leaf | NXSG56 | 8.54 bc | 5.71 c | 4.03 c | 2.88 c | 2.00 d | 1.25 b | 0.90 c | 0.78 c | 0.53 c |
NXSG85 | 7.64 c | 9.15 ab | 7.62 a | 7.34 a | 6.07 a | 6.38 a | 2.61 a | 1.61 a | 1.44 a | |
HP9 | 10.15 b | 7.79 b | 5.85 b | 4.05 b | 2.94 b | 1.66 b | 1.10 b | 0.80 c | 0.57 c | |
GY3 | 14.07 a | 10.49 a | 7.57 a | 3.87 b | 2.61 c | 1.55 b | 0.98 c | 0.70 d | 0.56 c | |
QA13-9 | 2.10 d | 1.64 d | 1.51 d | 1.31 d | 1.31 c | 1.04 b | 0.98 c | 0.94 b | 1.00 b |
表3 NaCl胁迫对不同藜麦品种幼苗叶片K+、Na+含量及K+/Na+的影响
Table 3 Effect of NaCl on K+,Na+ contents and K+/Na+ of quinoa seedlings
指标 Index | 品种 Variety | NaCl浓度 NaCl concentration /(mmol·L-1) | ||||||||
---|---|---|---|---|---|---|---|---|---|---|
0(CK) | 50 | 100 | 150 | 200 | 250 | 300 | 350 | 400 | ||
叶片K+含量 K+ content in leaf/ (mmol·g-1) | NXSG56 | 0.90 c | 0.83 b | 0.80 b | 0.79 bc | 0.71 b | 0.58 c | 0.53 b | 0.51 b | 0.42 b |
NXSG85 | 1.04 a | 0.93 a | 0.89 a | 0.82 b | 0.79 a | 0.72 a | 0.69 a | 0.61 a | 0.47 a | |
HP9 | 0.88 c | 0.80 c | 0.79 b | 0.78 c | 0.76 a | 0.64 b | 0.51 c | 0.43 c | 0.38 c | |
GY3 | 0.97 b | 0.94 a | 0.90 a | 0.89 a | 0.78 a | 0.66 b | 0.53 c | 0.41 c | 0.35 d | |
QA13-9 | 0.88 c | 0.72 d | 0.69 c | 0.57 d | 0.60 c | 0.46 d | 0.44 d | 0.37 d | 0.33 d | |
叶片Na+含量 Na+ content in leaf/(mmol·g-1) | NXSG56 | 0.11 b | 0.15 b | 0.20 b | 0.28 b | 0.36 b | 0.47 b | 0.59 b | 0.66 b | 0.79 b |
NXSG85 | 0.16 a | 0.23 a | 0.29 a | 0.35 a | 0.46 a | 0.55 a | 0.71 a | 0.77 a | 0.88 a | |
HP9 | 0.09 bc | 0.10 c | 0.14 c | 0.19 d | 0.26 d | 0.38 c | 0.47 d | 0.53 d | 0.67 d | |
GY3 | 0.07 cd | 0.09 c | 0.12 c | 0.23 c | 0.30 c | 0.43 bc | 0.54 c | 0.59 c | 0.62 e | |
QA13-9 | 0.06 d | 0.07 d | 0.09 d | 0.10 e | 0.13 e | 0.15 d | 0.34 e | 0.58 c | 0.72 b | |
叶片K+/Na+ K+/Na+ in leaf | NXSG56 | 8.54 bc | 5.71 c | 4.03 c | 2.88 c | 2.00 d | 1.25 b | 0.90 c | 0.78 c | 0.53 c |
NXSG85 | 7.64 c | 9.15 ab | 7.62 a | 7.34 a | 6.07 a | 6.38 a | 2.61 a | 1.61 a | 1.44 a | |
HP9 | 10.15 b | 7.79 b | 5.85 b | 4.05 b | 2.94 b | 1.66 b | 1.10 b | 0.80 c | 0.57 c | |
GY3 | 14.07 a | 10.49 a | 7.57 a | 3.87 b | 2.61 c | 1.55 b | 0.98 c | 0.70 d | 0.56 c | |
QA13-9 | 2.10 d | 1.64 d | 1.51 d | 1.31 d | 1.31 c | 1.04 b | 0.98 c | 0.94 b | 1.00 b |
图6 NaCl胁迫对不同藜麦品种幼苗叶片MDA含量的影响注:同一NaCl浓度下不同小写字母表示在P<0.05水平差异显著。
Fig. 6 Effects of NaCl stress on MDA contents of quinoa seedlingsNote: Different small letters of the same NaCl concentration indicate significant difference at P<0.05 level.
图7 NaCl胁迫对不同藜麦品种幼苗叶片SOD活性的影响注:同一NaCl浓度下不同小写字母表示在P<0.05水平差异显著。
Fig. 7 Effects of NaCl stress on the activities of SOD of quinoa seedlingsNote: Different small letters of the same NaCl concentration indicate significant difference at P<0.05 level.
指标 Index | 取样 时间 Sampling time/d | 品种 Variety | NaCl浓度 NaCl concentration/(mmol·L-1) | ||||||||
---|---|---|---|---|---|---|---|---|---|---|---|
0(CK) | 50 | 100 | 150 | 200 | 250 | 300 | 350 | 400 | |||
地上部分鲜重 Fresh weight of above-ground part/g | 5 | NXSG56 | 1.844 2 b | 1.230 2 d | 1.120 0 d | 1.030 4 d | 0.930 0 d | 0.750 3 d | 0.611 1 e | 0.490 1 d | 0.370 1 d |
NXSG85 | 2.343 3 a | 2.049 9 a | 1.909 9 a | 1.576 7 a | 1.249 9 a | 1.020 2 a | 0.950 7 a | 0.840 2 a | 0.800 2 a | ||
HP9 | 1.820 6 c | 1.329 4 b | 1.170 0 c | 1.109 8 b | 1.050 0 b | 0.920 0 b | 0.930 0 b | 0.800 3 b | 0.720 0 b | ||
GY3 | 1.540 1 d | 1.280 1 c | 1.200 0 b | 1.080 5 c | 1.010 1 c | 0.849 9 c | 0.730 0 c | 0.530 0 c | 0.450 0 c | ||
QA13-9 | 1.320 1 e | 1.100 3 e | 1.030 0 e | 0.950 1 e | 0.870 2 e | 0.750 0 d | 0.620 0 d | 0.410 1 e | 0.250 1 e | ||
10 | NXSG56 | 2.820 0 c | 2.570 1 a | 2.120 1 c | 1.979 9 b | 1.510 1 b | 1.229 9 c | 1.010 1 b | 0.779 6 d | 0.280 0 b | |
NXSG85 | 3.920 1 a | 2.320 4 a | 3.070 1 a | 2.540 2 a | 1.970 2 a | 1.670 0 a | 1.350 1 a | 1.170 0 a | 0.890 0 a | ||
HP9 | 2.269 9 e | 2.130 0 a | 2.030 0 d | 1.780 0 c | 1.350 0 c | 1.120 1 d | 0.950 0 d | 0.590 0 b | 0.150 0 e | ||
GY3 | 2.320 0 d | 2.140 0 a | 1.950 1 e | 1.620 0 d | 1.330 1 d | 1.250 8 b | 0.998 1 c | 0.745 1 c | 0.244 9 c | ||
QA13-9 | 3.140 4 b | 3.016 0 a | 2.672 0 b | 1.581 4 e | 1.105 7 e | 0.994 0 e | 0.726 1 e | 0.372 3 e | 0.208 7 d | ||
15 | NXSG56 | 4.238 2 b | 3.861 7 a | 3.066 8 a | 2.489 5 a | 2.148 6 b | 1.598 8 b | 1.150 9 b | 0.967 8 b | 0.476 7 b | |
NXSG85 | 4.920 8 a | 3.983 3 a | 3.214 8 a | 2.483 0 a | 2.380 1 a | 1.785 5 a | 1.342 5 a | 1.268 4 a | 0.892 1 a | ||
HP9 | 3.882 7 c | 3.697 5 a | 3.126 9 a | 2.178 9 b | 2.086 6 b | 1.480 1 b | 1.132 8 b | 0.887 6 b | 0.388 4 bc | ||
GY3 | 3.532 8 d | 3.135 8 b | 3.026 2 a | 1.768 9 c | 1.016 0 c | 0.952 9 c | 0.822 1 c | 0.586 6 c | 0.296 2 cd | ||
QA13-9 | 3.146 0 e | 3.016 1 b | 2.671 0 b | 1.583 0 c | 1.105 7 c | 0.991 8 c | 0.725 9 c | 0.379 9 d | 0.207 6 d | ||
地上部分干重 Dry weight of above-ground part/g | 5 | NXSG56 | 0.134 5 c | 0.152 2 c | 0.150 2 c | 0.128 9 c | 0.118 6 b | 0.108 9 c | 0.100 0 c | 0.089 6 c | 0.052 3 c |
NXSG85 | 0.235 9 a | 0.188 8 b | 0.174 2 b | 0.145 3 b | 0.135 2 a | 0.115 1 b | 0.110 2 b | 0.102 8 b | 0.079 1 b | ||
HP9 | 0.213 6 b | 0.201 1 a | 0.184 9 a | 0.148 3 a | 0.135 3 a | 0.121 8 a | 0.120 3 a | 0.110 1 a | 0.084 2 a | ||
GY3 | 0.120 1 d | 0.123 2 d | 0.131 2 d | 0.110 2 d | 0.109 8 c | 0.105 4 d | 0.100 1 c | 0.074 4 d | 0.051 3 c | ||
QA13-9 | 0.119 4 d | 0.118 5 e | 0.109 7 e | 0.108 5 e | 0.106 4 d | 0.104 2 d | 0.097 7 d | 0.054 2 e | 0.048 3 d | ||
10 | NXSG56 | 0.245 8 c | 0.210 2 b | 0.187 5 c | 0.164 8 c | 0.123 5 d | 0.110 2 e | 0.101 0 d | 0.098 5 c | 0.065 8 c | |
NXSG85 | 0.278 4 a | 0.248 5 a | 0.213 1 a | 0.200 1 a | 0.189 4 a | 0.140 4 b | 0.121 2 b | 0.112 3 b | 0.059 8 d | ||
HP9 | 0.252 9 b | 0.247 8 a | 0.212 1 b | 0.175 8 b | 0.153 6 b | 0.145 1 a | 0.133 6 a | 0.123 9 a | 0.089 7 a | ||
GY3 | 0.215 8 d | 0.200 3 c | 0.174 6 d | 0.163 1 d | 0.130 3 c | 0.120 8 c | 0.110 9 c | 0.087 5 d | 0.068 5 b | ||
QA13-9 | 0.188 5 e | 0.160 1 d | 0.143 8 e | 0.128 6 e | 0.122 3 e | 0.114 7 d | 0.100 9 d | 0.074 5 e | 0.0538 e | ||
15 | NXSG56 | 0.534 3 a | 0.431 8 a | 0.395 7 a | 0.301 3 a | 0.256 0 a | 0.204 4 a | 0.141 4 b | 0.106 9 b | 0.073 9 c | |
NXSG85 | 0.490 1 b | 0.410 1 b | 0.350 1 b | 0.275 1 b | 0.250 1 a | 0.168 3 b | 0.149 5 a | 0.108 3 b | 0.085 0 b | ||
HP9 | 0.410 1 c | 0.303 2 c | 0.282 9 c | 0.210 4 c | 0.180 0 b | 0.163 3 b | 0.153 1 a | 0.132 6 a | 0.102 9 a | ||
GY3 | 0.290 0 d | 0.250 5 d | 0.198 7 d | 0.185 2 d | 0.159 5 c | 0.147 3 c | 0.126 0 c | 0.103 8 b | 0.087 8 b | ||
QA13-9 | 0.270 0 e | 0.230 0 e | 0.190 0 d | 0.163 4 e | 0.149 4 c | 0.129 6 d | 0.113 2 d | 0.090 2 c | 0.070 1 c | ||
地下部分鲜重 Fresh weight of under-ground part/g | 5 | NXSG56 | 0.032 4 c | 0.033 0 b | 0.031 1 c | 0.042 6 c | 0.053 8 c | 0.042 9 b | 0.035 8 c | 0.029 6 c | 0.020 3 c |
NXSG85 | 0.042 2 b | 0.049 5 a | 0.053 7 a | 0.058 9 a | 0.067 4 a | 0.056 3 a | 0.049 4 b | 0.038 1 a | 0.033 3 a | ||
HP9 | 0.043 5 a | 0.048 8 a | 0.052 1 b | 0.054 3 b | 0.065 1 b | 0.057 0 a | 0.051 4 a | 0.036 4 b | 0.031 0 b | ||
GY3 | 0.028 5 d | 0.028 2 c | 0.030 6 c | 0.041 5 d | 0.048 5 d | 0.035 7 e | 0.030 3 d | 0.024 4 d | 0.019 8 c | ||
QA13-9 | 0.021 5 e | 0.023 7 d | 0.029 3 d | 0.032 7 e | 0.041 4 e | 0.032 8 d | 0.029 4 e | 0.020 2 e | 0.017 5 d |
表2 NaCl胁迫对不同藜麦品种幼苗生长的影响
Table 2 Effect of NaCl on biomasses of quinoa seedlings
指标 Index | 取样 时间 Sampling time/d | 品种 Variety | NaCl浓度 NaCl concentration/(mmol·L-1) | ||||||||
---|---|---|---|---|---|---|---|---|---|---|---|
0(CK) | 50 | 100 | 150 | 200 | 250 | 300 | 350 | 400 | |||
地上部分鲜重 Fresh weight of above-ground part/g | 5 | NXSG56 | 1.844 2 b | 1.230 2 d | 1.120 0 d | 1.030 4 d | 0.930 0 d | 0.750 3 d | 0.611 1 e | 0.490 1 d | 0.370 1 d |
NXSG85 | 2.343 3 a | 2.049 9 a | 1.909 9 a | 1.576 7 a | 1.249 9 a | 1.020 2 a | 0.950 7 a | 0.840 2 a | 0.800 2 a | ||
HP9 | 1.820 6 c | 1.329 4 b | 1.170 0 c | 1.109 8 b | 1.050 0 b | 0.920 0 b | 0.930 0 b | 0.800 3 b | 0.720 0 b | ||
GY3 | 1.540 1 d | 1.280 1 c | 1.200 0 b | 1.080 5 c | 1.010 1 c | 0.849 9 c | 0.730 0 c | 0.530 0 c | 0.450 0 c | ||
QA13-9 | 1.320 1 e | 1.100 3 e | 1.030 0 e | 0.950 1 e | 0.870 2 e | 0.750 0 d | 0.620 0 d | 0.410 1 e | 0.250 1 e | ||
10 | NXSG56 | 2.820 0 c | 2.570 1 a | 2.120 1 c | 1.979 9 b | 1.510 1 b | 1.229 9 c | 1.010 1 b | 0.779 6 d | 0.280 0 b | |
NXSG85 | 3.920 1 a | 2.320 4 a | 3.070 1 a | 2.540 2 a | 1.970 2 a | 1.670 0 a | 1.350 1 a | 1.170 0 a | 0.890 0 a | ||
HP9 | 2.269 9 e | 2.130 0 a | 2.030 0 d | 1.780 0 c | 1.350 0 c | 1.120 1 d | 0.950 0 d | 0.590 0 b | 0.150 0 e | ||
GY3 | 2.320 0 d | 2.140 0 a | 1.950 1 e | 1.620 0 d | 1.330 1 d | 1.250 8 b | 0.998 1 c | 0.745 1 c | 0.244 9 c | ||
QA13-9 | 3.140 4 b | 3.016 0 a | 2.672 0 b | 1.581 4 e | 1.105 7 e | 0.994 0 e | 0.726 1 e | 0.372 3 e | 0.208 7 d | ||
15 | NXSG56 | 4.238 2 b | 3.861 7 a | 3.066 8 a | 2.489 5 a | 2.148 6 b | 1.598 8 b | 1.150 9 b | 0.967 8 b | 0.476 7 b | |
NXSG85 | 4.920 8 a | 3.983 3 a | 3.214 8 a | 2.483 0 a | 2.380 1 a | 1.785 5 a | 1.342 5 a | 1.268 4 a | 0.892 1 a | ||
HP9 | 3.882 7 c | 3.697 5 a | 3.126 9 a | 2.178 9 b | 2.086 6 b | 1.480 1 b | 1.132 8 b | 0.887 6 b | 0.388 4 bc | ||
GY3 | 3.532 8 d | 3.135 8 b | 3.026 2 a | 1.768 9 c | 1.016 0 c | 0.952 9 c | 0.822 1 c | 0.586 6 c | 0.296 2 cd | ||
QA13-9 | 3.146 0 e | 3.016 1 b | 2.671 0 b | 1.583 0 c | 1.105 7 c | 0.991 8 c | 0.725 9 c | 0.379 9 d | 0.207 6 d | ||
地上部分干重 Dry weight of above-ground part/g | 5 | NXSG56 | 0.134 5 c | 0.152 2 c | 0.150 2 c | 0.128 9 c | 0.118 6 b | 0.108 9 c | 0.100 0 c | 0.089 6 c | 0.052 3 c |
NXSG85 | 0.235 9 a | 0.188 8 b | 0.174 2 b | 0.145 3 b | 0.135 2 a | 0.115 1 b | 0.110 2 b | 0.102 8 b | 0.079 1 b | ||
HP9 | 0.213 6 b | 0.201 1 a | 0.184 9 a | 0.148 3 a | 0.135 3 a | 0.121 8 a | 0.120 3 a | 0.110 1 a | 0.084 2 a | ||
GY3 | 0.120 1 d | 0.123 2 d | 0.131 2 d | 0.110 2 d | 0.109 8 c | 0.105 4 d | 0.100 1 c | 0.074 4 d | 0.051 3 c | ||
QA13-9 | 0.119 4 d | 0.118 5 e | 0.109 7 e | 0.108 5 e | 0.106 4 d | 0.104 2 d | 0.097 7 d | 0.054 2 e | 0.048 3 d | ||
10 | NXSG56 | 0.245 8 c | 0.210 2 b | 0.187 5 c | 0.164 8 c | 0.123 5 d | 0.110 2 e | 0.101 0 d | 0.098 5 c | 0.065 8 c | |
NXSG85 | 0.278 4 a | 0.248 5 a | 0.213 1 a | 0.200 1 a | 0.189 4 a | 0.140 4 b | 0.121 2 b | 0.112 3 b | 0.059 8 d | ||
HP9 | 0.252 9 b | 0.247 8 a | 0.212 1 b | 0.175 8 b | 0.153 6 b | 0.145 1 a | 0.133 6 a | 0.123 9 a | 0.089 7 a | ||
GY3 | 0.215 8 d | 0.200 3 c | 0.174 6 d | 0.163 1 d | 0.130 3 c | 0.120 8 c | 0.110 9 c | 0.087 5 d | 0.068 5 b | ||
QA13-9 | 0.188 5 e | 0.160 1 d | 0.143 8 e | 0.128 6 e | 0.122 3 e | 0.114 7 d | 0.100 9 d | 0.074 5 e | 0.0538 e | ||
15 | NXSG56 | 0.534 3 a | 0.431 8 a | 0.395 7 a | 0.301 3 a | 0.256 0 a | 0.204 4 a | 0.141 4 b | 0.106 9 b | 0.073 9 c | |
NXSG85 | 0.490 1 b | 0.410 1 b | 0.350 1 b | 0.275 1 b | 0.250 1 a | 0.168 3 b | 0.149 5 a | 0.108 3 b | 0.085 0 b | ||
HP9 | 0.410 1 c | 0.303 2 c | 0.282 9 c | 0.210 4 c | 0.180 0 b | 0.163 3 b | 0.153 1 a | 0.132 6 a | 0.102 9 a | ||
GY3 | 0.290 0 d | 0.250 5 d | 0.198 7 d | 0.185 2 d | 0.159 5 c | 0.147 3 c | 0.126 0 c | 0.103 8 b | 0.087 8 b | ||
QA13-9 | 0.270 0 e | 0.230 0 e | 0.190 0 d | 0.163 4 e | 0.149 4 c | 0.129 6 d | 0.113 2 d | 0.090 2 c | 0.070 1 c | ||
地下部分鲜重 Fresh weight of under-ground part/g | 5 | NXSG56 | 0.032 4 c | 0.033 0 b | 0.031 1 c | 0.042 6 c | 0.053 8 c | 0.042 9 b | 0.035 8 c | 0.029 6 c | 0.020 3 c |
NXSG85 | 0.042 2 b | 0.049 5 a | 0.053 7 a | 0.058 9 a | 0.067 4 a | 0.056 3 a | 0.049 4 b | 0.038 1 a | 0.033 3 a | ||
HP9 | 0.043 5 a | 0.048 8 a | 0.052 1 b | 0.054 3 b | 0.065 1 b | 0.057 0 a | 0.051 4 a | 0.036 4 b | 0.031 0 b | ||
GY3 | 0.028 5 d | 0.028 2 c | 0.030 6 c | 0.041 5 d | 0.048 5 d | 0.035 7 e | 0.030 3 d | 0.024 4 d | 0.019 8 c | ||
QA13-9 | 0.021 5 e | 0.023 7 d | 0.029 3 d | 0.032 7 e | 0.041 4 e | 0.032 8 d | 0.029 4 e | 0.020 2 e | 0.017 5 d |
1 | 杨少辉, 季静, 王罡,等. 盐胁迫对植物影响的研究进展[J]. 分子植物育种, 2006,4(3):139-142. |
YANG S H, JI J, WANG G,et al.. Effect of salt stress on the plant [J]. Mol. Plant Breeding, 2006,4(3):139-142. | |
2 | 周海涛, 刘浩, 么杨,等. 藜麦在张家口地区试种的表现与评价[J]. 植物遗传资源学报, 2014,15(1):222-227. |
ZHOU H T, LIU H, YAO Y, et al.. Evaluation of agronomic and quality characters of quinoa cultivated in Zhangjiakou [J]. J. Plant Genet. Resour., 2014,15(1):222-227. | |
3 | PRADO F E, BOERO C, GALLARDO M, et al.. Effect of NaCl on germination, growth, and soluble sugar content in Chenopodium quinoa Willd. seeds [J]. Bot. Bull. Academia Sin., 2000,41(1):27-34. |
4 | 刘凤岐, 刘杰琳, 朱瑞芬, 等. 4种燕麦对NaCl胁迫的生理响应及耐盐性评价[J]. 草业学报, 2015, 24(1):183-189. |
LIU F Q, LIU J L, ZHU R F, et al.. Physiological responses and tolerance of four varieties to salt stress [J]. Acta Pratac. Sin., 2015, 24(1):183-189. | |
5 | 张利霞, 常青山, 侯小改, 等. 不同钠盐胁迫对夏枯草种子萌发特性的影响[J]. 草业学报, 2015,24(3):177-185. |
ZHANG L X, CHANG Q S, HOU X G, et al.. Effects of sodium salt stress on seed germination of Prunella vulgares [J].Acta Pratac. Sin., 2015,24(3):177-185. | |
6 | 李合生. 植物生理生化实验原理与技术[M].北京:高等教育出版社, 2000:169-184. |
7 | 侯建华, 于海峰, 安玉麟. 盐分胁迫对向日葵 K+ 、Na+吸收与分配的影响[J].华北农学报, 2013, 28(2): 139-143. |
HOU J H, YU H F, AN Y L. Research on changing of K+, Na+of sunflower under salinity stress [J]. Acta Agric. Boreali-Sin., 2013, 28(2): 139-143. | |
8 | 遆晋松, 童文杰, 周媛媛,等. 河套灌区向日葵耐盐指标评价[J]. 中国生态农业学报, 2014, 22(2): 177-184. |
TI J S, TONG W J, ZHOU Y Y, et al.. Evaluation of salinity tolerance index of sunflower in Hetao irrigation district [J]. Chin. J. Eco-Agric., 2014, 22(2): 177-184. | |
9 | 谢英赞,何平,王朝英,等. 外源 Ca2+,SA, NO对盐胁迫下决明幼苗生理特性的影响[J]. 西南大学学报(自然科学版), 2013,35(3):36-43. |
XIE Y Z, HE P, WANG C Y, et al.. Effects of Ca2+,SA, NO on physical signs of cassiae seedlings [J]. J. Southwest Univ. (Nat. Sci.), 2013,35(3):36-43. | |
10 | 马红媛, 梁正伟, 孔祥军, 等. 盐分、温度及其互作对羊草种子发芽率和幼苗生长的影响[J]. 生态学报, 2008, 28(10): 4710-4717. |
MA H Y, LIANG Z W, KONG X J, et al.. Effects of salinity, temperature and their interaction on the germination percentage and seedling growth of Leymus chinensis (Trin.) Tzvel. (Poaceae)[J]. Acta Ecol. Sin., 2008, 28(10):4710-4717. | |
11 | MACKE A J, UNGER I A. The effect of salinity on germination and early growth of Puccinella nuttallinana [J]. Canadian J. Bot., 1971,49:515-520. |
12 | 王飞, 刘世增, 刘有军. 沙地云杉和青海云杉种子萌发和幼苗生长对干旱盐碱胁迫的响应[J]. 西北植物学报, 2014,34(11):2309-2316. |
WANG F, LIU S Z, LIU Y J. Response of Picea mongolica and Picea crassiflia seed germination and seedling growth to drought and salt stress [J]. Acta Bot. Bor-Occid. Sin., 2014,34(11):2309-2316. | |
13 | 杨发荣, 刘文瑜, 黄杰, 等. 不同藜麦品种对盐胁迫的生理响应及耐盐评价[J]. 草业学报, 2017, 26(12):77-88. |
YANG F R, LIU W Y, HUANG J,et al.. Physiological responses of different quinoa varieties to salt stress and evaluation of salt tolerance [J]. Acta Pratac. Sin., 2017, 26(12):77-88. | |
14 | 宋旭丽, 侯喜林, 胡春梅, 等. NaCl胁迫对超大甜椒种子萌发和幼苗生长的影响[J]. 西北植物学报, 2011, 31(3):569-575. |
SONG X L, HOU X L, HU C M, et al.. Seed germination and seedling growth of sweet pepper under NaCl stress [J]. Acta Bot. Bor-Occid. Sin., 2011, 31(3):569-575. | |
15 | 马琳. NaCl胁迫对牧草种子萌发与幼苗生理生化的影响及耐盐性评价[D]. 山东泰安: 山东农业大学, 2010. |
MA L. Effects of NaCl stress on seed germination and seedling physiology and biochemistry and evaluation of salt tolerance [D]. Shandong Taian: Shandong Agricultural University, 2010. | |
16 | 翁锦周, 林江波, 林加耕, 等. 盐胁迫对桉树幼苗的生长及叶绿素含量的影响[J].热带作物学报, 2007, 28(4):15-20. |
WENG J Z, LIN J B, LIN J G, et al.. Effects of salt stress on the growth and chlorophyll content of eucalyptus robusta Smith seedlings [J]. Chin. J. Trop. Crops, 2007, 28(4):15-20. | |
17 | 刘晓青. NaCl胁迫对藜麦种子萌发和幼苗生理生化特性的影响[D].合肥:安徽农业大学,2016. |
LIU X Q. Effects of NaCl stress on seed germination and physiological and biochemical characteristics of quinoa seedlings [D]. Hefei: Anhui Agricultural University,2016. | |
18 | 柯玉琴, 潘廷国. NaCl胁迫对甘薯叶片叶绿体超微结构及一些酶活性的影响[J]. 植物生理学报, 1999, 25(3):229-233,315-316. |
KE Y Q, PAN T G. Effects of NaCl stress on chlorophyll ultrastructure and enzyme activities of sweet potato leaves [J]. Acta Phytophysiol. Sin., 1999, 25(3):229-233,315-316. | |
19 | LI M, ZHANG J, LI Y J. Effects of salt stress on physiological indexes of Osier variety L0911 [J]. Acta Agric. Jiangxi, 2012,24(8):56-58. |
20 | 刘雅辉, 王秀萍, 张国新, 等. 棉花苗期耐盐生理指标的筛选及综合评价[J].中国农学通报, 2012, 28(6):73-78. |
LIU Y H, WANG X P, ZHANG G X, et al.. Study on selection of physiological indices for salt tolerance and comprehensive evaluation of cotton during seedling stage [J]. Chin. Agric. Sci. Bull., 2012, 28(6):73-78. | |
21 | KIM S W, JEONG H J, JUNG K H. Integrating omics analysis of salt stress - responsive genes in rice [J]. Genes Genomics,2015,37(8):645-655. |
22 | 刘自刚, 王志江, 方圆, 等. NaCl胁迫对白菜型冬油菜种子萌发和幼苗生理的影响[J]. 中国油料作物学报, 2017,39(3) :351-359. |
LIU Z G, WANG Z J, FANG Y, et al.. Effect of salt stress on seed germination and seedling physiology of winter rapeseed (Brassica rapa L.) [J]. Chin. J. Oil Crop Sci.,2017,39(3) :351-359. | |
23 | 高俊凤. 植物生理学实验技术[M]. 北京:高等教育出版社, 2010:101-103. |
24 | 朱红霞, 郭晖, 张家洋. NaCl 胁迫对龟背竹生理生化特性的影响[J]. 河南农业科学, 2016, 45(9): 98-101, 106. |
ZHU H X, GUO H, ZHANG J Y. Effect of NaCl stress on physiological and biochemical characteristics of M. deliciosa Liebm [J]. J. Henan Agric. Sci., 2016,45(9):98-101, 106. | |
25 | 周丽, 郎多勇, 张文晋, 等. NaCl 胁迫对银柴胡生长及生理生化特性的影响[J]. 中草药, 2014,45(19):2829-2833. |
ZHOU L, LANG D Y, ZHANG W J,et al.. Effect of NaCl stress on growth and physiological-biochemical characteristics of Stellaria dichotoma [J]. Chin. Traditional Herbal Drugs, 2014, 45(19):2829-2833. |
[1] | 刘雪晴, 王静, 阳宜, 吴慧琴, 王延宏, 王麓尧, 路佳伟, 张凯璇, 翟源, 成妍. 外源乙烯利对色素辣椒脱叶及产量的影响[J]. 中国农业科技导报, 2025, 27(8): 36-46. |
[2] | 薛新伟, 刘丹, 张姼, 韩雯毓, 穆安康, 于智坤, 杨帆, 温雅辉, 张家林, 张永平, 王显瑞. 86份谷子种质资源萌发期抗旱性综合评价及筛选[J]. 中国农业科技导报, 2025, 27(6): 39-51. |
[3] | 毛桃桃, 赵小强, 柏小栋, 余斌. 低温胁迫对玉米幼苗光合性能、抗氧化酶系统及相关基因表达的影响[J]. 中国农业科技导报, 2025, 27(5): 49-60. |
[4] | 侯晓晴, 姜子豪, 富洋, 宋忠振, 俞志敏. 鞘氨醇单胞菌胞外多糖的组成结构及其对大麦幼苗的促生作用[J]. 中国农业科技导报, 2025, 27(4): 201-208. |
[5] | 董志多, 付秋萍, 黄建, 祁通, 付彦博, 开赛尔·库尔班. 新疆棉花萌发期的耐盐能力分析[J]. 中国农业科技导报, 2025, 27(4): 57-67. |
[6] | 王宁宁, 罗雪梅, 陈明媛, 郭睿, 刘建国. 外源褪黑素对盐旱复合胁迫下油莎豆种子萌发和幼苗生长的影响[J]. 中国农业科技导报, 2025, 27(2): 51-61. |
[7] | 张余莽, 陈贵娟, 常洪艳, 王永恒, 刘淑霞, 应允秀. 水分胁迫下新型土壤保水剂对玉米苗期发育的影响[J]. 中国农业科技导报, 2025, 27(1): 201-210. |
[8] | 张燕红, 郭占斌, 刘瑞香. 50份藜麦种质资源农艺性状的综合分析与评价[J]. 中国农业科技导报, 2024, 26(6): 45-54. |
[9] | 杨招娣, 郭凤根, 王仕玉, 刘正杰, 龙雯虹. 植物生长抑制剂对藜麦农艺性状和穗发芽抗性的影响[J]. 中国农业科技导报, 2024, 26(5): 44-51. |
[10] | 丰扬, 郭凤根, 王仕玉, 刘正杰, 龙雯虹. 藜麦CqGAI基因密码子偏好性与进化分析[J]. 中国农业科技导报, 2024, 26(4): 27-36. |
[11] | 魏茜雅, 林欣琪, 梁腊梅, 秦中维, 李映志. 褪黑素引发对干旱胁迫下辣椒种子萌发和幼苗生长的影响[J]. 中国农业科技导报, 2024, 26(4): 46-57. |
[12] | 张景云, 关峰, 石博, 万新建. 小麦根系分泌物对苦瓜幼苗生长及土壤生物学环境的影响[J]. 中国农业科技导报, 2024, 26(2): 181-190. |
[13] | 何源, 谷晓童, 冯莉情, 段会军, 陶勇生. 玉米苗期和萌发期抗旱指数筛选及评价[J]. 中国农业科技导报, 2024, 26(10): 30-40. |
[14] | 邓玉荣, 韩联, 王金龙, 韦兴翰, 王旭东, 赵颖, 魏小红, 李朝周. 藜麦SOD家族基因的鉴定及其对混合盐碱胁迫的响应[J]. 中国农业科技导报, 2024, 26(1): 28-39. |
[15] | 钟鹏, 苗丽丽, 王建丽, 刘杰, 王晓龙. 油莎豆种质资源低温胁迫生理响应与耐寒性评价[J]. 中国农业科技导报, 2023, 25(9): 83-96. |
阅读次数 | ||||||
全文 |
|
|||||
摘要 |
|
|||||