中国农业科技导报 ›› 2025, Vol. 27 ›› Issue (6): 158-169.DOI: 10.13304/j.nykjdb.2024.0231
收稿日期:
2024-03-25
接受日期:
2024-06-04
出版日期:
2025-06-15
发布日期:
2025-06-23
通讯作者:
户金鸽
作者简介:
白世践E-mail: 594748964@qq.com;
基金资助:
Received:
2024-03-25
Accepted:
2024-06-04
Online:
2025-06-15
Published:
2025-06-23
Contact:
Jinge HU
摘要:
为探究外源赤霉素(gibberellic acid, GA3)处理对波尔莱特葡萄及葡萄干品质的影响,设置花期不进行GA3处理(A)、花序盛开75%时进行75 mg·L-1 GA3处理(B)、花序盛开100%时进行75 mg·L-1 GA3处理(C)、花后2 d进行75 mg·L-1 GA3 处理(D)和花后4 d进行75 mg·L-1 GA3(E),以上5种处理均在花后10 d时用150 mg·L-1 GA3 进行处理,以花期和花后10 d均不进行GA3处理为对照(CK),测定葡萄、葡萄干品质及产量指标。结果表明,GA3处理可显著增大波尔莱特葡萄果穗、果粒质量,提高鲜果硬度,但会显著降低可溶性固形物含量;经GA3处理的波尔莱特葡萄所制葡萄干单粒质量显著增大,酚类物质含量及抗氧化活性提高,但饱满度降低、褐变度增大;花期GA3处理可显著增大葡萄及葡萄干果形指数,促进葡萄及葡萄干色泽变绿。D处理的葡萄干产量最高,为12.56 t·hm-2,葡萄干单粒质量最大,为1.30 g,果形指数2.42,较饱满。主成分分析结果直观地反映了各处理葡萄及葡萄干品质、产量分布状况,建立综合评价模型得出D处理综合得分最高。波尔莱特葡萄采用花后2 d施GA3 75 mg·L-1+花后10 d施GA3 150 mg·L-1处理效果最优。以上研究结果为进一步优化和规范波尔莱特葡萄GA3使用技术、提升葡萄及葡萄干品质提供技术参考。
中图分类号:
白世践, 户金鸽. 赤霉素处理对波尔莱特葡萄及葡萄干品质的影响[J]. 中国农业科技导报, 2025, 27(6): 158-169.
Shijian BAI, Jinge HU. Effects of Gibberellic Acid on Berry and Raisin of Perlette Grape[J]. Journal of Agricultural Science and Technology, 2025, 27(6): 158-169.
处理 Treatment | 果穗质量 Cluster mass/g | 果穗紧密度Cluster compactness | 果粒质量 Berry mass/g | 果粒纵径 Longitudinal diameter of berry/mm | 果粒横径 Transverse diameter of berry/mm | 果形指数 Berry shape index | 果梗直径 Stem diameter/mm | 穗轴硬化程度 Spike-stalk hardenability |
---|---|---|---|---|---|---|---|---|
CK | 721.82±228.59 d | 5.00±0.00 b | 3.54±0.36 d | 19.93±1.14 d | 15.51±0.69 e | 1.29±0.08 cd | 1.26±0.33 c | 4.00±0.00 a |
A | 1 031.00±175.09 cd | 5.36±0.81 b | 6.03±0.34 bc | 23.93±0.92 c | 19.38±0.89 bc | 1.24±0.05 d | 2.00±0.16 b | 4.00±0.00 a |
B | 880.00±439.03 cd | 3.89±1.50 c | 5.41±0.10 c | 24.50±2.77 c | 16.39±1.25 d | 1.49±0.11 b | 2.03±0.13 b | 2.86±0.64 b |
C | 1 225.00±240.05 bc | 5.18±0.60 b | 6.37±0.32 b | 31.11±1.42 a | 18.62±0.82 c | 1.67±0.08 a | 2.17±0.21 ab | 3.86±0.35 a |
D | 1 555.00±480.71 ab | 5.73±1.01 b | 7.21±0.28 a | 29.86±1.32 ab | 20.14±0.94 b | 1.49±0.11 b | 2.29±0.17 a | 3.86±0.35 a |
E | 1 788.33±476.80 a | 7.00±1.55 a | 7.93±0.16 a | 28.52±2.20 b | 21.35±0.97 a | 1.34±0.10 c | 2.35±0.16 a | 4.00±0.00 a |
表1 GA3处理下波尔莱特葡萄的果穗、果粒性状
