中国农业科技导报 ›› 2024, Vol. 26 ›› Issue (2): 80-89.DOI: 10.13304/j.nykjdb.2022.0873

• 生物技术 生命科学 • 上一篇    下一篇

低温胁迫后紫花苜蓿叶片光合作用的恢复特性研究

苗宇(), 王婕, 赵尧尧, 张丽佳, 刘美君()   

  1. 新疆农业大学草业学院,西部干旱区草地资源与生态教育部重点实验室,新疆草地资源与生态重点实验室,乌鲁木齐 830052
  • 收稿日期:2022-10-14 接受日期:2022-12-19 出版日期:2024-02-15 发布日期:2024-02-04
  • 通讯作者: 刘美君
  • 作者简介:苗宇 E-mail: 2542299781@qq.com
  • 基金资助:
    新疆维吾尔自治区自然科学基金项目(2022D01A185);国家自然科学基金项目(32360346);国家现代农业产业技术体系建设项目(CARS-34)

Study on Recovery Characteristics of Photosynthesis in Alfalfa Leaves After Low Temperature Stress

Yu MIAO(), Jie WANG, Yaoyao ZHAO, Lijia ZHANG, Meijun LIU()   

  1. Key Laboratory of Grassland Resources and Ecology in Western Arid Areas of Ministry of Education,Xinjiang Key Laboratory of Grassland Resources and Ecology,College of Grassland Science,Xinjiang Agricultural University,Urumqi 830052,China
  • Received:2022-10-14 Accepted:2022-12-19 Online:2024-02-15 Published:2024-02-04
  • Contact: Meijun LIU

摘要:

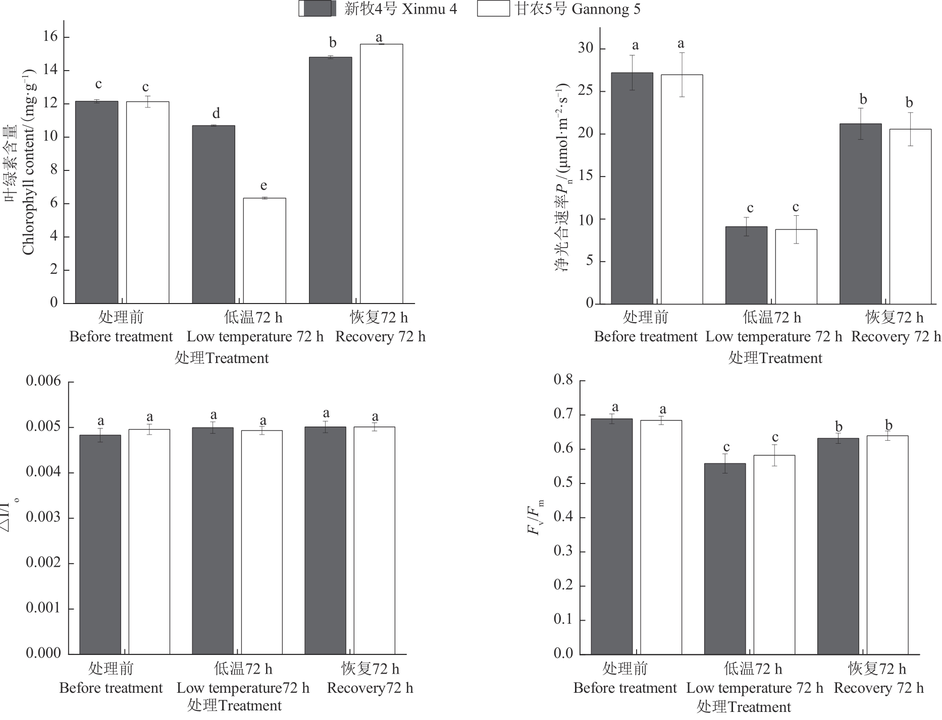
为探究低温解除后苜蓿光合作用恢复过程中的限制位点,以‘新牧4号’和‘甘农5号’2个品种紫花苜蓿为材料,测定其低温胁迫及恢复过程中苜蓿叶片光合活性的变化。结果表明,低温胁迫下2个苜蓿品种叶片叶绿素含量、净光合速率以及光系统Ⅱ(photosystem Ⅱ,PSⅡ)活性显著下降,非光化学淬灭系数(non-photochemical quenching factor,NPQ)显著上升,但对光系统Ⅰ(photosystem Ⅰ,PSⅠ)的活性无显著影响;其中,‘甘农5号’叶绿素对低温更敏感,含量下降较多。室温恢复72 h后,2个品种苜蓿叶片PSⅡ的活性及净光合速率都有上升但均未恢复至处理前水平;NPQ缓慢下降至处理前水平,‘甘农5号’NPQ较‘新牧4号’更高,表明在恢复过程中仍有过剩光能需通过NPQ消耗。苜蓿叶片的电子传递链在低温下受抑制显著,恢复72 h后PSⅡ受体侧活性基本恢复至处理前,而PSⅡ供体侧活性显著下降。2个品种苜蓿单位反应中心捕获的用于电子传递的能量(energy captured by unit reaction center for electron transfer,ETO/RC)和单位反应中心捕获的用于还原QA的能量(energy captured by the unit reaction center for reducing QA,TRO/RC)在低温处理72 h后显著下降,解除低温后恢复至处理前水平,且2个品种无显著差异;2个苜蓿品种单位反应中心耗散掉的能量(energy dissipated by the unit reaction center,DIO/RC)未恢复至处理前水平,且‘甘农5号’在恢复72 h后DIO/RC显著升高。综上,低温胁迫显著伤害紫花苜蓿叶片光合机构,降低了光合速率,光合速率未恢复到处理前与PSⅡ的活性显著相关,限制光合作用恢复的位点在其供体侧,非光化学淬灭是恢复24 h过剩光能的主要分配途径。

