中国农业科技导报 ›› 2024, Vol. 26 ›› Issue (11): 66-78.DOI: 10.13304/j.nykjdb.2023.0426
刘化冰1(), 党伟2, 李奇1, 张晓兵1, 徐志强1, 钟永健1, 任志广1, 张勇刚1, 袁凯龙1, 杨浩1, 王辉1(
), 孙聚涛2(
)
收稿日期:
2023-06-02
接受日期:
2023-11-07
出版日期:
2024-11-15
发布日期:
2024-11-19
通讯作者:
王辉,孙聚涛
作者简介:
刘化冰E-mail:liuhuabing@zjtobacco.com
基金资助:
Huabing LIU1(), Wei DANG2, Qi LI1, Xiaobing ZHANG1, Zhiqiang XU1, Yongjian ZHONG1, Zhiguang REN1, Yonggang ZHANG1, Kailong YUAN1, Hao YANG1, Hui WANG1(
), Jutao SUN2(
)
Received:
2023-06-02
Accepted:
2023-11-07
Online:
2024-11-15
Published:
2024-11-19
Contact:
Hui WANG,Jutao SUN
摘要:
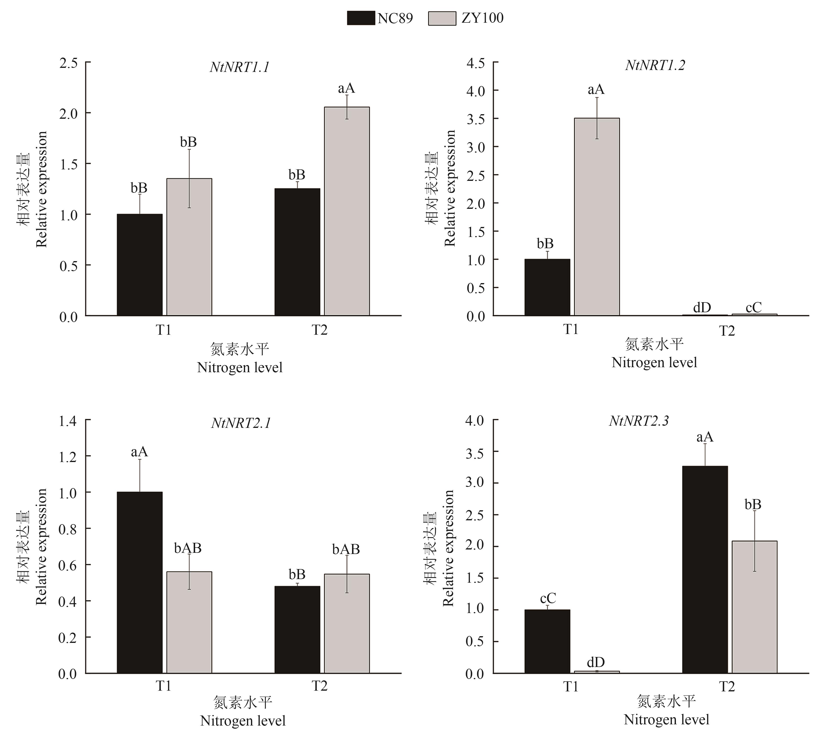
为探究不同氮营养条件下烟草氮代谢特性的变化,以烤烟品种NC89和中烟100为试验材料,设置高氮(5.0 mmol·L-1)和低氮(0.1 mmol·L-1)2个氮素水平,通过测定2个氮素水平下各品种根系中硝酸盐转运蛋白基因与叶片中氮代谢关键调控酶基因表达水平及氮代谢关键酶活性、氮素营养状况、碳氮元素含量、干物质量、根系形态变化等指标,探究不同氮效率烤烟品种间的氮素吸收与同化能力的差异。结果表明,低氮条件下,中烟100的NtNRT1.1和NtNRT1.2基因表达量显著高于NC89,而NtNRT2.3基因则相反,NC89叶片硝酸盐(NO
中图分类号:
刘化冰, 党伟, 李奇, 张晓兵, 徐志强, 钟永健, 任志广, 张勇刚, 袁凯龙, 杨浩, 王辉, 孙聚涛. 烟草品种间氮素吸收和同化差异研究[J]. 中国农业科技导报, 2024, 26(11): 66-78.
Huabing LIU, Wei DANG, Qi LI, Xiaobing ZHANG, Zhiqiang XU, Yongjian ZHONG, Zhiguang REN, Yonggang ZHANG, Kailong YUAN, Hao YANG, Hui WANG, Jutao SUN. Study on Differences in Nitrogen Absorption and Assimilation among Tobacco Varieties[J]. Journal of Agricultural Science and Technology, 2024, 26(11): 66-78.
基因名称 Gene name | 基因ID Gene ID | 引物序列 Primer sequence (5’-3’) |
---|---|---|
NtActin | LOC107809070 | F:TACTTACTGAACGACCCTTGAATCC |
R:GATCACGAGCAGCAAGATCCAAC | ||
NtNRT1.1 | LOC107792216 | F:CCACTATTCAAGCCATGGGTGTT |
R:GCGCCGTCATGTATAGTGCT | ||
NtNRT1.2 | LOC107814217 | F:GGTATCTTTGCCACTGTTCA |
R:CAGCATCGTCGAATTGGTCG | ||
NtNRT2.1 | LOC107808057 | F:CTATTGGTGCTCAAGCTGCA |
R:CGTGAAGAACAACAGTTGT | ||
NtNRT2.3 | LOC107818120 | F:TTTTGGGGTTGAACTCACTGT |
R:CTTCCCCTCATTCCGAACCTT | ||
NtNIA1 | LOC107823732 | F:CGGTGGTTCTGACAGCATTC |
R:CCTGAATTCCTCCAATAGCTTCT | ||
NtNIA2 | LOC107785409 | F:TGGTGGGACTGACAGCATTC |
R:AATCCTGAAATCCTCCAAGAGC | ||
NtGS1 | LOC107777858 | F:TACTCCTGCTGGCGAGCCT |
R:CTCCAATAGGCCACGCTAGA | ||
NtGS2 | LOC107802035 | F:GATCGGAGGATCTGGAATTGA |
R:TGTCTTCTCCAGGTGCTTGTC |
表1 氮代谢相关基因qRT-PCR引物序列
Table 1 qRT-PCR primer sequence of nitrogen metabolism related genes
基因名称 Gene name | 基因ID Gene ID | 引物序列 Primer sequence (5’-3’) |
---|---|---|
NtActin | LOC107809070 | F:TACTTACTGAACGACCCTTGAATCC |
R:GATCACGAGCAGCAAGATCCAAC | ||
NtNRT1.1 | LOC107792216 | F:CCACTATTCAAGCCATGGGTGTT |
R:GCGCCGTCATGTATAGTGCT | ||
NtNRT1.2 | LOC107814217 | F:GGTATCTTTGCCACTGTTCA |
R:CAGCATCGTCGAATTGGTCG | ||
NtNRT2.1 | LOC107808057 | F:CTATTGGTGCTCAAGCTGCA |
R:CGTGAAGAACAACAGTTGT | ||
NtNRT2.3 | LOC107818120 | F:TTTTGGGGTTGAACTCACTGT |
R:CTTCCCCTCATTCCGAACCTT | ||
NtNIA1 | LOC107823732 | F:CGGTGGTTCTGACAGCATTC |
R:CCTGAATTCCTCCAATAGCTTCT | ||
NtNIA2 | LOC107785409 | F:TGGTGGGACTGACAGCATTC |
R:AATCCTGAAATCCTCCAAGAGC | ||
NtGS1 | LOC107777858 | F:TACTCCTGCTGGCGAGCCT |
R:CTCCAATAGGCCACGCTAGA | ||
NtGS2 | LOC107802035 | F:GATCGGAGGATCTGGAATTGA |
R:TGTCTTCTCCAGGTGCTTGTC |
图1 不同品种根系中NtNRT1/2基因的表达注:不同大、小写字母分别表示不同品种不同处理间在P<0.01和P<0.05水平差异显著。
Fig. 1 Expression of NtNRT1/2 gene in roots among different tobacco varietiesNote:Different uppercase and lowercase letters indicate significant differences between different treatments of different varieties at P<0.01 and P<0.05 levels, respectively.
图2 不同品种叶片中氮代谢关键基因的表达注:不同大、小写字母分别表示不同品种不同处理间在P<0.01和P<0.05水平差异显著。
Fig. 2 Expression levels of key nitrogen metabolism genes in leaves among different tobacco varietiesNote:Different uppercase and lowercase letters indicate significant differences between different treatments of different varieties at P<0.01 and P<0.05 levels, respectively.
