中国农业科技导报 ›› 2023, Vol. 25 ›› Issue (5): 192-203.DOI: 10.13304/j.nykjdb.2021.1054
田露1(), 郭晓霞1(
), 苏文斌1, 黄春燕1, 李智1, 张鹏2, 菅彩媛1, 刘佳2, 孔德娟2, 韩康1
收稿日期:
2021-12-10
接受日期:
2022-05-10
出版日期:
2023-05-20
发布日期:
2023-07-13
通讯作者:
郭晓霞
作者简介:
田露 E-mail: tltltl_hi@126.com基金资助:
Lu TIAN1(), Xiaoxia GUO1(
), Wenbin SU1, Chunyan HUANG1, Zhi LI1, Peng ZHANG2, Caiyuan JIAN1, Jia LIU2, Dejuan KONG2, Kang HAN1
Received:
2021-12-10
Accepted:
2022-05-10
Online:
2023-05-20
Published:
2023-07-13
Contact:
Xiaoxia GUO
摘要:
针对内蒙古地区甜菜连作生长受抑制、产质量水平受限的生产现状,选取目前连作障碍防控中广泛应用的微生物肥料,设置5个肥料用量(0.250、0.375、0.500、0.625、0.750 kg·册-1),以不施肥为对照,分析连作甜菜生长发育以及产质量水平的变化,筛选适宜内蒙古地区纸筒育苗连作甜菜生产中微生物肥料的最佳用量。结果表明,微生物肥料能够提高连作甜菜成活率,降低根腐病发病率,促进连作甜菜生长。与对照相比,肥料用量0.625 kg·册-1时,2年连作甜菜成活率分别显著提高8.41%和11.06%,根腐病发病率显著降低66.48%和88.32%,株高显著增加9.67%~23.51%和4.48%~31.26%、叶面积指数显著增加28.88%~34.62%和15.24%~38.86%、茎叶干物质积累量显著增加11.51%~21.10%和21.00%~38.76%、块根干物质积累量显著增加22.32%~46.13%和34.80%~68.03%,其余施肥处理在年际间、生育期间对连作甜菜生长的影响表现不一致。微生物肥料能够提高连作甜菜产质量水平,产量和产糖量表现为0.625 kg·册-1>0.750 kg·册-1>0.500 kg·册-1>0.375 kg·册-1>0.250 kg·册-1,施肥量0.625和0.750 kg·册-1处理2年均增加显著,产量分别提高11.64%和18.29%、9.59%和14.23%,产糖量提高14.41%和24.19%、11.36%和15.96%,提高了连作甜菜种植效益。通过微生物肥料施用量与甜菜产质量的拟合,结合对甜菜生长动态和经济效益的分析,0.625 kg·册-1微生物肥料应用于纸筒育苗甜菜连作栽培中具有较好效果,为内蒙古甜菜连作障碍提供有效解决途径。
中图分类号:
田露, 郭晓霞, 苏文斌, 黄春燕, 李智, 张鹏, 菅彩媛, 刘佳, 孔德娟, 韩康. 微生物肥料对连作甜菜生长发育及产质量的影响[J]. 中国农业科技导报, 2023, 25(5): 192-203.
Lu TIAN, Xiaoxia GUO, Wenbin SU, Chunyan HUANG, Zhi LI, Peng ZHANG, Caiyuan JIAN, Jia LIU, Dejuan KONG, Kang HAN. Effects of Microbial Fertilizer on Growth, Yield and Quality of Continuous Cropping Sugar Beet[J]. Journal of Agricultural Science and Technology, 2023, 25(5): 192-203.
图1 不同处理下甜菜成活率和根腐病发病率注:同一年份不同小写字母表示处理间在P<0.05水平差异显著。
Fig. 1 Survival rate and incidence rate of root rot of sugar beet under different treatmentsNote:Different lowercase letters in same year indicate significant differences between treatments at P<0.05 level.
年份 Year | 处理 Treatment | 株高Plant height | ||||
---|---|---|---|---|---|---|
苗期 Seedling stage | 叶丛快速生长期 Rapid growth stage of foliage | 块根及糖分增长期 Root tuber and sugar growth stage | 糖分积累期 Sugar accumulation stage | 收获期 Harvest stage | ||
2018 | T0 | 25.10±0.25 e | 62.20±0.62 e | 52.80±0.53 f | 45.50±0.45 e | 32.70±0.33 d |
T1 | 28.80±0.29 d | 63.00±0.63 de | 55.00±0.55 e | 47.10±0.47 d | 35.60±0.36 c | |
T2 | 30.60±0.31 ab | 63.50±0.64 de | 56.30±0.56 d | 48.10±0.48 bc | 35.70±0.36 c | |
T3 | 29.90±0.30 c | 64.80±0.65 c | 58.70±0.59 c | 47.30±0.47 cd | 35.40±0.35 c | |
T4 | 31.00±0.31 a | 70.20±0.70 a | 61.50±0.62 a | 49.90±0.50 a | 40.00±0.40 a | |
T5 | 30.30±0.30 bc | 67.30±0.67 b | 59.80±0.60 b | 48.20±0.48 b | 37.30±0.37 b | |
2019 | T0 | 19.00±1.32 b | 53.33±1.53 d | 81.67±1.53 b | 85.33±1.53 c | 57.33±0.58 e |
T1 | 19.83±1.04 b | 62.00±3.00 c | 81.67±2.89 b | 86.33±1.15 bc | 59.33±1.15 de | |
T2 | 19.83±0.29 b | 63.67±1.15 bc | 82.00±1.73 ab | 87.67±2.89 bc | 60.00±1.00 cd | |
T3 | 20.00±1.00 b | 64.67±1.53 bc | 83.00±2.65 ab | 88.00±1.00 a | 62.33±1.53 c | |
T4 | 21.17±1.26 a | 70.00±2.65 a | 85.33±0.58 a | 90.67±0.58 a | 68.33±2.08 a | |
T5 | 19.67±1.53 b | 66.00±2.65 b | 83.33±1.53 ab | 88.67±1.53 ab | 65.00±1.00 b |
表 1 不同处理下连作甜菜的株高 (cm)
Table 1 Plant height of sugar beet under different treatments
年份 Year | 处理 Treatment | 株高Plant height | ||||
---|---|---|---|---|---|---|
苗期 Seedling stage | 叶丛快速生长期 Rapid growth stage of foliage | 块根及糖分增长期 Root tuber and sugar growth stage | 糖分积累期 Sugar accumulation stage | 收获期 Harvest stage | ||
2018 | T0 | 25.10±0.25 e | 62.20±0.62 e | 52.80±0.53 f | 45.50±0.45 e | 32.70±0.33 d |
T1 | 28.80±0.29 d | 63.00±0.63 de | 55.00±0.55 e | 47.10±0.47 d | 35.60±0.36 c | |
T2 | 30.60±0.31 ab | 63.50±0.64 de | 56.30±0.56 d | 48.10±0.48 bc | 35.70±0.36 c | |
T3 | 29.90±0.30 c | 64.80±0.65 c | 58.70±0.59 c | 47.30±0.47 cd | 35.40±0.35 c | |
T4 | 31.00±0.31 a | 70.20±0.70 a | 61.50±0.62 a | 49.90±0.50 a | 40.00±0.40 a | |
T5 | 30.30±0.30 bc | 67.30±0.67 b | 59.80±0.60 b | 48.20±0.48 b | 37.30±0.37 b | |
2019 | T0 | 19.00±1.32 b | 53.33±1.53 d | 81.67±1.53 b | 85.33±1.53 c | 57.33±0.58 e |
T1 | 19.83±1.04 b | 62.00±3.00 c | 81.67±2.89 b | 86.33±1.15 bc | 59.33±1.15 de | |
T2 | 19.83±0.29 b | 63.67±1.15 bc | 82.00±1.73 ab | 87.67±2.89 bc | 60.00±1.00 cd | |
T3 | 20.00±1.00 b | 64.67±1.53 bc | 83.00±2.65 ab | 88.00±1.00 a | 62.33±1.53 c | |
T4 | 21.17±1.26 a | 70.00±2.65 a | 85.33±0.58 a | 90.67±0.58 a | 68.33±2.08 a | |
T5 | 19.67±1.53 b | 66.00±2.65 b | 83.33±1.53 ab | 88.67±1.53 ab | 65.00±1.00 b |
图2 不同处理下的甜菜叶面积指数注:同一年份同一生育时期不同小写字母代表处理间在P<0.05水平差异显著。
Fig. 2 Leaf area index of sugar beet under different treatmentsNote:Different lowercase letters in same growth stage of the same year indicate significant differences between treatments at P<0.05 level.
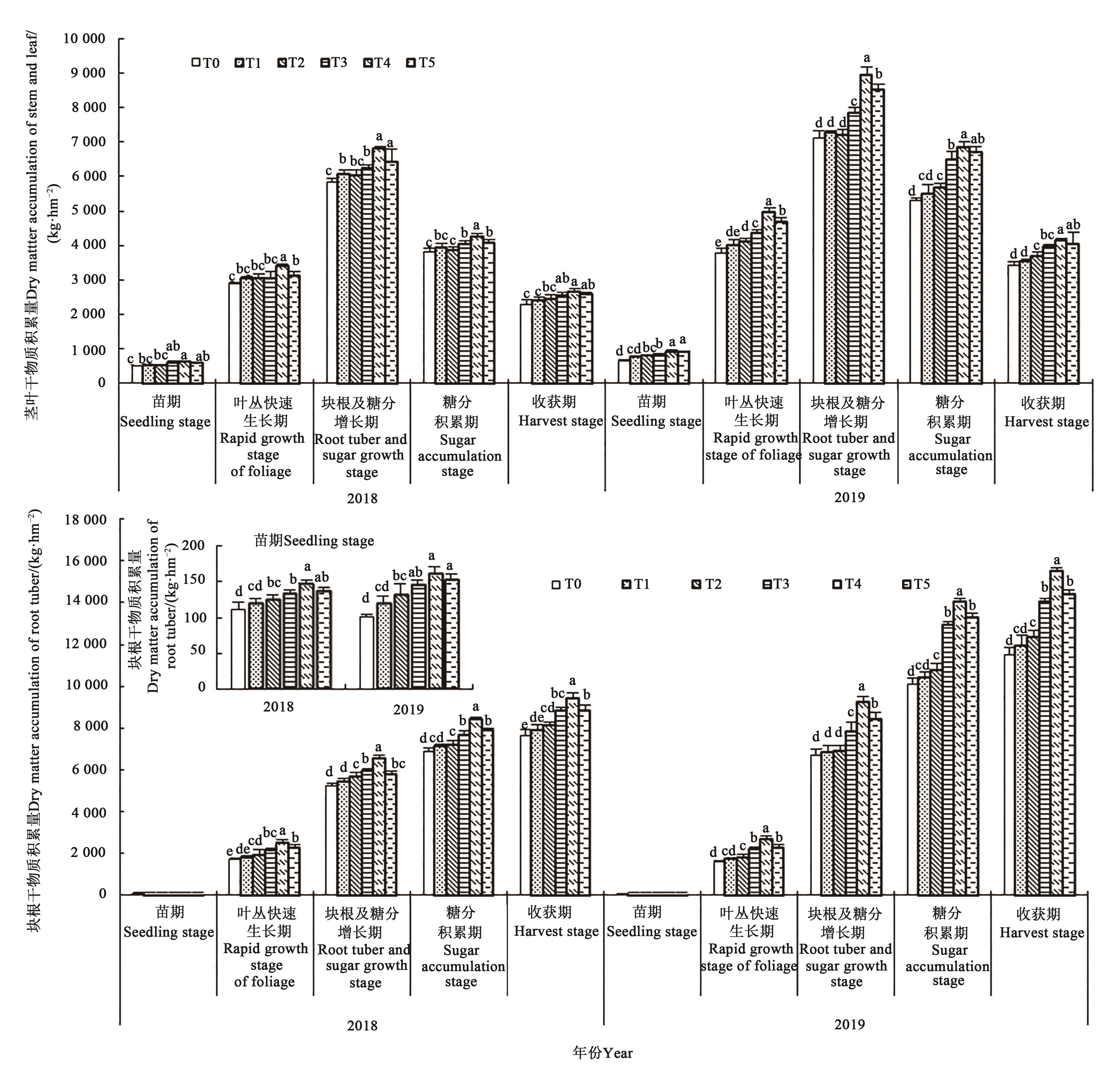
图3 不同处理下连作甜菜茎叶干物质积累量和块根干物质积累量注:同一年份同一生育时期不同小写字母代表处理间在P<0.05水平差异显著。
Fig. 3 Dry matter accumulation of stem, leaf and root tuber in sugar beet under different treatmentsNote:Different lowercase letters in same growth stage of the same year indicate significant differences between treatments at P<0.05 level.
年份 Year | 处理 Treatment | 根冠比Root shoot ratio | ||||
---|---|---|---|---|---|---|
苗期 Seedling stage | 叶丛快速生长期 Rapid growth stage of foliage | 块根及糖分增长期 Root tuber and sugar growth stage | 糖分积累期 Sugar accumulation stage | 收获期 Harvest stage | ||
2018 | T0 | 0.22±0.02 a | 0.61±0.03 c | 0.90±0.03 b | 1.81±0.01 c | 3.31±0.03 b |
T1 | 0.23±0.03 a | 0.60±0.03 c | 0.90±0.03 b | 1.79±0.05 c | 3.31±0.15 b | |
T2 | 0.23±0.01 a | 0.65±0.05 bc | 0.95±0.05 ab | 1.88±0.07 bc | 3.34±0.13 b | |
T3 | 0.23±0.02 a | 0.71±0.02 ab | 0.96±0.02 ab | 1.91±0.03 ab | 3.44±0.07 ab | |
T4 | 0.24±0.01 a | 0.76±0.04 a | 0.97±0.03 a | 1.98±0.07 a | 3.57±0.04 a | |
T5 | 0.23±0.02 a | 0.74±0.05 a | 0.91±0.06 ab | 1.95±0.07 ab | 3.44±0.04 ab | |
2019 | T0 | 0.15±0.01 a | 0.43±0.02 c | 0.94±0.02 b | 1.90±0.08 b | 3.36±0.02 b |
T1 | 0.16±0.02 a | 0.44±0.02 c | 0.95±0.04 b | 1.90±0.14 b | 3.37±0.09 b | |
T2 | 0.16±0.02 a | 0.44±0.02 c | 0.97±0.05 ab | 1.91±0.08 b | 3.37±0.06 b | |
T3 | 0.17±0.01 a | 0.51±0.02 ab | 1.00±0.02 ab | 2.01±0.08 ab | 3.56±0.05 ab | |
T4 | 0.17±0.01 a | 0.55±0.01 a | 1.04±0.06 a | 2.06±0.04 a | 3.74±0.08 a | |
T5 | 0.17±0.01 a | 0.50±0.03 b | 1.00±0.06 ab | 1.98±0.03 ab | 3.57±0.30 ab |
表2 不同处理下连作甜菜的根冠比
Table 2 Root shoot ratio of sugar beet under different treatments
年份 Year | 处理 Treatment | 根冠比Root shoot ratio | ||||
---|---|---|---|---|---|---|
苗期 Seedling stage | 叶丛快速生长期 Rapid growth stage of foliage | 块根及糖分增长期 Root tuber and sugar growth stage | 糖分积累期 Sugar accumulation stage | 收获期 Harvest stage | ||
2018 | T0 | 0.22±0.02 a | 0.61±0.03 c | 0.90±0.03 b | 1.81±0.01 c | 3.31±0.03 b |
T1 | 0.23±0.03 a | 0.60±0.03 c | 0.90±0.03 b | 1.79±0.05 c | 3.31±0.15 b | |
T2 | 0.23±0.01 a | 0.65±0.05 bc | 0.95±0.05 ab | 1.88±0.07 bc | 3.34±0.13 b | |
T3 | 0.23±0.02 a | 0.71±0.02 ab | 0.96±0.02 ab | 1.91±0.03 ab | 3.44±0.07 ab | |
T4 | 0.24±0.01 a | 0.76±0.04 a | 0.97±0.03 a | 1.98±0.07 a | 3.57±0.04 a | |
T5 | 0.23±0.02 a | 0.74±0.05 a | 0.91±0.06 ab | 1.95±0.07 ab | 3.44±0.04 ab | |
2019 | T0 | 0.15±0.01 a | 0.43±0.02 c | 0.94±0.02 b | 1.90±0.08 b | 3.36±0.02 b |
T1 | 0.16±0.02 a | 0.44±0.02 c | 0.95±0.04 b | 1.90±0.14 b | 3.37±0.09 b | |
T2 | 0.16±0.02 a | 0.44±0.02 c | 0.97±0.05 ab | 1.91±0.08 b | 3.37±0.06 b | |
T3 | 0.17±0.01 a | 0.51±0.02 ab | 1.00±0.02 ab | 2.01±0.08 ab | 3.56±0.05 ab | |
T4 | 0.17±0.01 a | 0.55±0.01 a | 1.04±0.06 a | 2.06±0.04 a | 3.74±0.08 a | |
T5 | 0.17±0.01 a | 0.50±0.03 b | 1.00±0.06 ab | 1.98±0.03 ab | 3.57±0.30 ab |
图 4 不同处理下连作甜菜的产质量注:同一年份不同小写字母代表处理间在P<0.05水平差异显著。
Fig. 4 Yield and quality of sugar beet under different treatmentsNote:Different lowercase letters of the same year indicate significant differences between treatments at P<0.05 level.
指标 Index | 根腐病 发病率 Incidence rate of root rot | 株高 Plant height | 叶面积 指数 Leaf area index | 茎叶干物质积累量 Dry matter of stem and leaf | 块根干物质积累量 Dry matter of root tuber | 根冠比 Root shoot ratio | 含糖率 Sugar content | 产量 Yield | 产糖量 Sugar yield |
---|---|---|---|---|---|---|---|---|---|
成活率 Survival rate | -0.354* | 0.020 | 0.218 | 0.084 | 0.161 | 0.114 | 0.065 | 0.182 | 0.146 |
根腐病发病率 Incidence rate of root rot | -0.788** | -0.856** | -0.793** | -0.849** | -0.697** | -0.737** | -0.827** | -0.812** | |
株高 Plant height | 0.885** | 0.979** | 0.972** | 0.458** | 0.966** | 0.932** | 0.964** | ||
叶面积指数 Leaf area index | 0.874** | 0.906** | 0.590** | 0.882** | 0.894** | 0.910** | |||
茎叶干物质积累量 Dry matter of stem and leaf | 0.981** | 0.412* | 0.957** | 0.934** | 0.963** | ||||
块根干物质积累量 Dry matter of root tuber | 0.575** | 0.943** | 0.951** | 0.971** | |||||
根冠比 Root shoot ratio | 0.399* | 0.559** | 0.520** | ||||||
含糖率 Sugar content | 0.907** | 0.959** | |||||||
产量 Yield | 0.989** |
表3 微生物肥料施用下连作甜菜生长特性与产质量的相关性
Table 3 Correlation analysis of sugar beet plant characteristics and yield trait under using microbial fertilizer
指标 Index | 根腐病 发病率 Incidence rate of root rot | 株高 Plant height | 叶面积 指数 Leaf area index | 茎叶干物质积累量 Dry matter of stem and leaf | 块根干物质积累量 Dry matter of root tuber | 根冠比 Root shoot ratio | 含糖率 Sugar content | 产量 Yield | 产糖量 Sugar yield |
---|---|---|---|---|---|---|---|---|---|
成活率 Survival rate | -0.354* | 0.020 | 0.218 | 0.084 | 0.161 | 0.114 | 0.065 | 0.182 | 0.146 |
根腐病发病率 Incidence rate of root rot | -0.788** | -0.856** | -0.793** | -0.849** | -0.697** | -0.737** | -0.827** | -0.812** | |
株高 Plant height | 0.885** | 0.979** | 0.972** | 0.458** | 0.966** | 0.932** | 0.964** | ||
叶面积指数 Leaf area index | 0.874** | 0.906** | 0.590** | 0.882** | 0.894** | 0.910** | |||
茎叶干物质积累量 Dry matter of stem and leaf | 0.981** | 0.412* | 0.957** | 0.934** | 0.963** | ||||
块根干物质积累量 Dry matter of root tuber | 0.575** | 0.943** | 0.951** | 0.971** | |||||
根冠比 Root shoot ratio | 0.399* | 0.559** | 0.520** | ||||||
含糖率 Sugar content | 0.907** | 0.959** | |||||||
产量 Yield | 0.989** |
年份 Year | 处理 Treatment | 生产成本/(元·hm-2) Production costs/(yuan·hm-2) | 产值/(元·hm-2) Output value/ (yuan·hm-2) | 经济效益/(元·hm-2) Economic performance/ (yuan·hm-2) | 增加收入/(元·hm-2) Increased income/ (yuan·hm-2) | 增加百分比 Percentage increase/% | |
---|---|---|---|---|---|---|---|
微生物肥料 Microbial fertilizer | 其他 Others | ||||||
2018 | T0 | 0.00 | 18 000.00 | 25 055.02 | 7 055.02 | — | — |
T1 | 300.00 | 25 408.53 | 7 108.53 | 53.51 | 0.76 | ||
T2 | 450.00 | 25 709.01 | 7 259.01 | 203.99 | 2.89 | ||
T3 | 600.00 | 26 628.14 | 8 028.14 | 973.12 | 13.79 | ||
T4 | 750.00 | 27 971.48 | 9 221.48 | 2 166.46 | 30.71 | ||
T5 | 900.00 | 27 458.89 | 8 558.89 | 1 503.87 | 21.32 | ||
2019 | T0 | 0.00 | 18 000.00 | 29 323.65 | 11 323.65 | — | — |
T1 | 300.00 | 31 471.23 | 13 171.23 | 1 847.57 | 16.32 | ||
T2 | 450.00 | 31 762.87 | 13 312.87 | 1 989.22 | 17.57 | ||
T3 | 600.00 | 32 656.37 | 14 056.37 | 2 732.72 | 24.13 | ||
T4 | 750.00 | 34 688.17 | 15 938.17 | 4 614.51 | 40.75 | ||
T5 | 900.00 | 33 495.07 | 14 595.07 | 3 271.42 | 28.89 |
表4 甜菜经济效益分析
Table 4 Economic benefit analysis of sugar beet
年份 Year | 处理 Treatment | 生产成本/(元·hm-2) Production costs/(yuan·hm-2) | 产值/(元·hm-2) Output value/ (yuan·hm-2) | 经济效益/(元·hm-2) Economic performance/ (yuan·hm-2) | 增加收入/(元·hm-2) Increased income/ (yuan·hm-2) | 增加百分比 Percentage increase/% | |
---|---|---|---|---|---|---|---|
微生物肥料 Microbial fertilizer | 其他 Others | ||||||
2018 | T0 | 0.00 | 18 000.00 | 25 055.02 | 7 055.02 | — | — |
T1 | 300.00 | 25 408.53 | 7 108.53 | 53.51 | 0.76 | ||
T2 | 450.00 | 25 709.01 | 7 259.01 | 203.99 | 2.89 | ||
T3 | 600.00 | 26 628.14 | 8 028.14 | 973.12 | 13.79 | ||
T4 | 750.00 | 27 971.48 | 9 221.48 | 2 166.46 | 30.71 | ||
T5 | 900.00 | 27 458.89 | 8 558.89 | 1 503.87 | 21.32 | ||
2019 | T0 | 0.00 | 18 000.00 | 29 323.65 | 11 323.65 | — | — |
T1 | 300.00 | 31 471.23 | 13 171.23 | 1 847.57 | 16.32 | ||
T2 | 450.00 | 31 762.87 | 13 312.87 | 1 989.22 | 17.57 | ||
T3 | 600.00 | 32 656.37 | 14 056.37 | 2 732.72 | 24.13 | ||
T4 | 750.00 | 34 688.17 | 15 938.17 | 4 614.51 | 40.75 | ||
T5 | 900.00 | 33 495.07 | 14 595.07 | 3 271.42 | 28.89 |
1 | 李楠. 我国甜菜糖产业发展问题研究及建议基于对内蒙古甜菜产区实地调研[J]. 农业与技术, 2021, 41(2):151-154. |
LI N. Research and suggestions on the development of beet sugar industry in China-based on the field investigation of sugar beet producing areas in Inner Mongolia [J]. Agric. Technol., 2021, 41(2):151-154. | |
2 | 羽凡. 中国食糖产业现状[J]. 福建轻纺, 2014(2): 21-23. |
YU F. The status quo of China’s sugar industry [J]. Light Textile Industries Fujian, 2014(2): 21-23. | |
3 | MOHAMMAD A D, MOHAMMAD A. Effect of the nitrogen rate and weed control treatments on the quantitative and qualitative yield of sugar beet [J]. Russ. Agric. Sci., 2019,45: 423-429. |
4 | 陈艺文, 李用财, 余凌羿, 等. 中国三大主产区甜菜糖业发展分析[J]. 中国糖料, 2017, 39(4):74-76. |
CHEN Y W, LI Y C, YU L Y, et al.. Analysis on the development of sugar beet industry in China’s three main producing areas [J]. Chin. Sug., 2017, 39(4): 74-76. | |
5 | 李智, 樊福义, 郭晓霞, 等. 减量施肥下甜菜产量及经济效益分析[J]. 北方农业学报, 2020, 48 (4):60-66. |
LI Z, FAN F Y, GUO X X, et al.. Analysis of yield and economic benefit of sugar beet under reduced fertilization [J]. J. North Agric., 2020, 48 (4):60-66. | |
6 | 高宝军. 内蒙古甜菜产业发展及对策研究[D]. 北京:中国农业科学院, 2012. |
GAO B J. Research on the development and countermeasures of sugar beet industry in Inner Mongolia [D]. Beijing: Chinese Academy of Agricultural Sciences, 2012. | |
7 | 李满红, 王远斌, 银赛, 等.依靠科技创新助推糖业发展——十三五时期内蒙古甜菜糖业步入健康发展快车道[J]. 中国糖料, 2016, 38(5): 69-72. |
LI M H, WANG Y B, YIN S, et al.. Relying on scientific and technological innovation to boost the development of sugar industry—Inner Mongolia’s sugar beet and sugar industry has entered the fast lane of healthy development during the 13th Five-Year plan period [J]. Chin. Sug., 2016, 38(5): 69-72. | |
8 | 管怀明, 朱彦明. 不同前茬对甜菜产质量的影响[J].中国糖料, 1998(4): 27-29. |
GUAN H M, ZHU Y M. Effects of different previous crops on yield and quality of sugar beet [J]. Chin. Sug., 1998(4): 27-29. | |
9 | 魏良民, 冯建忠. 连作对甜菜生长和块根产量及含糖的影响[J].中国糖料, 1999(3): 20-22. |
WEI L M, FENG J Z. Effects of continuous cropping on sugar beet growth, root tuber yield and sugar content [J]. Chin. Sug., 1999(3): 20-22. | |
10 | 林柏森, 张福顺, 吴玉梅.重茬对甜菜品质的影响研究[J]. 中国农学通报, 2016, 32(6):81-85. |
LIN B S, ZHANG F S, WU Y M. Effect of continuous cropping on sugar beet quality [J]. Chin. Agric. Sci. Bull., 2016, 32(6):81-85. | |
11 | 秦生巨. 微生物生态制剂的概念及种类[J]. 水产科技情报, 2008, 35(1): 33-35. |
QIN S J. Conception and kind of microbial ecological agents [J]. Fish. Sci. Tech. Infor., 2008,35(1): 33-35. | |
12 | 李倩, 张常兴, 程玉渊, 等. 微生态制剂对烤烟连作土壤酶活性及其产量的影响[J]. 贵州农业科学, 2019, 47(1): 43-48. |
LI Q, ZHANG C X, CHENG Y Y, et al.. Effects of microecological preparation on soil enzyme activity and tobacco yield in continuous cropping tobacco field [J]. Guizhou Agric. Sci., 2019, 47(1): 43-48. | |
13 | 刘锦霞, 李娜, 李晶, 等. 多效微生物制剂对甘肃干旱区马铃薯连作土壤生态及产量的影响[J]. 土壤通报, 2019, 50(3): 675-682. |
LIU J X, LI N, LI J, et al.. Effects of multiple microbial agents on the soil ecology and crop yield under continuous potato cropping in the arid area of Gansu [J]. Chin. J. Soil Sci., 2019, 50(3): 675-682. | |
14 | 舒秀丽, 赵柳, 孙学振,等. 不同土壤改良剂处理对连作西洋参根际微生物数量、土壤酶活性及产量的影响[J]. 中国生态农业学报, 2011, 19(6): 1289-1294. |
SHU X L, ZHAO L, SUN X Z, et al.. Effects of soil amendments on rhizosphere microbial number, soil enzyme activity and yield of continuous cropped American ginseng [J]. Chin. J. Eco-Agric., 2011, 19(6): 1289-1294. | |
15 | 齐会岩, 奥岩松. 微生物制剂对连作西瓜生长和果实品质的影响[J]. 北方园艺, 2009(7):7-10. |
QI H Y, AO Y S. Effect of different microbial amendments on the growth and fruit qualities of watermelon continuous cropping [J]. Northern Hortic., 2009(7):7-10. | |
16 | 张根伟, 张丽萍, 李书生, 等. 复合土壤微生态制剂在连作花生上的应用效果[J]. 河南农业科学, 2012, 41(9):47-49, 62. |
ZHANG G W, ZHANG L P, LI S S, et al.. Control effects of complex bio-agent on peanut replant disease [J]. Henan Agric. Sci., 2012, 41(9):47-49, 62. | |
17 | 曲嫣红, 宋柏权, 王孝纯, 等. 农业微生态制剂对垄作甜菜块根产量及品质的影响[J]. 中国糖料, 2018, 40(6): 47-49. |
QU Y H, SONG B Q, WANG X C, et al.. Effect of agriculture microbial ecological agents on root yield and quality of sugar beet in ridge culture [J]. Chin. Sug., 2018, 40(6): 47-49. | |
18 | 郭晓霞, 田露, 樊福义,等. 微生态制剂对重茬甜菜根腐病防控及产质量水平提升的影响[J].西北农业学报, 2019, 28(9): 1460-1468. |
GUO X X, TIAN L, FAN F Y, et al.. Effect of micriobial ecological agents on control of root rot and improvement of yield and quality of sugar beet [J]. Acta Agri. Bor-Occid. Sin., 2019, 28(9): 1460-1468. | |
19 | 李天来,杨丽娟.作物连作障碍的克服——难解的问题[J]. 中国农业科学, 2016, 49(5): 916-918. |
LI T L, YANG L J. Overcoming continuous cropping obstacles—the difficult problem [J]. Sci. Agric. Sin., 2016, 49(5): 916-918. | |
20 | AGUSTI L, BONATERRA A, MORAGREGA C, et al.. Biocontrol of root rot of strawberry caused by phytophthora cactorum with a combination of two pseudomonas fluorescens strains [J]. J. Plant Pathol., 2011, 93:363-372. |
21 | 汪雪静,卜春亚,靳永胜,等. 草莓根腐病菌拮抗细菌的分离与鉴定[J]. 园艺学报, 2011, 38(9):1657-1666. |
WANG X J, BU C Y, JIN Y S, et al.. Identification and inhibitory effects of antagonistic bacteria against strawberry root rot (Fusarium oxysporum) [J]. Acta Hortic. Sin., 2011, 38(9):1657-1666. | |
22 | 申光辉, 薛泉宏, 陈秦, 等.硅酸钾与密旋链霉菌Act12菌剂配施对连作草莓生长、果实产量及品质的影响[J]. 中国生态农业学报, 2012, 20(3):315-321. |
SHEN G H, XUE Q H, CHEN Q, et al.. Effects of combined application of potassium silicate and Streptomyces pctum bio-control agents on growth, yield and quality of strawberry under continuous cropping in greenhouse [J]. Chin. J. Eco-Agric., 2012, 20(3):315-321. | |
23 | DEGENKOL T, VILCINSKAS A. Metabolites from nematophagous fungi and nematicidal natural products from fungi as an alternative for biological control. Part i: metabolites from nematophagous ascomycetes [J]. Appl. Microbilo. Biot., 2016, 100(9): 3799-3812. |
24 | MICROBIOL J, PRIYA E, THENMOZHI R, et al.. Antagonistic potential of streptomyces flavomacrosporus gacmpt-57 against plant pathogens [J]. J. Microb. Biot., 2017,4(4): 68-73. |
25 | 麻耀华, 尹淑丽, 张丽萍, 等. 复合微生态制剂对黄瓜根际土壤微生物数量和酶活性的影响[J]. 植物保护, 2012, 38(2): 46-50. |
MA Y H, YIN S L, ZHANG L P, et al.. Effects of complex microbial agent on microorganism population and soil enzyme activity in the cucumber rhizosphere soil [J]. Plant Prot., 2012, 38(2): 46-50. | |
26 | 戴美松, 王月志, 蔡丹英, 等. 我国微生物菌肥登记现状及其在果树减肥增效中的应用[J]. 浙江农业科学, 2021, 62(2): 241-246. |
DAI M S, WANG Y Z, CAI D Y, et al.. Current situation of microbial fertilizer registration in China and its application in fruit tree weight loss and efficiency [J]. Zhejiang Agric. Sci., 2021, 62(2): 241-246. | |
27 | 张彩凤. 生防菌枯草芽孢杆菌的研究进展[J]. 现代农村科技, 2015(21):47. |
ZHANG C F. Research progress of biocontrol bacterium bacillus subtilis [J]. Mod. Agric. Sci., 2015(21):47. | |
28 | 龚杰, 江其朋, 谭茜.不同用量复合微生物菌剂基质拌菌对烟草生长及青枯病发生的影响[J]. 植物医生, 2020, 33(3):50-54. |
GONG J, JIANG Q P, TAN Q. Effects of mixing the seedling-nursing substrate with different doses of a composite micro organism agent on tobacco growth and control of tobacco bacteria wilt [J]. Plant Doc., 2020, 33(3):50-54. | |
29 | CHENG H Y, ZHANG D Q, HUANG B, et al.. Organic fertilizer improves soil fertility and restores the bacterial community after 1,3-dichloropropene fumigation [J/OL]. Sci. Total Environ., 2020, 738:140345 [2021-12-09]. . |
30 | 周培, 黄锦法, 陆贻通, 等.微生态制剂SC27对作物生长和土壤环境的影响[J]. 上海交通大学学报(农业科学版), 2002, 20(4):332-336. |
ZHOU P, HUANG J F, LU Y T, et al.. Effects of microecology agent for crop growth and soil environment [J]. Shanghai Jiaotong Univ. (Agric. Sci.), 2002, 20(4):332-336. | |
31 | 黄春燕, 苏文斌, 张少英,等.施钾量对膜下滴灌甜菜光合性能以及对产量和品质的影响[J]. 作物学报, 2018, 44(10):1496-1505. |
HUANG C Y, SU W B, ZHANG S Y, et al.. Effects of potassium application on photosynthetic performance, yield, and quality of sugar beet with mulching-drip irrigation [J]. Acta Agron. Sin., 2018, 44(10): 1496-1505. | |
32 | 撖冬荣, 姚拓, 李海云, 等. 微生物肥料与化肥减量配施对多年生黑麦草生长的影响[J]. 草业学报, 2022, 31(3):136-143. |
HAN D R, YAO T, LI H Y, et al.. Effects of combined application of microbial fertilizer and chemical fertilizer on the growth of Lolium perenne [J]. Acta Pratac. Sin., 2022, 31(3):136-143. |
[1] | 黄娟娟, 张志强, 毛娟, 马宗桓, 陈佰鸿. 不同叶面肥对‘黑比诺’葡萄生长发育和果实品质的影响[J]. 中国农业科技导报, 2025, 27(6): 205-217. |
[2] | 段俊雅, 赵园园, 王婷婷, 韦建玉, 王政, 王德勋, 李娟, 史宏志. 减氮配施聚天冬氨酸对烤烟氮素利用及产质量的影响[J]. 中国农业科技导报, 2025, 27(3): 227-238. |
[3] | 熊橙梁, 张庆富, 姚未远, 夏滔, 许庆平, 周喜新, 张毅, 陈丽鹃, 杨柳. 添加不同类型水稻秸秆对植烟连作土壤微生物群落的影响[J]. 中国农业科技导报, 2025, 27(1): 233-240. |
[4] | 张继东, 张亚雄, 程伟, 蒲莉, 柳路行, 王亚明. 生物质炭和有机肥配施对苹果重茬育苗地土壤理化性质和微生物群落特征的影响[J]. 中国农业科技导报, 2024, 26(8): 213-222. |
[5] | 周喜新, 袁世林, 杨柳, 夏滔, 张毅, 范伟. 连作烟草根系分泌物鉴定及潜在化感物质的筛选研究[J]. 中国农业科技导报, 2024, 26(7): 136-146. |
[6] | 谢勇俊, 潘小卓, 陈福慧, 尹凯波, 金嘉悦, 王一兵. 人参酚酸类自毒物质降解菌的筛选鉴定及生防研究[J]. 中国农业科技导报, 2024, 26(7): 147-155. |
[7] | 蒲子天, 王红, 赵斌, 王鑫鑫. 不同土壤改良物料对连作黄芩生长及土壤酶活性的影响[J]. 中国农业科技导报, 2024, 26(7): 189-198. |
[8] | 马力, 曹婷婷, 范又维, 任志雨, 刘春, 袁素霞. 不同生根试剂对微型盆栽月季扦插生根的影响[J]. 中国农业科技导报, 2024, 26(7): 50-60. |
[9] | 彭守华, 许铭铭, 尉继强, 梁丽君, 叶全, 迟晓元, 张少峰, 董向丽. 生物菌肥FBR1不同施用方式对花生生长发育及产量的影响[J]. 中国农业科技导报, 2024, 26(6): 200-205. |
[10] | 杨智敏, 张慧豪, 张园园, 杜红岩, 刘晓东, 侯亚光, 王毅, 徐道龙, 黄金贵, 程晓宁, 随洋, 王瑞利, 于超, 赵玲玲, 陈春梅, 雅茹, 贾丽, 张明月, 王宏伟, 姚淞耀, 赵莹, 邵科. 娄彻氏链霉菌HM85的鉴定及其对甜菜的防病促生作用[J]. 中国农业科技导报, 2024, 26(5): 148-155. |
[11] | 杜洋洋, 包媛媛, 刘项宇, 张新永. 荞麦轮作对云南栽培马铃薯根际土壤酶活和微生物的影响[J]. 中国农业科技导报, 2024, 26(5): 192-200. |
[12] | 樊娅萍, 宋柏权, 王倡宪. 土壤灭菌与丛枝菌根真菌在缓解连作障碍中的研究进展[J]. 中国农业科技导报, 2024, 26(10): 158-167. |
[13] | 杨圣艳, 曹漫, 郭宝石, 杨超, 侯智霞. 不同铁环境对蓝莓生长及叶片叶绿素荧光特性的影响[J]. 中国农业科技导报, 2024, 26(1): 52-62. |
[14] | 杜彩艳, 鲁海燕, 熊艳竹, 孙曦, 孙秀梅, 普继雄, 张乃明. 连续两年沼液与化肥配施对桃生长及土壤理化性质的影响[J]. 中国农业科技导报, 2023, 25(8): 165-175. |
[15] | 金鑫, 张璐, 吴鹏, 李萍, 谭伟, 桂明英. 遮光处理对盆景灵芝生长发育和酶活性的影响[J]. 中国农业科技导报, 2023, 25(4): 147-156. |
阅读次数 | ||||||
全文 |
|
|||||
摘要 |
|
|||||