Table 1 Cluster and berry characteristics of Perlette grape by GA3 treatment
处理 Treatment | 果穗质量 Cluster mass/g | 果穗紧密度Cluster compactness | 果粒质量 Berry mass/g | 果粒纵径 Longitudinal diameter of berry/mm | 果粒横径 Transverse diameter of berry/mm | 果形指数 Berry shape index | 果梗直径 Stem diameter/mm | 穗轴硬化程度 Spike-stalk hardenability |
---|---|---|---|---|---|---|---|---|
CK | 721.82±228.59 d | 5.00±0.00 b | 3.54±0.36 d | 19.93±1.14 d | 15.51±0.69 e | 1.29±0.08 cd | 1.26±0.33 c | 4.00±0.00 a |
A | 1 031.00±175.09 cd | 5.36±0.81 b | 6.03±0.34 bc | 23.93±0.92 c | 19.38±0.89 bc | 1.24±0.05 d | 2.00±0.16 b | 4.00±0.00 a |
B | 880.00±439.03 cd | 3.89±1.50 c | 5.41±0.10 c | 24.50±2.77 c | 16.39±1.25 d | 1.49±0.11 b | 2.03±0.13 b | 2.86±0.64 b |
C | 1 225.00±240.05 bc | 5.18±0.60 b | 6.37±0.32 b | 31.11±1.42 a | 18.62±0.82 c | 1.67±0.08 a | 2.17±0.21 ab | 3.86±0.35 a |
D | 1 555.00±480.71 ab | 5.73±1.01 b | 7.21±0.28 a | 29.86±1.32 ab | 20.14±0.94 b | 1.49±0.11 b | 2.29±0.17 a | 3.86±0.35 a |
E | 1 788.33±476.80 a | 7.00±1.55 a | 7.93±0.16 a | 28.52±2.20 b | 21.35±0.97 a | 1.34±0.10 c | 2.35±0.16 a | 4.00±0.00 a |
处理 Treatment | 鲜果硬度 Berry hardness/(kg·cm-2) | 可溶性固形物含量 TSS content/(°Brix) | 可滴定酸含量 TA content/% | 固酸比 TSS/TA | 维生素C含量 VC content/ (mg·kg-1) |
---|---|---|---|---|---|
CK | 1.06±0.13 d | 20.48±0.26 a | 0.90±0.04 bc | 22.77±0.98 a | 32.34±0.18 b |
A | 1.69±0.19 ab | 16.00±0.67 d | 0.93±0.02 ab | 17.39±1.30 b | 33.45±0.55 ab |
B | 1.31±0.17 c | 17.08±0.59 c | 0.98±0.00 a | 17.40±0.68 b | 36.41±2.03 a |
C | 1.55±0.18 b | 18.80±0.49 b | 0.86±0.00 cd | 21.72±0.67 a | 35.85±0.37 a |
D | 1.75±0.23 ab | 18.78±0.15 b | 0.81±0.02 d | 23.15±0.55 a | 36.59±2.59 a |
E | 1.78±0.19 a | 15.93±0.38 d | 0.89±0.02 bc | 17.91±0.17 b | 21.25±0.55 c |
表2 GA3处理下波尔莱特葡萄理化指标
Table 2 Physicochemical indicators of Perlette grape by GA3 treatment
处理 Treatment | 鲜果硬度 Berry hardness/(kg·cm-2) | 可溶性固形物含量 TSS content/(°Brix) | 可滴定酸含量 TA content/% | 固酸比 TSS/TA | 维生素C含量 VC content/ (mg·kg-1) |
---|---|---|---|---|---|
CK | 1.06±0.13 d | 20.48±0.26 a | 0.90±0.04 bc | 22.77±0.98 a | 32.34±0.18 b |
A | 1.69±0.19 ab | 16.00±0.67 d | 0.93±0.02 ab | 17.39±1.30 b | 33.45±0.55 ab |
B | 1.31±0.17 c | 17.08±0.59 c | 0.98±0.00 a | 17.40±0.68 b | 36.41±2.03 a |
C | 1.55±0.18 b | 18.80±0.49 b | 0.86±0.00 cd | 21.72±0.67 a | 35.85±0.37 a |
D | 1.75±0.23 ab | 18.78±0.15 b | 0.81±0.02 d | 23.15±0.55 a | 36.59±2.59 a |
E | 1.78±0.19 a | 15.93±0.38 d | 0.89±0.02 bc | 17.91±0.17 b | 21.25±0.55 c |
处理 Treatment | 亮度L | 红绿色差a | 黄蓝色差b | 饱和度C | 色调角h° | 总色差值ΔE |
---|---|---|---|---|---|---|
CK | 38.88±1.43 ab | -1.72±0.48 a | 9.21±1.23 ab | 9.38±1.17 ab | 101.39±2.50 c | 40.00±1.58 abc |
A | 37.33±1.61 b | -2.62±0.84 b | 7.11±1.28 c | 7.59±1.44 c | 109.25±3.92 a | 38.10±1.84 c |
B | 38.31±1.56 ab | -2.39±0.45 ab | 9.14±1.00 ab | 9.47±0.91 ab | 104.82±4.23 abc | 39.47±1.68 abc |
C | 39.76±3.05 ab | -2.54±0.56 b | 9.02±1.60 ab | 9.40±1.52 ab | 106.88±5.05 ab | 40.86±3.30 ab |
D | 39.99±1.00 a | -2.46±0.31 b | 10.54±1.45 a | 10.83±1.42 a | 103.42±2.55 bc | 41.45±1.19 a |
E | 37.72±1.99 ab | -2.50±0.45 b | 7.57±1.40 bc | 7.98±1.43 bc | 107.89±1.80 ab | 38.57±2.21 bc |
表3 GA3处理下波尔莱特葡萄色泽指标
Table 3 Color index of Perlette grape by GA3 treatment
处理 Treatment | 亮度L | 红绿色差a | 黄蓝色差b | 饱和度C | 色调角h° | 总色差值ΔE |
---|---|---|---|---|---|---|
CK | 38.88±1.43 ab | -1.72±0.48 a | 9.21±1.23 ab | 9.38±1.17 ab | 101.39±2.50 c | 40.00±1.58 abc |
A | 37.33±1.61 b | -2.62±0.84 b | 7.11±1.28 c | 7.59±1.44 c | 109.25±3.92 a | 38.10±1.84 c |
B | 38.31±1.56 ab | -2.39±0.45 ab | 9.14±1.00 ab | 9.47±0.91 ab | 104.82±4.23 abc | 39.47±1.68 abc |
C | 39.76±3.05 ab | -2.54±0.56 b | 9.02±1.60 ab | 9.40±1.52 ab | 106.88±5.05 ab | 40.86±3.30 ab |
D | 39.99±1.00 a | -2.46±0.31 b | 10.54±1.45 a | 10.83±1.42 a | 103.42±2.55 bc | 41.45±1.19 a |
E | 37.72±1.99 ab | -2.50±0.45 b | 7.57±1.40 bc | 7.98±1.43 bc | 107.89±1.80 ab | 38.57±2.21 bc |
处理 Treatment | 单粒质量Single raisin mass/g | 纵径Longitudinal diameter/mm | 横径Transverse diameter/mm | 果形指数Raisin shape index | 可溶性固形物含量 TSS content/(°Brix) | 可滴定酸含量 TA content/% | 固酸比TSS/TA | 维生素C含量 VC content /(mg·kg-1) | 饱满度 Plumpness | 褐变度 Browning(A420 nm) |
---|---|---|---|---|---|---|---|---|---|---|
CK | 0.78± 0.04 c | 17.07± 1.04 d | 9.66± 0.75 c | 1.78± 0.18 c | 85.67± 0.29 b | 3.69± 0.11 a | 23.24± 0.66 ab | 67.45± 6.47 c | 3.89± 0.31 a | 0.47± 0.01 e |
A | 1.03± 0.05 b | 22.13± 1.37 c | 10.71± 0.86 bc | 2.07± 0.17 bc | 84.33± 0.29 c | 4.25± 0.22 a | 19.88± 0.95 b | 97.95± 1.85 ab | 3.00± 0.67 b | 0.50± 0.01 d |
B | 1.09± 0.07 b | 27.51± 1.69 a | 10.85± 1.02 b | 2.56± 0.32 a | 85.33± 0.76 b | 4.19± 0.11 a | 20.38± 0.40 ab | 76.69± 2.78 c | 3.22± 0.42 b | 0.60± 0.01 a |
C | 1.14± 0.06 a | 26.83± 1.40 ab | 10.20± 0.93 bc | 2.65± 0.29 a | 87.33± 0.29 a | 3.69± 0.11 a | 23.70± 0.75 a | 73.00± 0.92 c | 3.33± 0.47 b | 0.51± 0.01 d |
D | 1.30± 0.03 a | 27.97± 1.56 a | 11.58± 0.70 ab | 2.42± 0.19 a | 87.33± 0.29 a | 3.81± 0.11 a | 22.92± 0.61 ab | 89.63± 0.92 b | 3.11± 0.57 b | 0.54± 0.01 c |
E | 1.21± 0.11 a | 25.62± 1.34 b | 12.40± 1.04 a | 2.08± 0.17 b | 86.33± 0.29 ab | 3.94± 0.50 a | 22.15± 2.62 ab | 101.64± 5.54 a | 2.22± 0.63 c | 0.56± 0.00 b |
表4 GA3处理下波尔莱特葡萄干理化指标及感官性状
Table 4 Physicochemical and sensory traits of Perlette raisins by GA3 treatment
处理 Treatment | 单粒质量Single raisin mass/g | 纵径Longitudinal diameter/mm | 横径Transverse diameter/mm | 果形指数Raisin shape index | 可溶性固形物含量 TSS content/(°Brix) | 可滴定酸含量 TA content/% | 固酸比TSS/TA | 维生素C含量 VC content /(mg·kg-1) | 饱满度 Plumpness | 褐变度 Browning(A420 nm) |
---|---|---|---|---|---|---|---|---|---|---|
CK | 0.78± 0.04 c | 17.07± 1.04 d | 9.66± 0.75 c | 1.78± 0.18 c | 85.67± 0.29 b | 3.69± 0.11 a | 23.24± 0.66 ab | 67.45± 6.47 c | 3.89± 0.31 a | 0.47± 0.01 e |
A | 1.03± 0.05 b | 22.13± 1.37 c | 10.71± 0.86 bc | 2.07± 0.17 bc | 84.33± 0.29 c | 4.25± 0.22 a | 19.88± 0.95 b | 97.95± 1.85 ab | 3.00± 0.67 b | 0.50± 0.01 d |
B | 1.09± 0.07 b | 27.51± 1.69 a | 10.85± 1.02 b | 2.56± 0.32 a | 85.33± 0.76 b | 4.19± 0.11 a | 20.38± 0.40 ab | 76.69± 2.78 c | 3.22± 0.42 b | 0.60± 0.01 a |
C | 1.14± 0.06 a | 26.83± 1.40 ab | 10.20± 0.93 bc | 2.65± 0.29 a | 87.33± 0.29 a | 3.69± 0.11 a | 23.70± 0.75 a | 73.00± 0.92 c | 3.33± 0.47 b | 0.51± 0.01 d |
D | 1.30± 0.03 a | 27.97± 1.56 a | 11.58± 0.70 ab | 2.42± 0.19 a | 87.33± 0.29 a | 3.81± 0.11 a | 22.92± 0.61 ab | 89.63± 0.92 b | 3.11± 0.57 b | 0.54± 0.01 c |
E | 1.21± 0.11 a | 25.62± 1.34 b | 12.40± 1.04 a | 2.08± 0.17 b | 86.33± 0.29 ab | 3.94± 0.50 a | 22.15± 2.62 ab | 101.64± 5.54 a | 2.22± 0.63 c | 0.56± 0.00 b |
处理 Treatment | 亮度L | 红绿色差a | 黄蓝色差b | 饱和度C | 色调角h° | 总色差值ΔE |
---|---|---|---|---|---|---|
CK | 34.50±2.50 ab | 4.16±0.52 a | 12.24±1.26 a | 12.94±1.26 a | 71.16±2.31 b | 36.87±2.40 ab |
A | 31.24±3.78 b | 4.62±1.19 a | 12.23±2.08 a | 13.12±2.05 a | 69.15±5.34 b | 33.93±3.89 b |
B | 34.33±3.38 ab | 1.88±1.18 c | 13.59±2.52 a | 13.78±2.42 a | 81.54±5.86 a | 37.05±3.51 ab |
C | 35.87±2.81 a | 2.36±0.70 bc | 14.20±0.70 a | 14.42±0.78 a | 80.68±3.58 a | 38.67±2.75 a |
D | 34.30±2.91 ab | 2.73±1.28 b | 13.85±1.43 a | 14.17±1.37 a | 78.66±5.31 a | 37.15±2.92 ab |
E | 33.92±3.49 ab | 2.64±1.06 bc | 13.65±2.95 a | 13.97±2.81 a | 78.27±5.90 a | 36.73±4.01 ab |
表5 GA3处理下波尔莱特葡萄干色泽指标
Table 5 Color index of Perlette raisins by GA3 treatment
处理 Treatment | 亮度L | 红绿色差a | 黄蓝色差b | 饱和度C | 色调角h° | 总色差值ΔE |
---|---|---|---|---|---|---|
CK | 34.50±2.50 ab | 4.16±0.52 a | 12.24±1.26 a | 12.94±1.26 a | 71.16±2.31 b | 36.87±2.40 ab |
A | 31.24±3.78 b | 4.62±1.19 a | 12.23±2.08 a | 13.12±2.05 a | 69.15±5.34 b | 33.93±3.89 b |
B | 34.33±3.38 ab | 1.88±1.18 c | 13.59±2.52 a | 13.78±2.42 a | 81.54±5.86 a | 37.05±3.51 ab |
C | 35.87±2.81 a | 2.36±0.70 bc | 14.20±0.70 a | 14.42±0.78 a | 80.68±3.58 a | 38.67±2.75 a |
D | 34.30±2.91 ab | 2.73±1.28 b | 13.85±1.43 a | 14.17±1.37 a | 78.66±5.31 a | 37.15±2.92 ab |
E | 33.92±3.49 ab | 2.64±1.06 bc | 13.65±2.95 a | 13.97±2.81 a | 78.27±5.90 a | 36.73±4.01 ab |
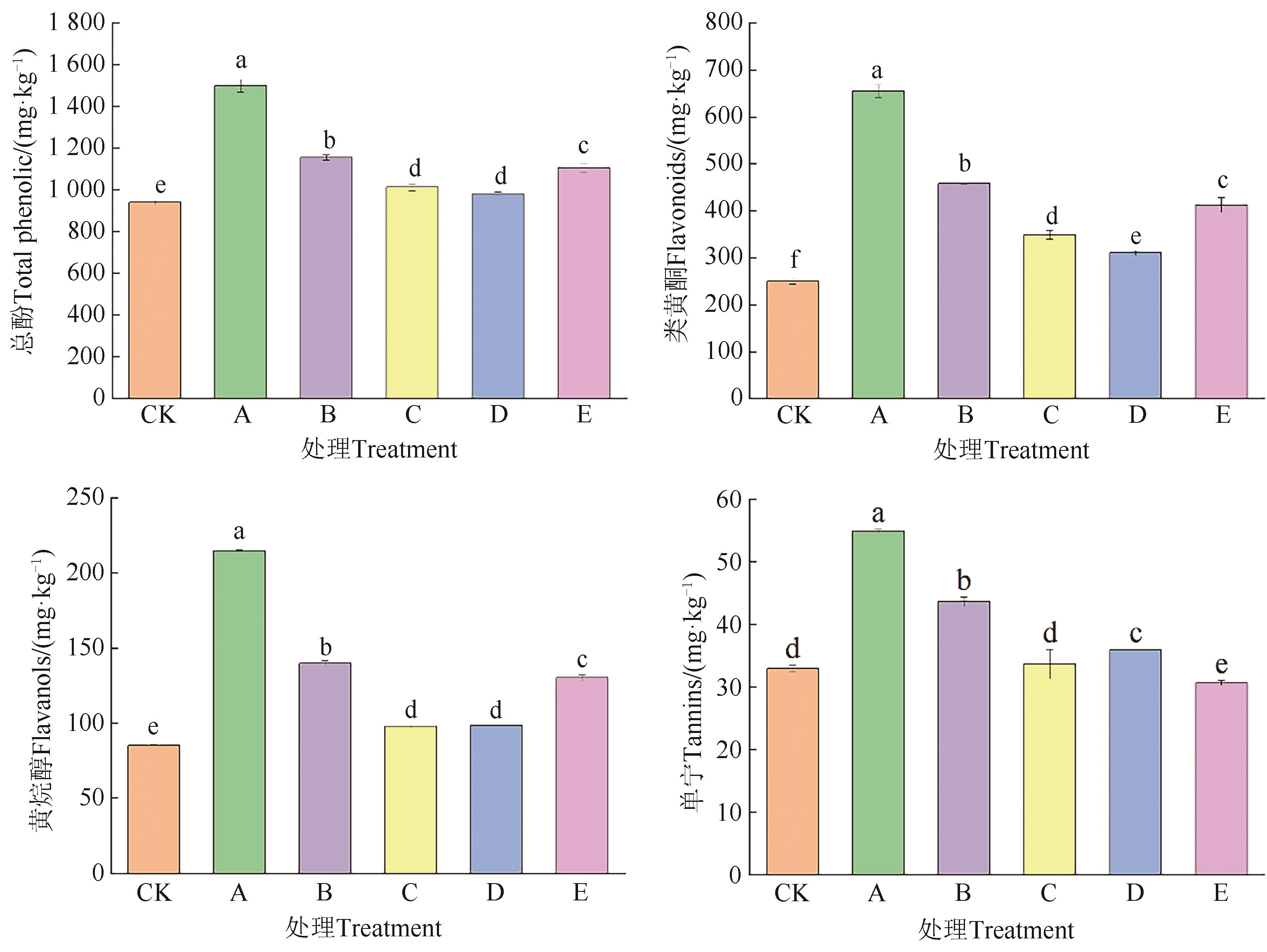
图1 GA3处理下波尔莱特葡萄干酚类物质含量注:不同小写字母表示不同处理间在P<0.05水平差异显著。
Fig. 1 Phenolic compounds contents of Perlette raisins by GA3 treatmentNote:Difference lowercase letters indicate significant differences between different treatments at P<0.05 level.
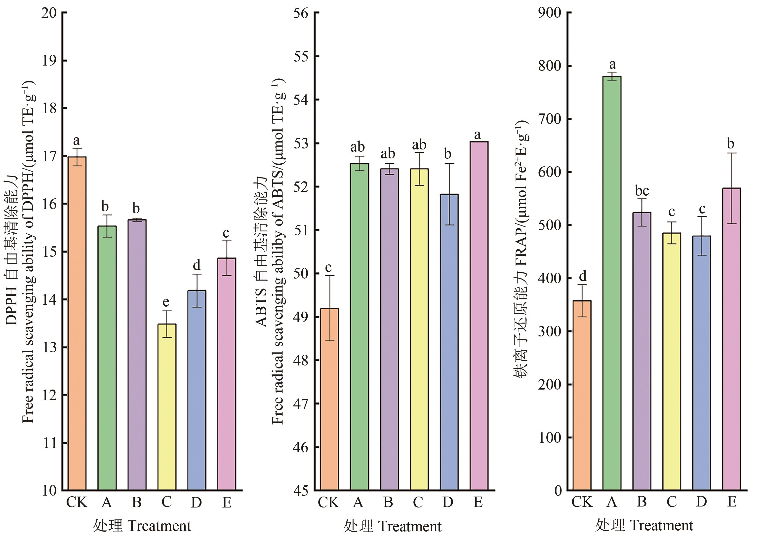
图2 GA3处理下波尔莱特葡萄干抗氧化活性注:不同小写字母表示不同处理间在P<0.05水平差异显著。
Fig. 2 Antioxidant activity of Perlette raisins by GA3 treatmentNote:Difference lowercase letters indicate significant differences between different treatments at P<0.05 level.
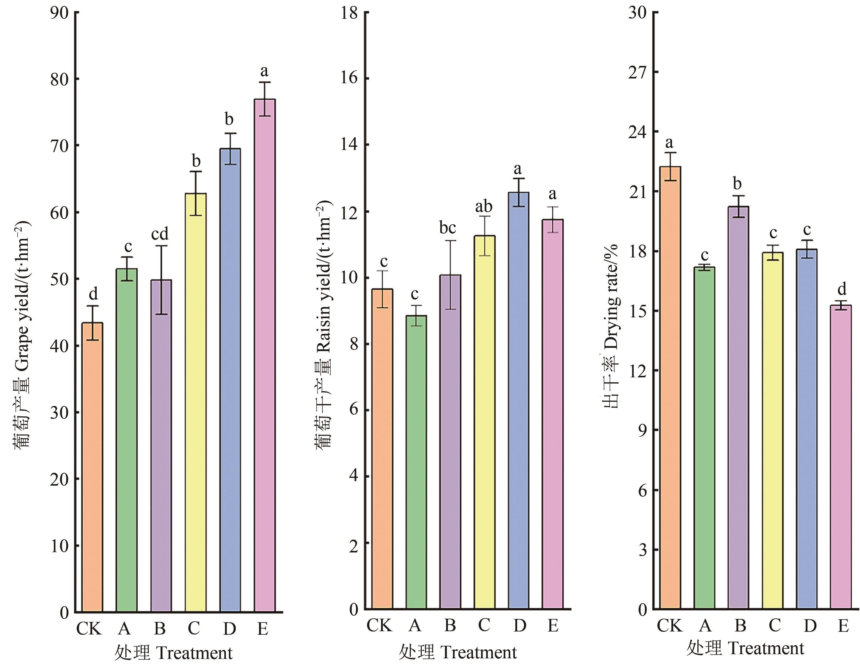
图3 GA3处理下波尔莱特葡萄、葡萄干产量及出干率注:不同小写字母表示不同处理间在P<0.05水平差异显著。
Fig. 3 Grape yield, raisin yield and drying rate of Perlette grape by GA3 treatmentNote:Difference lowercase letters indicate significant differences between different treatments at P<0.05 level.
图4 葡萄与葡萄干指标间的相关性分析注:CM—果穗质量;BM—果粒质量;BSI—果形指数;CC—果穗紧密度;BH—鲜果硬度;BTSS—葡萄可溶性固形物;BTA—葡萄可滴定酸;BTSS/TA—葡萄固酸比;BVC—葡萄维生素C;Bh°—葡萄色泽指标h°值;GY—葡萄产量;SRM—葡萄干单粒质量;RSI—葡萄干果形指数;RTSS—葡萄干可溶性固形物;RTA—葡萄干可滴定酸;RTSS/TA—葡萄干固酸比;RVC—葡萄干维生素C;Rh°—葡萄干色泽指标h°;TP—总酚;RP—饱满度;RB—褐变度;RY—葡萄干产量;DR—出干率。*和**分别表示在P<0.05和P<0.01水平相关显著。
Fig. 4 Pearson correlation analysis between grape and raisin indicatorsNote:CM—Cluster mass; BM—Berry mass; BSI—Berry shape index; CC—Cluster compactness; BH—Berry hardness; BTSS—Berry total soluble solid; BTA—Berry titratable acidity; BTSS/TA—Berry solid acid ratio; BVC—Berry vitamin C; Bh°—Grape color index h°;GY— Grape yield; SRM—Single raisin mass; RSI—Raisin shape index; RTSS—Raisin total soluble solid;RTA—Raisin titratable acidity;RTSS/TA—Raisin solid acid ratio;RVC—Raisin vitamin C;Rh°—Raisin color index h°;TP—Total phenolic;RP—Raisin plumpness; RB—Raisin browning; DR—Drying rate; RY—Raisin yield. * and ** indicate significant correlations at P<0.05 and P<0.01 levels,respectively.
主成分 PC | 特征值 Eigenvalue | 贡献率 Contribution rate/% | 累积贡献率 Cumulative contribution rate/% |
---|---|---|---|
1 | 14.13 | 42.83 | 42.83 |
2 | 11.09 | 33.62 | 76.45 |
3 | 4.56 | 13.82 | 90.27 |
4 | 2.23 | 6.77 | 97.04 |
5 | 0.98 | 2.96 | 100.00 |
表 6 主成分的特征值及贡献率
Table 6 Eigenvalues and contribution rates of principle components
主成分 PC | 特征值 Eigenvalue | 贡献率 Contribution rate/% | 累积贡献率 Cumulative contribution rate/% |
---|---|---|---|
1 | 14.13 | 42.83 | 42.83 |
2 | 11.09 | 33.62 | 76.45 |
3 | 4.56 | 13.82 | 90.27 |
4 | 2.23 | 6.77 | 97.04 |
5 | 0.98 | 2.96 | 100.00 |
图 5 葡萄及葡萄干指标主成分分析注:BLD—果粒纵径;BTD—果粒横径;RLD—葡萄干纵径;RTD—葡萄干横径;CM—果穗质量;BM—果粒质量;BSI—果形指数;CC—果穗紧密度;BH—鲜果硬度;BTSS—葡萄可溶性固形物;BTA—葡萄可滴定酸;BTSS/TA—葡萄固酸比;BVC—葡萄维生素C;Bh°—葡萄色泽指标h°值;GY—葡萄产量;SRM—葡萄干单粒质量;RSI—葡萄干果形指数;RTSS—葡萄干可溶性固形物;RTA—葡萄干可滴定酸;RTSS/TA—葡萄干固酸比;RVC—葡萄干维生素C;Rh°—葡萄干色泽指标h°;TP—总酚;RP—饱满度;RB—褐变度;RY—葡萄干产量;DR—出干率。
Fig. 5 Principal component analysis based on grape and raisin indicators treated with different gibberellinsNote:BLD—Berry longitudinal diameter; BTD—Berry transverse diameter; RLD—Raisin longitudinal diameter; RTD—Raisin transverse diameter;CM—Cluster mass; BM—Berry mass; BSI—Berry shape index; CC—Cluster compactness; BH—Berry hardness; BTSS—Berry total soluble solid; BTA—Berry titratable acidity; BTSS/TA—Berry solid acid ratio; BVC—Berry vitamin C; Bh°—Grape color index h°;GY— Grape yield; SRM—Single raisin mass; RSI—Raisin shape index; RTSS—Raisin total soluble solid;RTA—Raisin titratable acidity;RTSS/TA—Raisin solid acid ratio;RVC—Raisin vitamin C;Rh°—Raisin color index h°;TP—Total phenolic;RP—Raisin plumpness; RB—Raisin browning; DR—Drying rate; RY—Raisin yield.
处理 Treatment | 主成分得分 Principal component score | 综合得分 Comprehensive score | 排序 Ranking | ||
---|---|---|---|---|---|
PC1 | PC2 | PC3 | |||
CK | -0.85 | 0.08 | -0.14 | -0.91 | 6 |
A | 0.11 | -0.62 | -0.04 | -0.55 | 5 |
B | -0.12 | -0.20 | 0.24 | -0.08 | 4 |
C | 0.05 | 0.34 | 0.11 | 0.50 | 2 |
D | 0.23 | 0.37 | 0.00 | 0.60 | 1 |
E | 0.57 | 0.03 | -0.17 | 0.44 | 3 |
表7 葡萄、葡萄干指标的主成分得分及综合评价
Table 7 Principal component score and comprehensive evaluation of grape and raisin indicators
处理 Treatment | 主成分得分 Principal component score | 综合得分 Comprehensive score | 排序 Ranking | ||
---|---|---|---|---|---|
PC1 | PC2 | PC3 | |||
CK | -0.85 | 0.08 | -0.14 | -0.91 | 6 |
A | 0.11 | -0.62 | -0.04 | -0.55 | 5 |
B | -0.12 | -0.20 | 0.24 | -0.08 | 4 |
C | 0.05 | 0.34 | 0.11 | 0.50 | 2 |
D | 0.23 | 0.37 | 0.00 | 0.60 | 1 |
E | 0.57 | 0.03 | -0.17 | 0.44 | 3 |
1 | 蔡翔宇,张进财.吐鲁番葡萄及其加工业概况与优化提升策略[J].中外葡萄与葡萄酒,2022(5):112-116. |
CAI X Y, ZHANG J C. Present situation and optimization strategy of grape and its processing industry in Turpan [J]. Sino- Overseas Grapevine Wine, 2022(5):112-116. | |
2 | 薛锋,潘绪兵,魏登攀,等. 5个无核葡萄品种在吐鲁番地区的栽培性状及制干特性分析[J].新疆农业科学,2023,60(1):105-115. |
XUE F, PAN X B, WEI D P, et al.. Analysis on cultivation characteristics and raisin characteristics of five seedless grape cultivars in Turpan Region [J]. Xinjiang Agric. Sci., 2023,60(1):105-115. | |
3 | 赵龙,郭峰,梁雎,等.制干葡萄品种波尔莱特栽培技术[J].农村科技,2017(6):40-41. |
4 | 农慧兰,董阳,刘静,等. GA3和TDZ处理对‘阳光玫瑰’葡萄果实形状的影响[J/OL].分子植物育种,2022:1-8 [2024-02-26]. . |
NONG H L, DONG Y, LIU J, et al.. The effect of GA3 and TDZ treatment on fruit shape of ‘Shine Muscat’ grape [J/OL]. Mol. Plant Breed., 2022:1-8 [2024-02-26]. . | |
5 | REYNOLDS A, ROBBINS N, LEE H S, et al.. Impacts and interactions of abscisic acid and gibberellic acid on sovereign coronation and skookum seedless table grapes [J]. Am. J. Enol. Vitic., 2016, 67:327-338. |
6 | SUEHIRO Y, MOCHIDA K, TSUMA M, et al.. Effects of gibberellic acid/cytokinin treatments on berry development and maturation in the yellow-green skinned ‘Shine Muscat’ grape [J]. Hortic. J., 2019, 88 (2): 202-213. |
7 | FERRARA G, MAZZEO A, NETT G, et al.. Girdling, gibberellic acid, and forchlorfenuron: effects on yield, quality, and metabolic profile of table grape cv. Italia [J]. Am. J. Enol. Vitic., 2014, 65(3):381-387. |
8 | TESZLÁK P, GAÁL K, POUR NIKFARDJAM M S. Influence of grapevine flower treatment with gibberellic acid (GA3) on polyphenol content of Vitis vinifera L.wine [J]. Anal. Chim. Acta, 2005,543(1/2):275-281. |
9 | KOUKOURIKOU M, ZIOZIOU E, PANTAZAKI A, et al.. Effects of gibberellic acid and putrescine on “Thompson Seedless” grapes [J]. Am. Int. J. Biol., 2015, 3:19-29. |
10 | 张瑜,哈胜英.无核白葡萄不同生育期喷施赤霉素效果[J].农村科技,2020(1):19-20. |
11 | 王春燕,刘丽媛,徐彦兵,等.新疆吐鲁番波尔莱特葡萄栽培技术[J].果树实用技术与信息, 2021 (5):5-7. |
12 | 谢辉,张雯,韩守安,等.新疆晾房环境对绿色葡萄干色泽的影响[J].农业工程学报,2019,35(7):295-302. |
XIE H, ZHANG W, HAN S A,et al..Effect of drying room environment on color of green raisin in Xinjiang [J]. Trans. Chin. Soc. Agric. Eng., 2019,35(7):295-302. | |
13 | Organtisation Internationle de la Vigne et du Vin. Organtisation Internationle De La Vigne Et Du Vin Descriptor List for Grape Varieties and Vitis Species [M].2nd edition. Paris: Organisation Internationale de la Vigne et Du vin, 2007: 92. |
14 | 唐莎莎.无核白葡萄果实品质评价研究[D].乌鲁木齐:新疆农业大学,2013. |
TANG S S. The research on evaluation of fruit quality of the thompson seedless grape [D]. Urmpqi: Xinjiang Agricultural University, 2013. | |
15 | 中华人民共和国国家卫生健康委员会,国家市场监督管理总局. 食品安全国家标准 食品中总酸的测定: [S].北京:中国标准出版社,2021. |
16 | 高俊凤.植物生理学实验指导[M].北京:高等教育出版社,2006:203-204. |
17 | LEE C Y, JAWORSKI A W. Phenolics and browning potential of white grapes grown in New York [J]. Am. J. Enol. Vitic., 1988, 39(4): 337-340. |
18 | RAPISARDA P, TOMAINO A, CASCIO RLO, et al.. Antioxidant effectiveness as influenced by phenolic content of fresh orange juices [J]. J. Agric. Food Chem., 1999,47(11):4718-4723. |
19 | PEINADO J, LOPEZ DE LERMA N, MORENO J, et al.. Antioxidant activity of different phenolics fractions isolated in must from Pedro Ximenez grapes at different stages of the off-vine drying process [J]. Food Chem., 2009,114(3):1050-1055. |
20 | LI Y G, TANNER G, LARKIN P. The DMACA-HCl protocol and the threshold proanthocyanidin content for bloat safety in forage legumes [J]. J. Sci. Food Agric., 1996, 70: 89-101. |
21 | MERCURIO M D, DAMBERGS R G, HERDERICH M J, et al.. High throughput analysis of red wine and grape Phenolics-adaptation and validation of methyl cellulose precipitable tannin assay and modified somers color assay to a rapid 96 well plate format [J]. J. Agric. Food Chem., 2007,55(12):4651-4657. |
22 | 张妍,孙娟,包菲菲,等.大兴安岭地区蓝果忍冬果实多酚鉴定及抗氧化活性分析[J].食品科学,2023,44(12): 225-234. |
ZHANG Y, SUN J, BAO F F, et al.. Identification and bioactivity analysis of polyphenols in blue honeysuckle from different regjions of Greater khingan mountains [J]. Food Sci., 2023, 44(12): 225-234. | |
23 | BENZIE I F F, STRAIN J J.The ferric reducing ability of plasma (FRAP) as a measure of “antioxidant power” :the FRAP assay [J]. Anal. Biochem., 1996,239(1):70-76. |
24 | 白世践,郑明,户金鸽.不同植物生长调节剂对无核白葡萄及葡萄干产量和品质的影响[J].黑龙江农业科学,2023(11): 77-82. |
BAI S J, ZHENG M, HU J G. Effects of different plant growth regulators on quality and yield of Thompson Seedless grape and raisin [J]. Heilongjiang Agric. Sci., 2023(11): 77-82. | |
25 | 郑焕,季晨飞,陶建敏.GA3和CPPU对钟山红葡萄果实品质的影响[J].中国南方果树,2013,42(1):22-24. |
ZHENG H, JI C F, TAO J M. Effects of GA3 and CPPU treatments on fruit quality of ‘Zhongshanhong’ grape [J]. South China Fruits, 2013,42(1):22-24. | |
26 | SILVA P S D, KIRINUS M B M, BARRETO C F, et al.. Gibberellic acid reduces clusters rot of ‘Sauvignon blanc’ grapes [J/OL]. Rev. Bras. Frutic., 2019, 41(4): 486 [2024-02-26]. . |
27 | 刘峰娟,冯作山,孟阳,等.脱水速度对'无核白'葡萄果皮褐变和细胞超微结构的影响[J].食品科学,2016,37 (6):220-225. |
LIU F J, FENG Z S, MENG Y, et al.. Effect of dehydration rates on browning and cell ultrastructure of Thompson Seedless grapes [J]. Food Sci., 2016, 37 (6): 220-225. | |
28 | 郭春苗,伍新宇,周晓明,等.葡萄干饱满度评定指标及影响因子研究[J].新疆农业科学,2015,52(6):1033-1039. |
GUO C M, WU X Y, ZHOU X M, et al.. Study on evaluation index and impact factors of the raisins replete rate [J]. Xinjiang Agric. Sci., 2015,52(6):1033-1039. | |
29 | 李晓丽,陈计峦,范盈盈,等.无核白葡萄干制过程中酚类物质的变化及其与褐变的关系[J].食品科学,2019,40(7):27-32. |
LI X L, CHEN J L, FAN Y Y, et al.. Relationship between changes of phenolic substances and browning during drying of Thompson Seedless grapes [J]. Food Sci., 2019,40(7):27-32. | |
30 | QIN L W, WANG H, ZHANG W, et al.. Effects of different drying methods on phenolic substances and antioxidant activities of seedless raisins [J/OL]. LWT,2020,131:109807[2024-02-26]. . |
[1] | 曾建光, 刘桃李, 孙林娟, 袁定阳, 黄钰博, 金晨钟, 谭炎宁. 水稻矮秆迟抽穗突变体d534的性状及其对赤霉素的敏感性分析[J]. 中国农业科技导报, 2024, 26(3): 7-14. |
[2] | 刘超1,武云杰1,张安乾1,贺文俊1,张思琦1,陈芳1,何佳1,周方1,杨铁钊1,叶红朝2*. 外源GA3和IAA对烤烟内源激素调控效应和常规化学成分的影响[J]. 中国农业科技导报, 2019, 21(8): 153-160. |
[3] | 周宇[1] 佟兆国[2] 张开春[1] 闫国华[1]. 赤霉素在落叶果树生产中的应用[J]. , 2006, 8(2): 27-31. |
阅读次数 | ||||||
全文 |
|
|||||
摘要 |
|
|||||