图3 不同氮条件下NC89和ZY100叶片中NR和GS活性注:不同大、小写字母分别表示不同品种不同处理间在P<0.01和P<0.05水平差异显著。
Fig. 3 NR and GS activity columns in leaves of NC89 and ZY100 under different nitrogen conditionsNote:Different uppercase and lowercase letters indicate significant differences between different treatments of different varieties at P<0.01 and P<0.05 levels, respectively.
图4 不同氮素条件下NC89和ZY100根系和叶片中NO3-含量注:不同大、小写字母分别表示不同品种不同处理间在P<0.01和P<0.05水平差异显著。
Fig. 4 NO3- content in roots and leaves of NC89 and ZY100 under different nitrogen conditionsNote:Different uppercase and lowercase letters indicate significant differences between different treatments of different varieties at P<0.01 and P<0.05 levels, respectively.
图5 不同氮素条件下NC89和ZY100叶片中的总叶绿素含量注:不同大、小写字母分别表示不同品种不同处理间在P<0.01和P<0.05水平差异显著。
Fig. 5 Total chlorophyll content in leaves of NC89 and ZY100 under different nitrogen conditionsNote:Different uppercase and lowercase letters indicate significant differences between different treatments of different varieties at P<0.01 and P<0.05 levels, respectively.
图6 不同氮素条件下NC89和ZY100叶片中的可溶性蛋白含量注:不同大、小写字母分别表示不同品种不同处理间在P<0.01和P<0.05水平差异显著。
Fig. 6 Soluble protein content in leaves of NC89 and ZY100 under different nitrogen conditionsNote:Different uppercase and lowercase letters indicate significant differences between different treatments of different varieties at P<0.01 and P<0.05 levels, respectively.
品种 Cultivar | 氮水平 Nitrogen level | 总根长 Total root length/mm | 根系体积 Root volume/mm3 | 根系总表面积 Total surface area of roots/mm2 | 根系平均直径 Roots average diameter/ mm | 根尖数 Root tips number |
---|---|---|---|---|---|---|
NC89 | T1 | 7 281.05±114.15 bB | 70 455.77±14 635.79 aA | 46 288.83±5 255.66 aA | 1.91±0.19 aA | 1 321.00±104.50 bB |
T2 | 13 605.20±1 110.82 aA | 30 757.71±12 054.50 bAB | 43 053.53±6 187.31 aA | 0.96±0.16 bB | 2 444.00±32.33 aA | |
ZY100 | T1 | 2 275.97±799.99 cB | 9 660.89±5 921.07 bB | 9 216.48±4 279.77 bB | 1.19±0.18 bAB | 626.33±113.35 cB |
T2 | 3 812.00±688.29 bcB | 1 926.73±637.76 cB | 6 017.40±1 295.37 bB | 0.49±0.05 cB | 1 210.33±268.77 bB |
表2 不同氮素水平下NC89与ZY100的根系形态指标
Table 2 Root morphological indexes of NC89 and ZY100 under different nitrogen levels
品种 Cultivar | 氮水平 Nitrogen level | 总根长 Total root length/mm | 根系体积 Root volume/mm3 | 根系总表面积 Total surface area of roots/mm2 | 根系平均直径 Roots average diameter/ mm | 根尖数 Root tips number |
---|---|---|---|---|---|---|
NC89 | T1 | 7 281.05±114.15 bB | 70 455.77±14 635.79 aA | 46 288.83±5 255.66 aA | 1.91±0.19 aA | 1 321.00±104.50 bB |
T2 | 13 605.20±1 110.82 aA | 30 757.71±12 054.50 bAB | 43 053.53±6 187.31 aA | 0.96±0.16 bB | 2 444.00±32.33 aA | |
ZY100 | T1 | 2 275.97±799.99 cB | 9 660.89±5 921.07 bB | 9 216.48±4 279.77 bB | 1.19±0.18 bAB | 626.33±113.35 cB |
T2 | 3 812.00±688.29 bcB | 1 926.73±637.76 cB | 6 017.40±1 295.37 bB | 0.49±0.05 cB | 1 210.33±268.77 bB |
图7 不同氮素条件下NC89和ZY100地下和地上部分的干物质量及根冠比注:不同大、小写字母分别表示不同品种不同处理间在P<0.01和P<0.05水平差异显著。
Fig. 7 Dry matter weight and root-shoot ratio of underground and aboveground parts of NC89 and ZY100 under differen nitrogen conditionsNote:Different uppercase and lowercase letters indicate significant differences between different treatments of different varieties at P<0.01 and P<0.05 levels, respectively.
图8 不同氮素条件下NC89和ZY100地下部分和地上部分的碳氮比注:不同大、小写字母分别表示不同品种不同处理间在P<0.01和P<0.05水平差异显著。
Fig. 8 C/N in underground and aboveground parts of NC89 and ZY100 under differen nitrogen conditionsNote:Different uppercase and lowercase letters indicate significant differences between different treatments of different varieties at P<0.01 and P<0.05 levels, respectively.
品种 Variety | 氮水平 Nitrogen lever | 植物氮素积累量 Total nitrogen accumulation/ (mg·plant-1) | 植物碳素积累量 Total carbon accumulation/ (mg·plant-1) | 不同部位氮素积累量 Nitrogen accumulation in different parts/(mg·plant-1) | 不同部位碳素积累量 Carbon accumulation in different parts/(mg·plant-1) | 不同部位氮素分配比例 Nitrogen distribution ratios in different parts/% | 不同部位碳素分配比例 Carbon distribution ratios in different parts/% | ||||
---|---|---|---|---|---|---|---|---|---|---|---|
地下部 Underground part | 地上部 Aboveground part | 地下部 Underground part | 地上部 Aboveground part | 地下部 Underground part | 地上部 Aboveground part | 地下部 Underground part | 地上部 Aboveground part | ||||
NC89 | T1 | 162.11±11.47 aA | 1 003.48±73.69 aA | 11.83±0.61 aA | 150.28±11.85 aA | 96.62±5.22 bAB | 906.85±72.29 aA | 7.33±0.84 bB | 92.67±0.84 aA | 9.66±0.77 cB | 90.34±0.77 aA |
T2 | 47.11±9.56 cC | 623.31±119.29 bB | 9.19±2.05 bAB | 37.92±8.15 cC | 149.7±33.45 aA | 473.61±98.4 cB | 19.66±3.02 aA | 80.34±3.02 bB | 24.17±3.80 aA | 75.83±3.80 cB | |
ZY100 | T1 | 107.52±27.97 bB | 778.14±101.15 bAB | 8.03±0.72 bAB | 99.49±28.67 bB | 73.14±7.88 bB | 704.99±107.75 bAB | 7.91±2.62 bB | 92.09±2.62 aA | 9.57±2.05 cB | 90.43±2.05 aA |
T2 | 43.41±9.7 cC | 613.01±87.74 bB | 7.02±1.44 bB | 36.39±8.93 cC | 99.54±22.5 bAB | 513.47±75.29 cB | 16.40±2.83 aA | 83.60±2.83 bB | 16.22±2.66 bB | 83.78±2.66 bA |
表3 不同氮素条件下NC89和ZY100苗期碳氮素积累与分配
Table 3 Accumulation and distribution of carbon and nitrogen in seedling stage of NC89 and ZY100 under differen nitrogen conditions
品种 Variety | 氮水平 Nitrogen lever | 植物氮素积累量 Total nitrogen accumulation/ (mg·plant-1) | 植物碳素积累量 Total carbon accumulation/ (mg·plant-1) | 不同部位氮素积累量 Nitrogen accumulation in different parts/(mg·plant-1) | 不同部位碳素积累量 Carbon accumulation in different parts/(mg·plant-1) | 不同部位氮素分配比例 Nitrogen distribution ratios in different parts/% | 不同部位碳素分配比例 Carbon distribution ratios in different parts/% | ||||
---|---|---|---|---|---|---|---|---|---|---|---|
地下部 Underground part | 地上部 Aboveground part | 地下部 Underground part | 地上部 Aboveground part | 地下部 Underground part | 地上部 Aboveground part | 地下部 Underground part | 地上部 Aboveground part | ||||
NC89 | T1 | 162.11±11.47 aA | 1 003.48±73.69 aA | 11.83±0.61 aA | 150.28±11.85 aA | 96.62±5.22 bAB | 906.85±72.29 aA | 7.33±0.84 bB | 92.67±0.84 aA | 9.66±0.77 cB | 90.34±0.77 aA |
T2 | 47.11±9.56 cC | 623.31±119.29 bB | 9.19±2.05 bAB | 37.92±8.15 cC | 149.7±33.45 aA | 473.61±98.4 cB | 19.66±3.02 aA | 80.34±3.02 bB | 24.17±3.80 aA | 75.83±3.80 cB | |
ZY100 | T1 | 107.52±27.97 bB | 778.14±101.15 bAB | 8.03±0.72 bAB | 99.49±28.67 bB | 73.14±7.88 bB | 704.99±107.75 bAB | 7.91±2.62 bB | 92.09±2.62 aA | 9.57±2.05 cB | 90.43±2.05 aA |
T2 | 43.41±9.7 cC | 613.01±87.74 bB | 7.02±1.44 bB | 36.39±8.93 cC | 99.54±22.5 bAB | 513.47±75.29 cB | 16.40±2.83 aA | 83.60±2.83 bB | 16.22±2.66 bB | 83.78±2.66 bA |
1 | 张玉磊.水稻分蘖形成的内外调控机制研究[D].哈尔滨:东北农业大学,2017. |
ZHANG Y L. The studies on the internal and external control mechanism of tiller formation in rice [D]. Haerbin: Northeast Agricultural University, 2017. | |
2 | XUAN W, BEECKMAN T, XU G H.Plant nitrogen nutrition:sensing and signaling [J]. Curr. Opin. Plant Biol., 2017,39:57-65. |
3 | 张振华.作物硝态氮转运利用与氮素利用效率的关系[J].植物营养与肥料学报,2017,23(1):217-223. |
ZHANG Z H. The relationship between nitrate transport and utilization in crop and nitrogen utilization efficiency [J]. J. Plant Nutr. Fert., 2017,23(1):217-223. | |
4 | 王新超,杨亚军,陈亮,等.茶树氮素利用效率相关生理生化指标初探[J].作物学报,2005,31(7):926-931. |
WANG X C, YANG Y J, CHEN L,et al..Preliminary study on physiological and biochemical indices related to nitrogen use efficiency in tea plant [Camellia sinensis (L.) O.kuntze] [J]. Acta Agron. Sin., 2005,31(7):926-931. | |
5 | 周健飞,武云杰,薛刚,等.南阳烟区施氮量对烤烟品种GS同工酶及氮代谢指标的影响[J].中国农业科技导报,2018,20(11):44-53. |
ZHOU J F, WU Y J, XUE G,et al.. Effects of nitrogen application on glutamine synthetase isozymes and nitrogen metabolism of flue-cured tobacco in Nanyang tobacco-growing areas [J]. J. Agric. Sci. Technol., 2018,20(11):44-53. | |
6 | 周健飞,武云杰,薛刚,等.烟叶成熟期氮代谢酶活性、基因表达与烤烟氮素利用效率的关系[J].植物营养与肥料学报,2018,24(3):625-632. |
ZHOU J F, WU Y J, XUE G, et al.. Relationship between nitrogen metabolic enzyme activity,gene expression and nitrogen use efficiency of flue-cured tobacco in maturing stage [J]. J. Plant Nutr. Fert., 2018,24(3):625-632. | |
7 | 魏星,武云杰,阚洪赢,等.不同烤烟品种烟叶衰老特性与内源激素的关系[J].烟草科技,2020,53(2):1-7. |
WEI X, WU Y J, KAN H Y,et al.. Leaf senescence characteristics and their relationships with endogenous hormones in different flue-cured tobacco varieties [J]. Tob. Sci.Technol., 2020,53(2):1-7. | |
8 | 莫志琴,张小全,武云杰,等.施氮量对驻马店不同烤烟品种化学成分和香气物质的影响[J].江西农业学报,2012,24(9):88-91. |
MO Z Q, ZHANG X Q, WU Y J,et al..Effects of nitrogen application rate on chemical components and aroma substances of different flue-cured tobacco varieties in Zhumadian [J]. Acta Agric. Jiangxi, 2012,24(9):88-91. | |
9 | LIU L H, FAN T F, SHI D X, et al.. Coding-sequence identification and transcriptional profiling of nine AMTs and four NRTs from tobacco revealed their differential regulation by developmental stages, nitrogen nutrition,and photoperiod [J/OL]. Front. Plant Sci., 2018, 9:210 [2023-05-06]. . |
10 | LIVAK K J, SCHMITTGEN T D. Analysis of relative gene expression data using real-time quantitative PCR and the2-△△CT method [J]. Methods, 2001,25(4):402-408. |
11 | 陈建勋,王晓峰.植物生理学实验指导[M].2版.广州:华南理工大学出版社,2006:1-100. |
12 | 昌梦雨,魏晓楠,王秋悦,等.植物叶绿素含量不同提取方法的比较研究[J].中国农学通报,2016,32(27):177-180. |
CHANG M Y, WEI X N, WANG Q Y, et al.. A comparative study on different extraction methods for plant chlorophyll [J]. Chin. Agric. Sci. Bull., 2016,32(27):177-180. | |
13 | 李猛,马庆,王慧,等.基于相对叶绿素含量的玉米自交系氮敏感性鉴定与评价[J].植物遗传资源学报,2015,16(6):1264-1271. |
LI M, MA Q, WANG H, et al.. Characterization and evaluation of sensitivity to nitrogen input across maize inbreds based on the relative chlorophyll content [J]. J. Plant Genet. Resour., 2015,16(6):1264-1271. | |
14 | PATTERSON T G, MOSS D N, BRUN W A. Enzymatic changes during the senescence of field-grown wheat [J]. Crop Sci., 1980, 20(1): 15-18. |
15 | 杨振芳,孟瑶,顾万荣,等.化控和密度措施对东北春玉米叶片衰老及产量的影响[J].华北农学报,2015,30(4):117-125. |
YANG Z F, MENG Y, GU W R,et al..Effect of chemical regulation and density on spring maize leaf senescence and yield in Northeast China [J]. Acta Agric.Boreali-Sin.,2015,30(4):117-125. | |
16 | 梁太波,王高杰,张艳玲,等.不同氮效率烟草品种氮素营养特性的差异[J].烟草科技,2013,46(12):63-66. |
LIANG T B, WANG G J, ZHANG Y L, et al.. Differential analysis of nitrogen nutrition characteristics between tobacco cultivars of different nitrogen utilization [J]. Tob. Sci. Technol., 2013,46(12):63-66. | |
17 | 周健飞,武云杰,薛刚,等.烤烟成熟期烟叶GS同工酶活性与氮素运转的关系[J].作物学报,2019,45(1):111-117. |
ZHOU J F, WU Y J, XUE G, et al.. Relationship between GS isoenzyme activity and nitrogen transportation in flue-cured tobacco leaves [J]. Acta Agron. Sin., 2019,45(1):111-117. | |
18 | ORSEL M, CHOPIN F, LELEU O,et al..Characterization of a two-component high-affinity nitrate uptake system in Arabidopsis.physiology and protein-protein interaction [J]. Plant Physiol., 2006,142(3):1304-1317. |
19 | 唐仲.水稻高亲和硝酸盐转运蛋白基因OsNRT2.3a/B生物学功能分析[D].南京:南京农业大学,2012. |
TANG Z. Function analyses of high affinity nitrate transporter gene OsNRT2.3a/b in rice [D]. Nanjing: Nanjing Agricultural University, 2012. | |
20 | FU Y L, YI H Y, BAO J, et al.. LeNRT2.3 functions in nitrate acquisition and long-distance transport in tomato [J]. FEBS Lett., 2015,589(10):1072-1079. |
21 | TANG Z, FAN X, LI Q, et al.. Knockdown of a rice stelar nitrate transporter alters long-distance translocation but not root influx[J]. Plant Physiol., 2012,160(4):2052-2063. |
22 | 贾宏昉,张洪映,刘维智,等.高等植物硝酸盐转运蛋白的功能及其调控机制[J].生物技术通报,2014(6):14-21. |
JIA H F, ZHANG H Y, LIU W Z, et al.. Function and regulation mechanisms of nitrate transporters in higher plants [J]. Biotechnol. Bull., 2014(6):14-21. | |
23 | 赵敏华,刘吉,徐晨曦,等.NRT在植物根系发育及非生物胁迫中的功能研究进展[J].上海师范大学学报(自然科学版),2020,49(6):709-718. |
ZHAO M H, LIU J, XU C X, et al.. Progress on functions of NRT in plant root development and abiotic stress response [J]. J. Shanghai Norm. Univ. (Nat. Sci.), 2020,49(6):709-718. | |
24 | WALCH-LIU P, FORDE B G.Nitrate signalling mediated by the NRT1.1 nitrate transporter antagonises L-glutamate-induced changes in root architecture [J]. Plant J., 2008,54(5):820-828. |
25 | FORDE B, LORENZO H.The nutritional control of root development [J]. Plant Soil, 2001,232(1):51-68. |
26 | FORDE B G, WALCH-LIU P.Nitrate and glutamate as environmental cues for behavioural responses in plant roots [J]. Plant Cell Environ., 2009,32(6):682-693. |
27 | ZHANG H, JENNINGS A, BARLOW P W,et al.. Dual pathways for regulation of root branching by nitrate [J]. Proc. Natl. Acad. Sci. USA, 1999,96(11):6529-6534. |
28 | 汪晓丽,陶玥玥,盛海君,等.硝态氮供应对小麦根系形态发育和氮吸收动力学的影响[J].麦类作物学报,2010,30(1):129-134. |
WANG X L, TAO Y Y, SHENG H J,et al..Effects of nitrate supply on morphology development and nitrate uptake kinetics of wheat roots [J]. J. Triticeae Crops, 2010,30(1):129-134. | |
29 | 刘巧真,陈廷贵,闫小毛,等.‘豫烟9号’和‘中烟100’苗期生物学特性及氮代谢差异研究[J].中国农学通报,2017,33(5):35-39. |
LIU Q Z, CHEN T G, YAN X M, et al.. Differences of biological characteristics and nitrogen metabolism between ‘Yuyan 9’ and ‘Zhongyan 100’ flue-cured tobacco in seedling stage [J]. Chin. Agric. Sci. Bull., 2017,33(5):35-39. | |
30 | 冯万军,邢国芳,牛旭龙,等.植物谷氨酰胺合成酶研究进展及其应用前景[J].生物工程学报,2015,31(9):1301-1312. |
FENG W J, XING G F, NIU X L, et al.. Progress and application prospects of glutamine synthase in plants [J]. Chin. J.Biotechnol., 2015,31(9):1301-1312. | |
31 | 武云杰,李飞,杨铁钊,等.氮素营养水平对衰老期烟叶氮代谢的影响及品种间差异[J].中国烟草学报,2014,20(4):41-47. |
WU Y J, LI F, YANG T Z, et al.. Effect of nitrogen nutrition on nitrogen metabolism in ageing tobacco leaf and variation between varieties [J]. Acta Tab. Sin., 2014,20(4):41-47. | |
32 | 刘化冰,杨铁钊,张小全,等.不同耐氮肥烤烟品种质外体NH 4 + 浓度差异和有关生理指标分析[J].中国农业科学,2010,43(14):3036-3043. |
LIU H B, YANG T Z, ZHANG X Q,et al..Difference of apoplastic NH 4 + concentration in flue-cured tobacco varieties with different tolerance to nitrogen nutrition and assay of the related physiological parameters [J]. Sci. Agric. Sin., 2010,43(14):3036-3043. | |