关键词: 紫花苜蓿, 低温胁迫, 胁迫解除, 光合作用, 光合机构活性

Abstract:

In order to investigate the restriction sites during the recovery of photosynthesis in alfalfa after the low temperature was lifted, using‘Xinmu 4’and‘ Gannong 5’2 varieties of alfalfa as materials, the changes in photosynthetic activity of alfalfa leaves during the low temperature stress and recovery process were determined. The results showed that chlorophyll content, photosynthetic rate and photosystem Ⅱ(PSⅡ) activity of the 2 alfalfa varieties decreased significantly under low temperature stress, while non-photochemical quenching factor (NPQ) increased significantly, but had no significant effect on photosystem Ⅰ (PSⅠ) activity; the chlorophyll of‘ Gannong 5’ was more sensitive to low temperature and its content decreased more. The activity of PSⅡ and photosynthetic rate of both varieties of alfalfa increased after 72 h recovery from room temperature but did not recover to the pre-treatment level; NPQ slowly decreased and dropped to the pre-treatment level, but NPQ of ‘Gannong 5’ was higher than that of ‘Xinmu 4’ during the recovery process, which indicated that ‘Gannong 5’ still had excess light energy production to be consumed through NPQ during the recovery process. The electron transport chain of alfalfa leaves was severely restricted at low temperature, and the restriction on the PS Ⅱ acceptor side at low temperatures was largely lifted after 72 h of recovery, while the PS Ⅱ donor side was significantly restricted after 72 h of recovery. The efficiency of energy captured per unit reaction centre for electron transfer (ETO/RC) and energy captured per unit reaction centre for reducing QA (TRO/RC) of both alfalfa varieties decreased significantly at 72 h of low temperature treatment and recovered to pre-treatment after lifting the low temperature, and there was no significant difference between the 2 varieties. The energy dissipated by the unit reaction center (DIO/RC) of both alfalfa varieties did not recover to the pre-treatment level, and the energy required for recovery of ‘Gannong 5’ at 72 h was significantly higher. In summary, low temperature stress significantly injured the photosynthetic machinery of alfalfa leaves reducing photosynthetic rate, which was not restored to pre-treatment levels and was strongly correlated with PSⅡ activity, and the site limiting photosynthetic recovery was on its donor side. Non-photochemical quenching was the main way to restore 24 h excess light energy.

Key words: alfalfa, low-temperature stress, stress relief, photosynthesis, photosynthetic mechanism activity

中图分类号: