中国农业科技导报 ›› 2023, Vol. 25 ›› Issue (4): 147-156.DOI: 10.13304/j.nykjdb.2021.0782
金鑫1(), 张璐1, 吴鹏2, 李萍1, 谭伟3, 桂明英2(
)
收稿日期:
2021-09-06
接受日期:
2022-05-07
出版日期:
2023-04-01
发布日期:
2023-06-26
通讯作者:
桂明英
作者简介:
金鑫 E-mail:1535002186@qq.com;
基金资助:
Xin JIN1(), Lu ZHANG1, Peng WU2, Ping LI1, Wei TAN3, Mingying GUI2(
)
Received:
2021-09-06
Accepted:
2022-05-07
Online:
2023-04-01
Published:
2023-06-26
Contact:
Mingying GUI
摘要:
为探究遮光处理对盆景灵芝生长发育和不同生长时期子实体活性成分含量及相关酶活性的影响,以‘盆景灵芝3号’为研究菌株,采用不同密度遮阳网来控制光照强度,设置0%(自然光照,T0)、50%(T1)、70%(T2)和90%遮阳率(T3)共4个处理,分析不同遮光处理下盆景灵芝的农艺性状和不同生长期内多糖、三萜、可溶性蛋白含量及相关酶活性的变化。结果表明,T2处理灵芝出原基时间提前,原基个数增加;且成熟期灵芝菌盖为金黄色,颜色鲜亮有光泽、整齐度好,优于其他处理;同时多糖含量最高。T0处理灵芝菌盖的直径、厚度和菌柄长度及产量均表现较差;且在灵芝生长的4个时期中多糖含量最低,可溶性蛋白含量最高。随着遮阳率的增加,灵芝木质素酶活性逐渐增大,漆酶在原基期时活性最低,锰过氧化物酶在原基期活性最高。T2处理灵芝超氧化物歧化酶、过氧化物酶和过氧化氢酶活性均显著高于其他处理。综上所述,光照强度不仅影响灵芝的生长发育,还会影响灵芝的次生代谢物含量和酶活性变化,自然光照对灵芝有较强的胁迫作用,易激发灵芝体内产生活性氧,使得抗氧化酶活性急剧升高,间接降低了木质素酶的催化活性,因此,70%遮阳率更有利于盆景灵芝的生长发育。
中图分类号:
金鑫, 张璐, 吴鹏, 李萍, 谭伟, 桂明英. 遮光处理对盆景灵芝生长发育和酶活性的影响[J]. 中国农业科技导报, 2023, 25(4): 147-156.
Xin JIN, Lu ZHANG, Peng WU, Ping LI, Wei TAN, Mingying GUI. Effects of Shading Treatment on Growth and Enzyme Activity of Bonsai Ganoderma lucidum[J]. Journal of Agricultural Science and Technology, 2023, 25(4): 147-156.
序号 Number | 生长期 Growth period | 特征 Character |
---|---|---|
S1 | 原基形成期 Primordium formation stage | 白色瘤状物 White tumor |
S2 | 菌柄形成期 Stipe formation stage | 菌柄长8~10 cm,菌盖准备开始分化 Stipe is 8~10 cm long, and the cap is ready to differentiate |
S3 | 菌盖分化期 Cap differentiation stage | 子实体边缘白色,中间黄色 Fruiting body is white at the edge and yellow in the middle |
S4 | 子实体成熟期 Fruiting body maturity | 菌盖表面黄色,边缘白色全部消失,并有少量孢子粉喷出 Surface of the cap is yellow, the edge is white, all disappear, and a small amount of spore powder ejects |
表1 盆景灵芝不同生长期特征
Table 1 Characteristics of different growth periods of bonsai Ganoderma lucidum
序号 Number | 生长期 Growth period | 特征 Character |
---|---|---|
S1 | 原基形成期 Primordium formation stage | 白色瘤状物 White tumor |
S2 | 菌柄形成期 Stipe formation stage | 菌柄长8~10 cm,菌盖准备开始分化 Stipe is 8~10 cm long, and the cap is ready to differentiate |
S3 | 菌盖分化期 Cap differentiation stage | 子实体边缘白色,中间黄色 Fruiting body is white at the edge and yellow in the middle |
S4 | 子实体成熟期 Fruiting body maturity | 菌盖表面黄色,边缘白色全部消失,并有少量孢子粉喷出 Surface of the cap is yellow, the edge is white, all disappear, and a small amount of spore powder ejects |
图1 盆景灵芝生长的不同时期A:原基形成期;B:菌柄形成期;C:菌盖分化期;D:子实体成熟期
Fig. 1 Different periods of bonsai Ganoderma lucidum growthA: Primordium formation stage; B: Stipe formation stage; C: Cap differentiation stage; D: Fruiting body maturation stage
处理 Treatment | 原基形成时间 Primordium formation time/d | 原基数量 Primordial number | 菌盖形状 Pileus shape | 菌盖颜色 Cap color | 菌盖光泽度 Cap glossiness |
---|---|---|---|---|---|
T0 | 8.56±0.12 a | 113.50±7.38 b | 不规则、畸形 Irregularity, deformity | 浅黄色 Light yellow | 差 No luster |
T1 | 7.48±0.09 b | 139.65±9.21 a | 朵形、较整齐 Flower shape, relatively neat | 黄色 Yellow | 较好 Glossy |
T2 | 7.45±0.14 b | 140.58±8.69 a | 朵形、整齐 Flower shape, tidiness | 金黄色 Golden | 好 Good gloss |
T3 | 7.45±0.11 b | 137.23±10.25 a | 朵形、不整齐 Flower shape, irregularity | 暗褐色/红色 Dark brown/red | 一般 Little gloss |
表2 不同处理下盆景灵芝子实体的生长发育
Table 2 Growth and development of bonsai Ganoderma lucidum fruiting bodies under different treatments
处理 Treatment | 原基形成时间 Primordium formation time/d | 原基数量 Primordial number | 菌盖形状 Pileus shape | 菌盖颜色 Cap color | 菌盖光泽度 Cap glossiness |
---|---|---|---|---|---|
T0 | 8.56±0.12 a | 113.50±7.38 b | 不规则、畸形 Irregularity, deformity | 浅黄色 Light yellow | 差 No luster |
T1 | 7.48±0.09 b | 139.65±9.21 a | 朵形、较整齐 Flower shape, relatively neat | 黄色 Yellow | 较好 Glossy |
T2 | 7.45±0.14 b | 140.58±8.69 a | 朵形、整齐 Flower shape, tidiness | 金黄色 Golden | 好 Good gloss |
T3 | 7.45±0.11 b | 137.23±10.25 a | 朵形、不整齐 Flower shape, irregularity | 暗褐色/红色 Dark brown/red | 一般 Little gloss |
处理 Group | 菌盖直径 Cap diameter/cm | 菌盖厚度 Pileus thickness/cm | 菌柄长度 Stipe length/cm | 产量(干重) Yield (dry weight)/kg |
---|---|---|---|---|
T0 | 9.82±0.82 d | 1.13±0.12 d | 5.34±0.52 d | 14.25±1.23 d |
T1 | 14.37±1.17 b | 1.56±0.13 b | 7.56±0.56 b | 18.57±1.78 b |
T2 | 18.45±1.34 a | 1.85±0.16 a | 8.86±0.74 a | 26.35±2.04 a |
T3 | 13.65±1.41 c | 1.37±0.15 c | 6.34±1.13 c | 15.58±1.52 c |
表3 不同处理下盆景灵芝的农艺性状和产量
Table 3 Agronomic characteristics and yield of bonsai Ganodermalucidum under different treatments
处理 Group | 菌盖直径 Cap diameter/cm | 菌盖厚度 Pileus thickness/cm | 菌柄长度 Stipe length/cm | 产量(干重) Yield (dry weight)/kg |
---|---|---|---|---|
T0 | 9.82±0.82 d | 1.13±0.12 d | 5.34±0.52 d | 14.25±1.23 d |
T1 | 14.37±1.17 b | 1.56±0.13 b | 7.56±0.56 b | 18.57±1.78 b |
T2 | 18.45±1.34 a | 1.85±0.16 a | 8.86±0.74 a | 26.35±2.04 a |
T3 | 13.65±1.41 c | 1.37±0.15 c | 6.34±1.13 c | 15.58±1.52 c |
性状Trait | 时期 Stage | T0 | T1 | T2 | T3 |
---|---|---|---|---|---|
多糖含量 Polysaccharide content/% | S1 | 0.52±0.02 b | 0.56±0.01 a | 0.62±0.04 a | 0.55±0.01 a |
S2 | 0.78±0.04 b | 0.92±0.08 a | 0.88±0.07 a | 0.86±0.07 a | |
S3 | 1.57±0.03 c | 1.78±0.02 b | 1.93±0.03 a | 1.96±0.01 ab | |
S4 | 1.73±0.04 c | 1.85±0.05 b | 2.01±0.04 a | 1.97±.06 ab | |
三萜含量 Triterpene content/% | S1 | 0.71±0.02 ab | 0.65±0.01 b | 0.78±0.03 a | 0.63±0.01 b |
S2 | 0.57±0.01 b | 0.72±0.02 a | 0.68±0.04 a | 0.55±0.01 b | |
S3 | 0.83±0.03 b | 0.86±0.03 ab | 0.92±0.01 a | 0.71±0.02 c | |
S4 | 0.86±0.06 b | 0.93±0.04 a | 1.02±0.02 a | 0.78±0.03 c | |
可溶性蛋白含量 Soluble protein content/(mg·g-1) | S1 | 7.95±0.21 a | 7.85±0.15 a | 5.68±0.12 b | 2.56±0.08 c |
S2 | 12.58±0.27 a | 11.36±0.32 b | 8.94±0.15 c | 4.58±0.11 d | |
S3 | 22.36±0.75 a | 21.34±0.56 a | 12.58±0.33 b | 7.24±0.25 c | |
S4 | 20.50±0.76 a | 16.58±0.71 b | 10.26±0.53 c | 5.36±0.42 d |
表4 不同处理下盆景灵芝额活性成分含量
Table 4 Contents of active ingredients of bonsai Ganoderma lucidum under different treatments
性状Trait | 时期 Stage | T0 | T1 | T2 | T3 |
---|---|---|---|---|---|
多糖含量 Polysaccharide content/% | S1 | 0.52±0.02 b | 0.56±0.01 a | 0.62±0.04 a | 0.55±0.01 a |
S2 | 0.78±0.04 b | 0.92±0.08 a | 0.88±0.07 a | 0.86±0.07 a | |
S3 | 1.57±0.03 c | 1.78±0.02 b | 1.93±0.03 a | 1.96±0.01 ab | |
S4 | 1.73±0.04 c | 1.85±0.05 b | 2.01±0.04 a | 1.97±.06 ab | |
三萜含量 Triterpene content/% | S1 | 0.71±0.02 ab | 0.65±0.01 b | 0.78±0.03 a | 0.63±0.01 b |
S2 | 0.57±0.01 b | 0.72±0.02 a | 0.68±0.04 a | 0.55±0.01 b | |
S3 | 0.83±0.03 b | 0.86±0.03 ab | 0.92±0.01 a | 0.71±0.02 c | |
S4 | 0.86±0.06 b | 0.93±0.04 a | 1.02±0.02 a | 0.78±0.03 c | |
可溶性蛋白含量 Soluble protein content/(mg·g-1) | S1 | 7.95±0.21 a | 7.85±0.15 a | 5.68±0.12 b | 2.56±0.08 c |
S2 | 12.58±0.27 a | 11.36±0.32 b | 8.94±0.15 c | 4.58±0.11 d | |
S3 | 22.36±0.75 a | 21.34±0.56 a | 12.58±0.33 b | 7.24±0.25 c | |
S4 | 20.50±0.76 a | 16.58±0.71 b | 10.26±0.53 c | 5.36±0.42 d |
图3 不同处理下盆景灵芝的木质素酶活性注:同一时期不同小写字母表示不同处理间在P<0.05水平差异显著。
Fig. 3 Ligninase activity of bonsai Ganoderma lucidum under different treatmentsNote:Different lowercase letters in same stage indicate significant differences between different treatments at P<0.05 level.
图4 不同处理下盆景灵芝的SOD活性注:同一时期不同小写字母表示不同处理间在P<0.05水平差异显著。
Fig. 4 SOD activity of bonsai Ganoderma lucidum under different treatmentsNote:Different lowercase letters in same stage indicate significant differences between different treatments at P<0.05 level.
图5 不同处理下盆景灵芝的CAT活性注:同一时期不同小写字母表示不同处理间在P<0.05水平差异显著。
Fig. 5 CAT activity of bonsai Ganoderma lucidum under different treatmentsNote:Different lowercase letters in same stage indicate significant differences between different treatments at P<0.05 level.
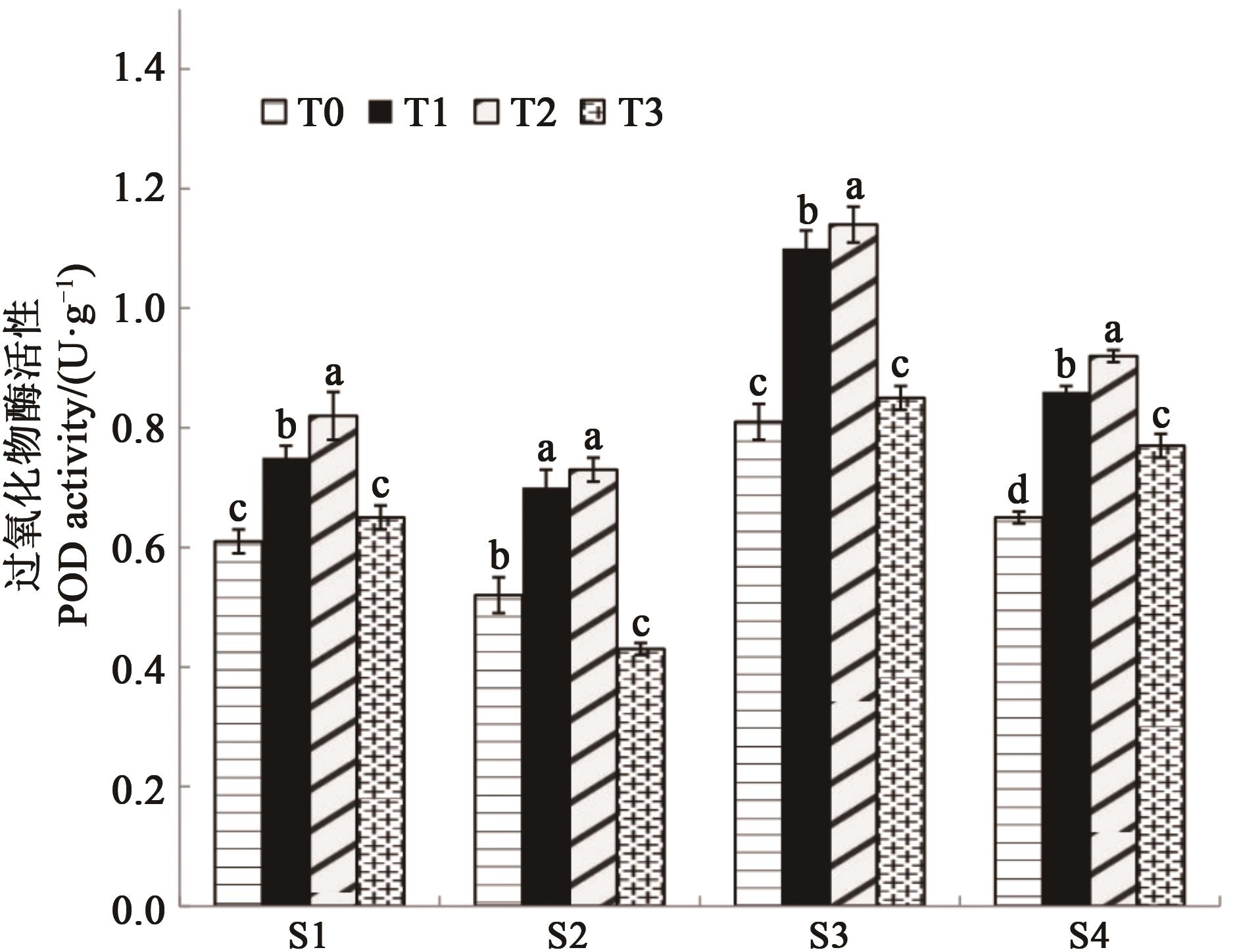
图6 不同处理下盆景灵芝的POD活性注:同一时期不同小写字母表示不同处理间在P<0.05水平差异显著。
Fig. 6 POD activity of bonsai Ganoderma lucidum under different treatmentsNote:Different lowercase letters in same stage indicate significant differences between different treatments at P<0.05 level.
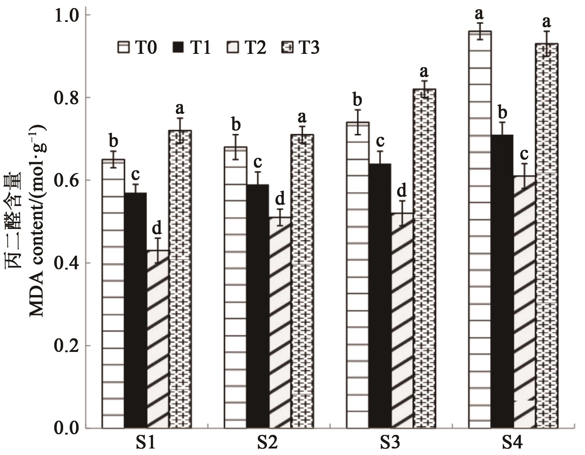
图7 盆景灵芝不同生长期MDA含量注:同一时期不同小写字母表示不同处理间在P<0.05水平差异显著。
Fig. 7 MDA content of bonsai Ganoderma lucidum under different treatmentsNote:Different lowercase letters in same stage indicate significant differences between different treatments at P<0.05 level.
1 | 金鑫,刘宗敏,黄羽佳,等.我国灵芝栽培现状及发展趋势[J].食药用菌,2016,24(1):33-37. |
JIN X, LIU Z M, HUANG Y J, et al..Cultivation status and development trend of Ganoderma lucidum in China [J]. Edible Med. Mushrooms, 2016, 24(1):33-37. | |
2 | YUE Q X, XIE F B, GUAN S H, et al.. Interaction of Ganoderma triterpenes with doxorubicin and proteomic characterization of the possible molecular targets of Ganoderma triterpenes [J]. Cancer Sci., 2008, 99(7):1461-1470. |
3 | LIN Z, ZHANG H. Anti-tumor and immunoregulatory activities of Ganoderma lucidum and its possible mechanisms [J]. Acta Pharmacologica Sin., 2004, 25(11):1387-1395. |
4 | 金鑫,李文治,何文江,等.不同栽培模式下灵芝菌株农艺性状和活性成分研究[J].中国农业科技导报,2017,19(12):75-81. |
JIN X, LI W Z, HE W J, et al.. Research on agronomic characteristics and active ingredients of Ganoderma lucidum strains under different cultivation modes [J]. J. Agric. Sci. Technol., 2017, 19(12):75-81. | |
5 | 胡阳,江莎,李洁,等.光强和光质对植物生长发育的影响[J].内蒙古农业大学学报(自然科学版),2009,30(4):296-303. |
HU Y, JIANG S, LI J, et al.. The influence of light intensity and light quality on plant growth and development [J]. J. Inner Mongolia Agric. Univ. (Nat. Sci.), 2009,30(4):296-303. | |
6 | 夏志兰.盆景灵芝培育技术的研究[J].中国食用菌,2002(6):39-40. |
XIA Z L. Research on cultivation technology of bonsai Ganoderma lucidum [J]. Chin. Edible Fungus, 2002(6): 39-40. | |
7 | 孙立晨,管仁国,黄依妮.不同光质对灵芝丙二醛含量的影响[J].智库时代,2018(45):186-187. |
8 | 余吴梦晓,张薇薇,陈向东,等.蓝光对灵芝子实体生长和糖代谢相关酶的影响[J].时珍国医国药,2017,28(11):2741-2744. |
9 | 郝俊江,陈向东,兰进.光质对灵芝生长及抗氧化酶系统的影响[J].中草药,2011,42(12):2529-2534. |
HAO J J, CHEN X D, LAN J. Effects of light quality on the growth and antioxidant enzyme system of Ganoderma lucidum [J]. Chin. Trad. Herbal Med., 2011, 42(12):2529-2534. | |
10 | 金鑫,周思菊,李强,等.5种灵芝菌株的农艺性状、活性成分和功效分析[J].四川农业大学学报,2019,37(1):53-59. |
JIN X, ZHOU S J, LI Q, et al.. Analysis of agronomic characteristics, active ingredients and efficacy of 5 Ganoderma lucidum strains [J]. J. Sichuan Agric. Univ., 2019, 37(1):53-59. | |
11 | 张志军,刘建华,李淑芳,等.灵芝多糖含量的苯酚硫酸法检测研究[J].食品工业科技,2006(2):193-195. |
ZHANG Z J, LIU J H, LI S F, et al.. Study on the detection of Ganoderma lucidum polysaccharide content by phenol sulfuric acid method [J]. Food Ind. Sci. Technol., 2006(2):193-195. | |
12 | 王江海,袁建平,徐世平,等.薄层色谱-光度法测定灵芝孢子油中的总三萜含量[J].中国食品学报,2004,4(3):79. |
WANG J H, YUAN J P, XU S P, et al.. Determination of total triterpenes in Ganoderma lucidum spore oil by thin-layer chromatography-photometry [J]. Chin. J. Food Sci., 2004, 4(3):79. | |
13 | 李合生.植物生理生化实验原理和技术[M].北京:高等教育出版社,2005:1-289. |
LI H S. Experimental Principles and Techniques of Plant Physiology and Biochemistry [M]. Beijing: Higher Education Press, 2005:1-289. | |
14 | 李文涛,余梦瑶,魏巍,等.栽培灵芝生长周期内物质的变化规律及其机制研究[J].中草药,2014,45(4):552-557. |
LI W T, YU M Y, WEI W, et al.. Research on the change rule and mechanism of substances in the growth cycle of cultivated Ganoderma lucidum [J]. Chin. Trad. Herbal Med., 2014, 45(4):552-557. | |
15 | 王学奎,黄见良.植物生理生化实验原理和技术[M].第3版.北京:高等教育出版社,2015:1-298. |
WANG X K, HUANG J L. Experimental Principles and Techniques of Plant Physiology and Biochemistry [M]. 3rd Ed.Beijing: Higher Education Press, 2015:1-298. | |
16 | 张龙翔,张庭芳,李令媛.生化实验方法和技术[M].北京:高等教育出版社,2005:1-532. |
ZHANG L X, ZHANG T F, LI L Y. Biochemical Experimental Methods and Techniques [M]. Beijing: Higher Education Press, 2005:1-532. | |
17 | BARATA R M, CHAPPARO A, CHABREGAS S M, et al.. Targeting of the soybean leghemoglobin tobacco chloroplasts: Effects on aerobic metabolism transgenic plants [J]. Plant Sci., 2000, 155:193-202. |
18 | 张桂香,李彬.日光温室内不同光照强度对食用菌生长发育的影响[J].甘肃农业大学学报,1999(3):291-295. |
ZHANG G X, LI B. The influence of different light intensities on the growth and development of edible fungi in the solar greenhouse [J]. J. Gansu Agric. Univ., 1999(3):291-295. | |
19 | 袁学军,陈永敢,陈光宙,等.不同光照和栽培基质对灵芝活性成分的影响[J].中国食用菌,2012,31(6):38-39, 43. |
YUAN X J, CHEN Y G, CHEN G Z, et al.. The effect of different light and cultivation media on the active components of Ganoderma lucidum [J]. Chin. Edible Fungus, 2012, 31(6):38-39, 43. | |
20 | 孙恬,郭爱玲.蓝白光膜对灵芝田间生长、多糖含量及三萜含量的影响[J].生物化工,2019,5(1):70-72, 76. |
SUN T, GUO A L. The effect of blue and white light film on the field growth, polysaccharide content and triterpene content of Ganoderma lucidum [J]. Biochem. Ind., 2019, 5(1):70-72, 76. | |
21 | 潘雨.光驱动强化漆酶/介体系统对木质素及其模型化合物的降解研究[D].重庆:重庆大学,2019. |
PAN Y. Study on the degradation of lignin and its model compounds by light-driven enhanced laccase/mediator system [D]. Chongqing: Chongqing University, 2019. | |
22 | 郭倩,何庆邦.四孢蘑菇生长过程中四种胞外酶活性和木质纤维素降解的变化规律[J].食用菌学报,1998,5(2): 13-17. |
GUO Q, HE Q B. Changes in the activities of four extracellular enzymes and degradation of lignocellulose during the growth of Agaricus tetrasporum [J]. Acta. Edible Fungi, 1998, 5(2):13-17. | |
23 | 王鹏.盐胁迫下黑果枸杞木质素的代谢研究[D].兰州:兰州大学,2013. |
WANG P. Study on the metabolism of Lycium ruthenicum lignin under salt stress [D]. Lanzhou: Lanzhou University, 2013. | |
24 | 王立华,陈向东,王秋颖,等.LED光源的不同光质对灵芝菌丝体生长及抗氧化酶活性的影响[J].中国中药杂志,2011,36(18):2471-2474. |
WANG L H, CHEN X D, WANG Q Y, et al.. The effect of different light quality of LED light source on the growth of Ganoderma lucidum mycelium and antioxidant enzyme activity [J]. China J. Chin. Materia Medica, 2011, 36(18):2471-2474. | |
25 | 郝俊江.不同光质对灵芝生长生理和有效成分的影响及灵芝抗氧化酶的开发研究[D].北京:北京协和医学院,2011. |
HAO J J. The effects of different light qualities on the growth physiology and active ingredients of Ganoderma lucidum and the development of Ganoderma lucidum antioxidant enzymes [D]. Beijing: Peking Union Medical College, 2011. |
[1] | 曹航, 杨新兵, 刘彦林, 霍娜, 刘小宽, 李新月. 石灰岩矿山重构土理化性质及酶活性变化[J]. 中国农业科技导报, 2025, 27(8): 168-178. |
[2] | 刘雪晴, 王静, 阳宜, 吴慧琴, 王延宏, 王麓尧, 路佳伟, 张凯璇, 翟源, 成妍. 外源乙烯利对色素辣椒脱叶及产量的影响[J]. 中国农业科技导报, 2025, 27(8): 36-46. |
[3] | 周琦, 刘强, 张靖, 邓超超, 王振龙, 柳洋, 吴芳, 常浩, 周彦芳, 宿翠翠, 施志国, 高正睿, 马凤捷. 有机肥替代化肥对土壤生物学特性及南瓜产量的影响[J]. 中国农业科技导报, 2025, 27(7): 190-203. |
[4] | 黄娟娟, 张志强, 毛娟, 马宗桓, 陈佰鸿. 不同叶面肥对‘黑比诺’葡萄生长发育和果实品质的影响[J]. 中国农业科技导报, 2025, 27(6): 205-217. |
[5] | 王二刚, 吕朋元, 周一, 战宇, 何贵祥, 王丽翔, 苗馨月, 陈长宝, 李琼. 生防细菌对人参连作土壤性质及细菌群落结构的影响[J]. 中国农业科技导报, 2025, 27(4): 140-148. |
[6] | 李大荣, 李小玲, 周武先, 张美德, 蒋小刚, 由金文, 王华. 有机肥替代部分化肥对湖北贝母生长及土壤性质的影响[J]. 中国农业科技导报, 2025, 27(3): 216-226. |
[7] | 马力, 曹婷婷, 范又维, 任志雨, 刘春, 袁素霞. 不同生根试剂对微型盆栽月季扦插生根的影响[J]. 中国农业科技导报, 2024, 26(7): 50-60. |
[8] | 彭守华, 许铭铭, 尉继强, 梁丽君, 叶全, 迟晓元, 张少峰, 董向丽. 生物菌肥FBR1不同施用方式对花生生长发育及产量的影响[J]. 中国农业科技导报, 2024, 26(6): 200-205. |
[9] | 杜洋洋, 包媛媛, 刘项宇, 张新永. 荞麦轮作对云南栽培马铃薯根际土壤酶活和微生物的影响[J]. 中国农业科技导报, 2024, 26(5): 192-200. |
[10] | 周旭东, 韩天华, 申云鑫, 施竹凤, 贺彪, 杨明英, 裴卫华, 何永宏, 杨佩文. 4种轮作模式下长期连作烟田土壤微生态的响应特征[J]. 中国农业科技导报, 2024, 26(3): 174-187. |
[11] | 胡墨明, 孟琰珺, 苗淑媛, 胡西宁, 许晴, 马红珍, 王鹏飞, 刘国芹, 康国章. 小麦淀粉合成关键基因TaAGPL1功能标记的开发[J]. 中国农业科技导报, 2024, 26(11): 43-55. |
[12] | 刘化冰, 党伟, 李奇, 张晓兵, 徐志强, 钟永健, 任志广, 张勇刚, 袁凯龙, 杨浩, 王辉, 孙聚涛. 烟草品种间氮素吸收和同化差异研究[J]. 中国农业科技导报, 2024, 26(11): 66-78. |
[13] | 曾婷, 侯萌, 王耀, 彭博, 汤博宇, 赵晓蕊, 隋跃宇, 焦晓光. 不同土地利用类型对土壤纤维素酶活性及肥力因子的影响[J]. 中国农业科技导报, 2024, 26(1): 193-200. |
[14] | 杨圣艳, 曹漫, 郭宝石, 杨超, 侯智霞. 不同铁环境对蓝莓生长及叶片叶绿素荧光特性的影响[J]. 中国农业科技导报, 2024, 26(1): 52-62. |
[15] | 杜彩艳, 鲁海燕, 熊艳竹, 孙曦, 孙秀梅, 普继雄, 张乃明. 连续两年沼液与化肥配施对桃生长及土壤理化性质的影响[J]. 中国农业科技导报, 2023, 25(8): 165-175. |
阅读次数 | ||||||
全文 |
|
|||||
摘要 |
|
|||||