33 | VAN DER WERF A, NAGEL O W.Carbon allocation to shoots and roots in relation to nitrogen supply is mediated by cytokinins and sucrose: opinion [J]. Plant Soil, 1996,185(1):21-32. |
34 | REYNOLDS H L, D’ANTONIO C.The ecological significance of plasticity in root weight ratio in response to nitrogen:opinion [J]. Plant Soil, 1996,185(1):75-97. |
35 | 黄树永,陈良存.烟草碳氮代谢研究进展[J].河南农业科学,2005(4):8-11. |
HUANG S Y, CHEN L C.Research advance on carbon and nitrogen metabolism in tobacco [J]. J. Henan Agric. Sci., 2005(4):8-11. | |
36 | 李隆云,廖光平,张艳.药用红花生育期间可溶性糖和可溶性氨基酸含量动态的研究[J].中国中药杂志,1994(6):334-336. |
LI L Y, LIAO G P, ZHANG Y. Studies on contents of free amino acids and wateter-soluble carrbohydrates in safflower plant at differentt stages of of growth [J]. China J. Chin. Mater. Med., 1994(6):334-336. | |
37 | 杨铁钊,林彩丽,丁永乐,等.不同基因型烟草对氮素营养响应的差异研究[J].烟草科技,2001,34(6):32-35. |
YANG T Z, LIN C L, DING Y L,et al..Study on response of different tobacco genotypes to nitrogen nutrition [J]. Tob. Sci.Technol., 2001,34(6):32-35. |
[1] | 曹航, 杨新兵, 刘彦林, 霍娜, 刘小宽, 李新月. 石灰岩矿山重构土理化性质及酶活性变化[J]. 中国农业科技导报, 2025, 27(8): 168-178. |
[2] | 刘雪晴, 王静, 阳宜, 吴慧琴, 王延宏, 王麓尧, 路佳伟, 张凯璇, 翟源, 成妍. 外源乙烯利对色素辣椒脱叶及产量的影响[J]. 中国农业科技导报, 2025, 27(8): 36-46. |
[3] | 陈小伟, 沙玉柱, 刘秀, 邵鹏阳, 王翻兄, 谢转回, 杨文鑫, 陈倩玲, 高敏, 黄薇. 不同物候期藏绵羊肉品质、营养成分及肉质相关基因表达特征分析[J]. 中国农业科技导报, 2025, 27(7): 161-171. |
[4] | 周琦, 刘强, 张靖, 邓超超, 王振龙, 柳洋, 吴芳, 常浩, 周彦芳, 宿翠翠, 施志国, 高正睿, 马凤捷. 有机肥替代化肥对土壤生物学特性及南瓜产量的影响[J]. 中国农业科技导报, 2025, 27(7): 190-203. |
[5] | 毛桃桃, 赵小强, 柏小栋, 余斌. 低温胁迫对玉米幼苗光合性能、抗氧化酶系统及相关基因表达的影响[J]. 中国农业科技导报, 2025, 27(5): 49-60. |
[6] | 王二刚, 吕朋元, 周一, 战宇, 何贵祥, 王丽翔, 苗馨月, 陈长宝, 李琼. 生防细菌对人参连作土壤性质及细菌群落结构的影响[J]. 中国农业科技导报, 2025, 27(4): 140-148. |
[7] | 李大荣, 李小玲, 周武先, 张美德, 蒋小刚, 由金文, 王华. 有机肥替代部分化肥对湖北贝母生长及土壤性质的影响[J]. 中国农业科技导报, 2025, 27(3): 216-226. |
[8] | 邢卓冉, 丁松爽, 张凯, 马明, 郭文龙, 刘旭东, 时向东. 计算机视觉与深度学习技术在烟叶生产上的研究进展[J]. 中国农业科技导报, 2025, 27(1): 96-106. |
[9] | 郭肖蓉, 刘颖, 樊佳珍, 黄涛, 周荣. 猪CREBRF基因生物信息学和表达规律分析[J]. 中国农业科技导报, 2024, 26(9): 44-53. |
[10] | 周喜新, 袁世林, 杨柳, 夏滔, 张毅, 范伟. 连作烟草根系分泌物鉴定及潜在化感物质的筛选研究[J]. 中国农业科技导报, 2024, 26(7): 136-146. |
[11] | 杜洋洋, 包媛媛, 刘项宇, 张新永. 荞麦轮作对云南栽培马铃薯根际土壤酶活和微生物的影响[J]. 中国农业科技导报, 2024, 26(5): 192-200. |
[12] | 赵娅红, 胡骞予, 夏融, 王志江, 谢永辉, 叶贤文, 余磊, 齐颖, 羊绍武, 薛至勤, 吴治兴, 黄飞燕, 韩天华. 生物炭肥对易感根结线虫病烤烟根际菌群和理化性质的影响[J]. 中国农业科技导报, 2024, 26(4): 206-214. |
[13] | 周旭东, 韩天华, 申云鑫, 施竹凤, 贺彪, 杨明英, 裴卫华, 何永宏, 杨佩文. 4种轮作模式下长期连作烟田土壤微生态的响应特征[J]. 中国农业科技导报, 2024, 26(3): 174-187. |
[14] | 表达特征分析, 姚亮伟, 沙玉柱, 郭新羽, 蒲小宁, 徐英, 王继卿, 李少斌, 郝志云, 刘秀. 不同海拔藏绵羊肉品质、营养成分及肉质相关基因[J]. 中国农业科技导报, 2024, 26(3): 66-75. |
[15] | 刘峰峰, 吴明, 周迎辉, 吴勇, 田嘉树, 许嘉阳, 许自成, 何结望. 生长素与钼配施对烤烟上部叶生理代谢及品质的影响[J]. 中国农业科技导报, 2024, 26(2): 208-215. |
阅读次数 | ||||||
全文 |
|
|||||
摘要 |
|
|||||