中国农业科技导报 ›› 2024, Vol. 26 ›› Issue (4): 46-57.DOI: 10.13304/j.nykjdb.2022.0893

• 生物技术 生命科学 • 上一篇    下一篇

褪黑素引发对干旱胁迫下辣椒种子萌发和幼苗生长的影响

魏茜雅(), 林欣琪, 梁腊梅, 秦中维, 李映志()   

  1. 广东海洋大学滨海农学院,广东 湛江 524088
  • 收稿日期:2022-10-24 接受日期:2022-12-26 出版日期:2024-04-15 发布日期:2024-04-23
  • 通讯作者: 李映志
  • 作者简介:魏茜雅 E-mail:1534536534@qq.com
  • 基金资助:
    广东海洋大学创新强校项目(GDOU2013050217)

Effects of Melatonin on Seed Germination and Seedling Growth of Chaotian Pepper Under Drought Stress

Qianya WEI(), Xinqi LIN, Lamei LIANG, Zhongwei QIN, Yingzhi LI()   

  1. Binhai Agricultural College,Guangdong Ocean University,Guangdong Zhanjiang 524088,China
  • Received:2022-10-24 Accepted:2022-12-26 Online:2024-04-15 Published:2024-04-23
  • Contact: Yingzhi LI

摘要:

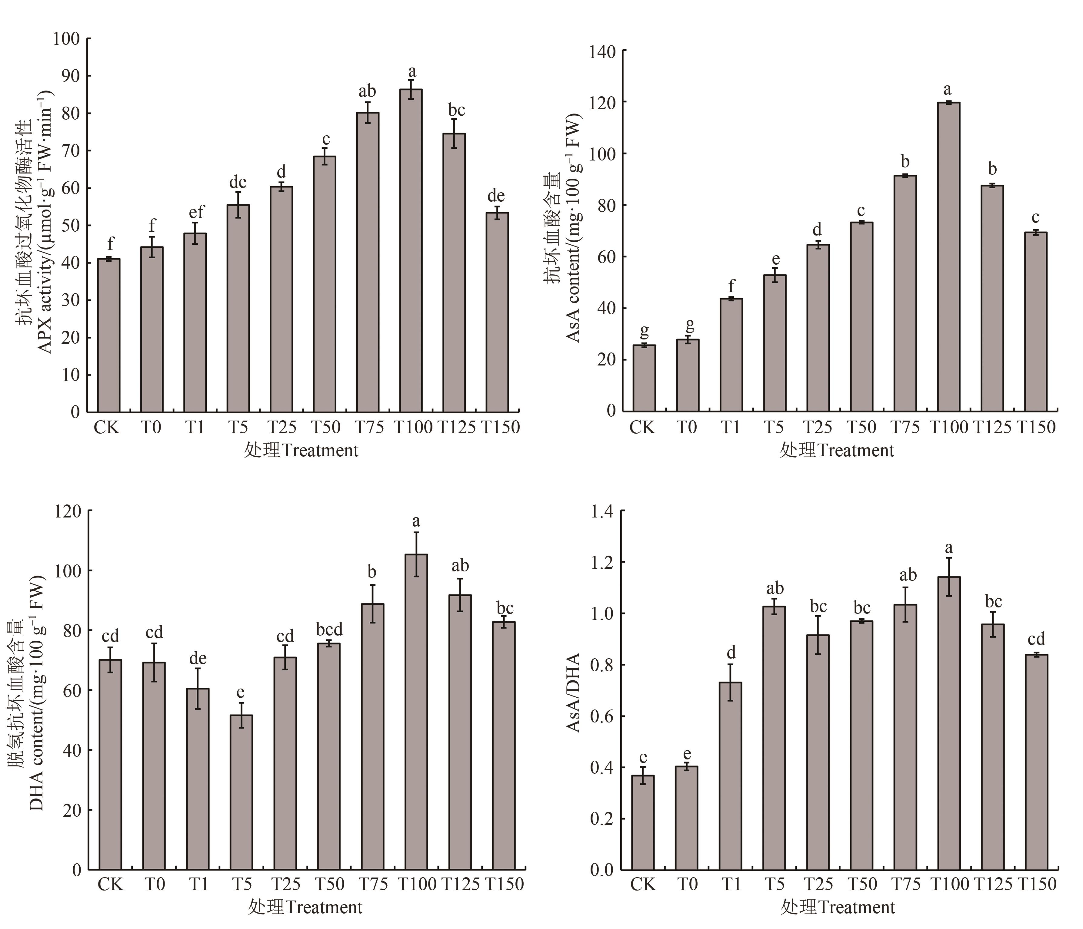
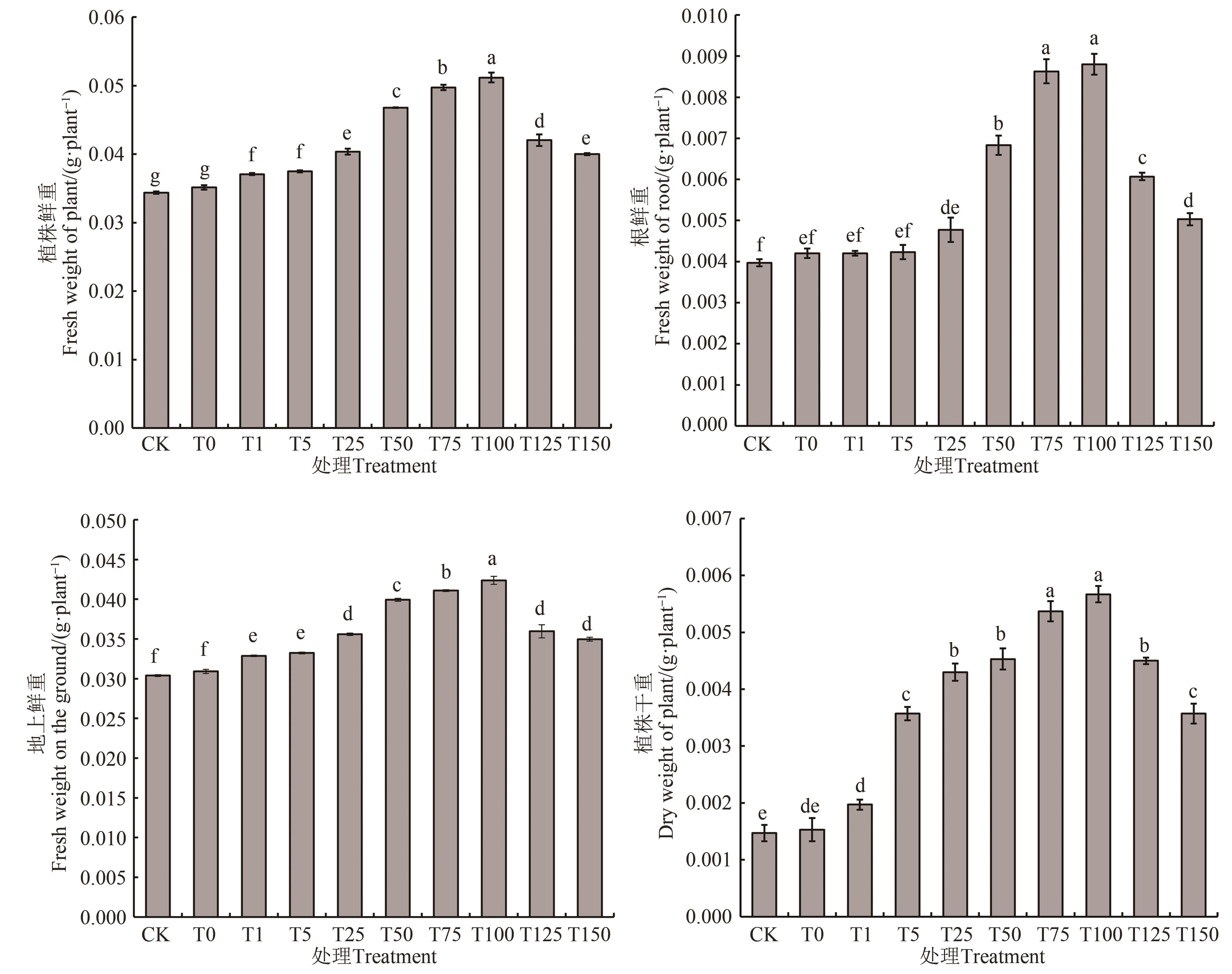
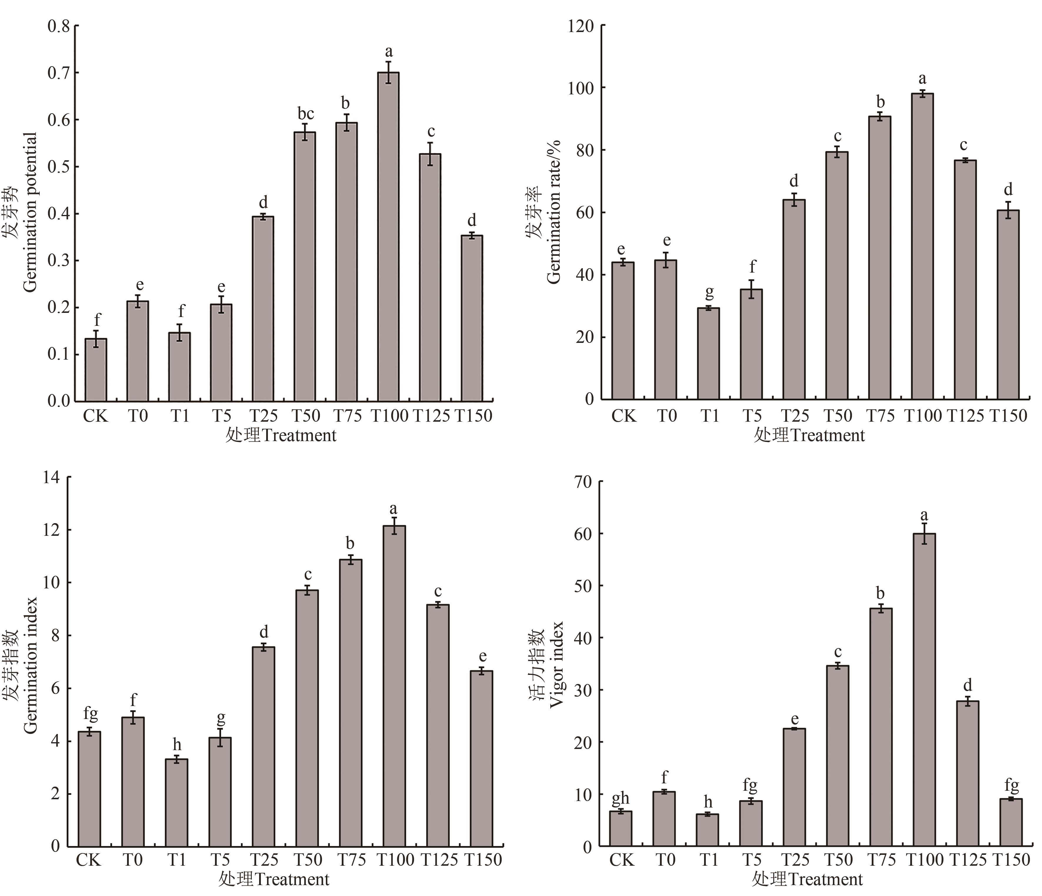
为提高干旱胁迫下朝天椒种子的萌发势和幼苗生长势,采用1、5、25、50、75、100、125、150 μmol·L-1的褪黑素溶液对朝天椒种子进行引发处理,用10% PEG溶液模拟水分胁迫,分析朝天椒种子萌发和幼苗生长状况及其生理变化。结果表明,与未引发种子相比,100 μmol·L-1褪黑素溶液引发的朝天椒种子在干旱胁迫下发芽势、发芽率、发芽指数和活力指数显著增加425.01%、122.73%、178.55%和796.93%;干旱胁迫下朝天椒幼苗的全长、根长、株高、鲜重、根鲜重、地上鲜重和植株干重显著增加146.70%、221.74%、70.00%、48.88%、121.66%、39.38%和285.71%。生理分析表明,100 μmol·L-1褪黑素溶液引发的种子的过氧化氢酶(catalase,CAT)活性、抗坏血酸过氧化物酶(ascorbate peroxidase,APX)活性和可溶性糖(soluble sugar,SS)含量最高,丙二醛(malondialdehyde,MDA)和过氧化氢(hydrogen peroxide,H2O2)含量最小;100 μmol·L-1褪黑素引发的种子在干旱胁迫下萌发后,幼苗的过氧化物酶(peroxidase,POD)活性、CAT活性、APX活性、SS、可溶性蛋白(soluble protein,SP)和脯氨酸(proline,Pro)含量最大;MDA和活性氧类(reactive oxygen species,ROS)含量最低。以上结果表明,使用100 μmol·L-1的褪黑素溶液对朝天椒种子进行引发处理,能够促进种子在干旱胁迫下的萌发和生长。研究结果可为朝天椒耐旱栽培和育种提供参考。

关键词: 干旱胁迫, 朝天椒, 褪黑素, 幼苗生长

Abstract:

In order to improve the seed germination and seedling growth of Chaotian pepper under drought stress, 1, 5, 25, 50, 75, 100, 125, 150 μmol·L-1 of melatonin solution were used to initiate the treatment of Chaotian pepper seeds, and 10% PEG solution was used to simulate water stress, and the seed germination, seedling growth and physiological changes of Chaotian pepper were analyzed. The results showed that 100 μmol·L-1 melatonin solution significantly increased the germination potential, germination rate, germination index and vigor index of the seeds under drought stress, which were increased by 425.01%, 122.73%, 178.55% and 796.93%, respectively, compared with the seeds without initiation. 100 μmol·L-1 melatonin solution could significantly increase the plant length, root length, above ground height, fresh weight, root fresh weight, above ground fresh weight and plant dry weight of Chaotian pepper seedlings under drought stress,which were increased by 146.70%, 221.74%, 70.00%, 48.88%, 121.66%, 39.38% and 285.71%, respectively,compared with the seeds without initiation. Physiological analysis showed that the catalase (CAT) activity, ascorbate peroxidase (APX) activity, and soluble sugar(SS) content of seeds induced by 100 μmol·L-1 melatonin solution were the highest, while malondialdehyde (MDA) and hydrogen peroxide (H2O2) contents were the lowest. After germination of seeds induced by 100 μmol·L-1 melatonin under drought stress, the highest levels of peroxidase (POD) activity, CAT activity, APX activity, SS, soluble protein (SP), and proline (Pro) contents were observed in the seedlings; MDA and reactive oxygen species (ROS) had the lowest content. Above results indicated that using 100 μmol·L-1 melatonin solution could induce the germination and growth of Chaotian pepper seeds under drought stress, which provided reference for drought resistant cultivation and breeding of Chaotian pepper.

Key words: drought stress, chaotian pepper, melatonin, seedling growth

中图分类号: