中国农业科技导报 ›› 2022, Vol. 24 ›› Issue (7): 177-186.DOI: 10.13304/j.nykjdb.2021.0917
彭增莹1(), 申莹莹1, 段松江1, 吴一帆1, 李宗润1, 郭仁松2, 张巨松1(
)
收稿日期:
2021-10-27
接受日期:
2022-01-08
出版日期:
2022-07-15
发布日期:
2022-08-15
通讯作者:
张巨松
作者简介:
彭增莹 E-mail: 1826597157@qq.com;
基金资助:
Zengying PENG1(), Yingying SHEN1, Songjiang DUAN1, Yifan WU1, Zongrun LI1, Rensong GUO2, Jusong ZHANG1(
)
Received:
2021-10-27
Accepted:
2022-01-08
Online:
2022-07-15
Published:
2022-08-15
Contact:
Jusong ZHANG
摘要:
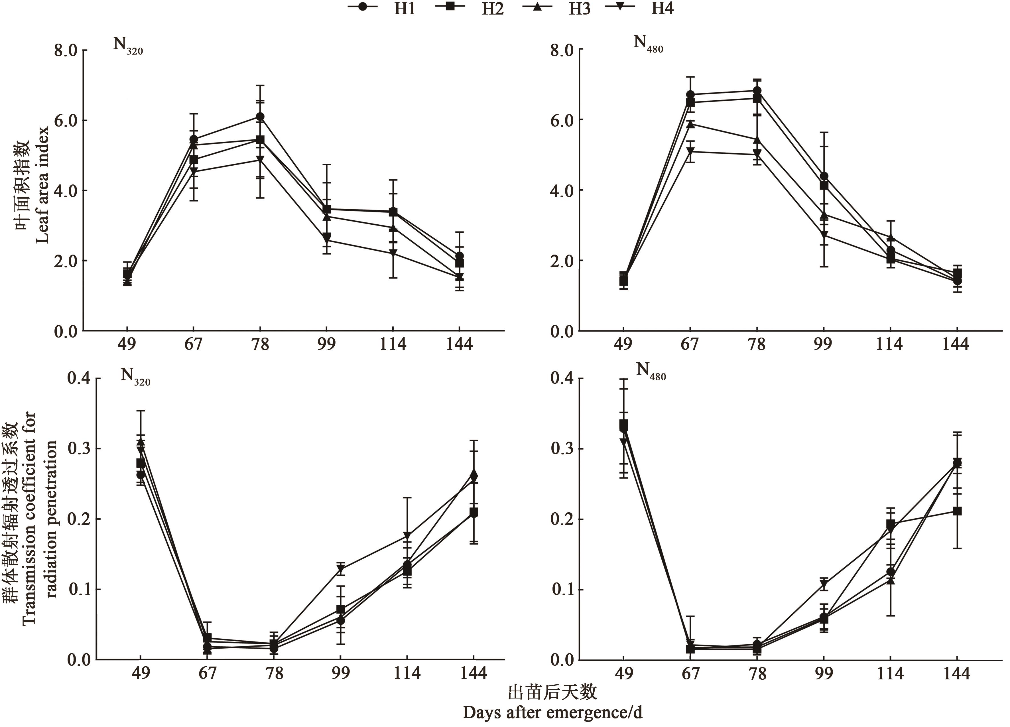
为研究缩节胺对不同施氮量棉田的调控作用,以新陆中88号为材料,采用双因素裂区试验设计,设置320(N320)和480 kg·hm-2(N480)2个纯氮水平和67.0(H1)、150.0(H2)、260.5(H3)、371.0 g·hm-2 (H4)4个缩节胺剂量水平,研究不同处理下机采棉的株高日增量、株型、叶面积、比叶重及产量的变化。结果表明,各处理的冠层株型指标无显著差异,叶面积指数表现为随施氮量增多而增大;上部主茎节间长度、中上部果枝长度随缩节胺剂量增多而降低。N320水平下棉花叶片SPAD值和散射辐射透过系数(TC)较高;且在H3处理下,主茎叶片比叶重、单株结铃数及单铃重最大,施氮量和缩节胺用量对籽棉产量存在互作效应。综上,施氮量增多使棉花徒长,中期通风透光差;缩节胺剂量增多对棉花株型有明显抑制效果,但会降低单株结铃数与单铃重。因此,施氮量和缩节胺用量分别为320.0 kg·hm-2和260.5 g·hm-2时有利于塑造良好株型,既可以保持棉花后期较高的叶面积指数,又可使田间中期保持良好的通风透光性,增加单株结铃数与单铃重,进而提高产量。
中图分类号:
彭增莹, 申莹莹, 段松江, 吴一帆, 李宗润, 郭仁松, 张巨松. 化学调控对不同施氮量棉花冠层结构及产量的影响[J]. 中国农业科技导报, 2022, 24(7): 177-186.
Zengying PENG, Yingying SHEN, Songjiang DUAN, Yifan WU, Zongrun LI, Rensong GUO, Jusong ZHANG. Effect of Chemical Regulation on Canopy Structure and Yield of Cotton with Different Nitrogen Amounts[J]. Journal of Agricultural Science and Technology, 2022, 24(7): 177-186.
土壤深度 Soil depth/cm | 全氮Total nitrogen/(g·kg-1) | 有机质Organic matter/(g·kg-1) | 水解性氮Hydrolyzable nitrogen/(mg·kg-1) | 速效磷Available P/(mg·kg-1) | 速效钾Available K/(mg·kg-1) |
---|---|---|---|---|---|
0—10 | 0.42 | 8.26 | 35.0 | 26.3 | 83 |
10—20 | 0.49 | 7.65 | 66.4 | 32.9 | 89 |
20—30 | 0.46 | 7.08 | 44.4 | 32.0 | 87 |
30—40 | 0.30 | 5.90 | 40.6 | 16.6 | 103 |
40—50 | 0.24 | 4.24 | 35.0 | 7.3 | 138 |
50—60 | 0.25 | 4.06 | 51.7 | 26.6 | 145 |
表 1 土壤基础肥力
Table 1 Basic fertility of soil
土壤深度 Soil depth/cm | 全氮Total nitrogen/(g·kg-1) | 有机质Organic matter/(g·kg-1) | 水解性氮Hydrolyzable nitrogen/(mg·kg-1) | 速效磷Available P/(mg·kg-1) | 速效钾Available K/(mg·kg-1) |
---|---|---|---|---|---|
0—10 | 0.42 | 8.26 | 35.0 | 26.3 | 83 |
10—20 | 0.49 | 7.65 | 66.4 | 32.9 | 89 |
20—30 | 0.46 | 7.08 | 44.4 | 32.0 | 87 |
30—40 | 0.30 | 5.90 | 40.6 | 16.6 | 103 |
40—50 | 0.24 | 4.24 | 35.0 | 7.3 | 138 |
50—60 | 0.25 | 4.06 | 51.7 | 26.6 | 145 |
处理Treatment | 基肥Base fertilizer/ (kg·hm-2) | 施用时间Application time (m/d) | 总量Total amount/(kg·hm-2) | ||||||||
---|---|---|---|---|---|---|---|---|---|---|---|
6/16 | 6/24 | 7/1 | 7/8 | 7/16 | 7/24 | 8/1 | 8/8 | 8/18 | |||
N320 | 64 | 16 | 32 | 16 | 32 | 64 | 32 | 32 | 16 | 16 | 320 |
N480 | 96 | 24 | 48 | 24 | 48 | 96 | 48 | 48 | 24 | 24 | 480 |
表 2 施氮量及时间
Table 2 Amount and time of nitrogen application
处理Treatment | 基肥Base fertilizer/ (kg·hm-2) | 施用时间Application time (m/d) | 总量Total amount/(kg·hm-2) | ||||||||
---|---|---|---|---|---|---|---|---|---|---|---|
6/16 | 6/24 | 7/1 | 7/8 | 7/16 | 7/24 | 8/1 | 8/8 | 8/18 | |||
N320 | 64 | 16 | 32 | 16 | 32 | 64 | 32 | 32 | 16 | 16 | 320 |
N480 | 96 | 24 | 48 | 24 | 48 | 96 | 48 | 48 | 24 | 24 | 480 |
处理 Treatment | 喷施时间Spray time | 总量 Total amount | |||
---|---|---|---|---|---|
盛蕾期 Full budperiod | 初花期 Preliminary flowerperiod | 打顶后6 d 6 d after topping | 打顶后12 d 12 d after topping | ||
H1 | 4.0 | 8.0 | 15.0 | 40.0 | 67.0 |
H2 | 8.0 | 12.0 | 30.0 | 100.0 | 150.0 |
H3 | 12.0 | 28.5 | 60.0 | 160.0 | 260.5 |
H4 | 16.0 | 45.0 | 90.0 | 220.0 | 371.0 |
表 3 缩节胺用量及时间 (g·hm-2)
Table 3 DPC dosage and time
处理 Treatment | 喷施时间Spray time | 总量 Total amount | |||
---|---|---|---|---|---|
盛蕾期 Full budperiod | 初花期 Preliminary flowerperiod | 打顶后6 d 6 d after topping | 打顶后12 d 12 d after topping | ||
H1 | 4.0 | 8.0 | 15.0 | 40.0 | 67.0 |
H2 | 8.0 | 12.0 | 30.0 | 100.0 | 150.0 |
H3 | 12.0 | 28.5 | 60.0 | 160.0 | 260.5 |
H4 | 16.0 | 45.0 | 90.0 | 220.0 | 371.0 |
处理 Treatment | 主茎节间长度 Internode length/cm | 果枝长度 Fruit branch length/cm | 果枝夹角 Fruit branch angle/(°) | |||||||
---|---|---|---|---|---|---|---|---|---|---|
下 Base | 中 Middle | 上 Upper | 下 Base | 中 Middle | 上 Upper | 下 Base | 中 Middle | 上 Upper | ||
N320 | H1 | 4.8±1.9 a | 8.1±0.6 a | 4.8±1.3 a | 24.5±3.9 a | 20.2±4.9 a | 9.1±4.5 a | 56.6±10.8 b | 60.2±8.4 bc | 59.5±4.0 bc |
H2 | 6.6±0.7 a | 7.6±0.5 a | 4.6±0.2 a | 18.6±3.6 a | 18.2±2.8 ab | 5.3±1.8 b | 57.0±6.2 ab | 59.8±4.8 bc | 59.3±4.5 c | |
H3 | 5.4±0.9 a | 8.0±1.5 a | 4.1±1.0 abc | 20.0±4.2 a | 14.9±2.5 abc | 5.2±1.6 b | 62.3±10.6 ab | 61.5±5.4 abc | 61.1±2.6 abc | |
H4 | 5.3±1.4 a | 7.5±0.6 a | 3.9±0.7 abc | 21.7±3.1 a | 11.8±0.6 c | 4.2±2.1 b | 60.6±7.3 ab | 63.3±4.3 abc | 61.0±3.1 abc | |
N480 | H1 | 7.5±1.6 a | 7.3±1.3 a | 3.5±0.3 bc | 26.1±3.5 a | 18.8±2.2 ab | 7.2±0.6 ab | 63.1±7.5 ab | 68.3±3.3 a | 66.2±5.7 a |
H2 | 6.2±1.6 a | 8.1±0.8 a | 3.9±0.3 abc | 20.7±7.2 a | 17.9±3.5 ab | 6.7±3.7 ab | 67.3±6.0 a | 67.1±6.2 ab | 64.9±1.4 ab | |
H3 | 5.7±1.7 a | 8.1±1.1 a | 3.3±0.2 c | 16.8±4.0 a | 14.0±1.5 bc | 5.1±2.3 b | 62.3±8.9 ab | 64.6±6.5 ab | 58.3±6.5 c | |
H4 | 6.8±3.1 a | 7.0±1.8 a | 4.4±0.1 ab | 24.4±9.7 a | 14.1±4.9 bc | 5.8±1.2 ab | 59.5±4.5 ab | 57.0±2.8 c | 60.5±4.8 bc | |
N | NS | NS | ** | NS | NS | NS | NS | NS | NS | |
H | NS | NS | NS | * | ** | NS | NS | NS | NS | |
N×H | NS | NS | NS | NS | NS | NS | NS | ** | * |
表 4 不同处理的株型指标
Table 4 Plant type indexes of different treatments
处理 Treatment | 主茎节间长度 Internode length/cm | 果枝长度 Fruit branch length/cm | 果枝夹角 Fruit branch angle/(°) | |||||||
---|---|---|---|---|---|---|---|---|---|---|
下 Base | 中 Middle | 上 Upper | 下 Base | 中 Middle | 上 Upper | 下 Base | 中 Middle | 上 Upper | ||
N320 | H1 | 4.8±1.9 a | 8.1±0.6 a | 4.8±1.3 a | 24.5±3.9 a | 20.2±4.9 a | 9.1±4.5 a | 56.6±10.8 b | 60.2±8.4 bc | 59.5±4.0 bc |
H2 | 6.6±0.7 a | 7.6±0.5 a | 4.6±0.2 a | 18.6±3.6 a | 18.2±2.8 ab | 5.3±1.8 b | 57.0±6.2 ab | 59.8±4.8 bc | 59.3±4.5 c | |
H3 | 5.4±0.9 a | 8.0±1.5 a | 4.1±1.0 abc | 20.0±4.2 a | 14.9±2.5 abc | 5.2±1.6 b | 62.3±10.6 ab | 61.5±5.4 abc | 61.1±2.6 abc | |
H4 | 5.3±1.4 a | 7.5±0.6 a | 3.9±0.7 abc | 21.7±3.1 a | 11.8±0.6 c | 4.2±2.1 b | 60.6±7.3 ab | 63.3±4.3 abc | 61.0±3.1 abc | |
N480 | H1 | 7.5±1.6 a | 7.3±1.3 a | 3.5±0.3 bc | 26.1±3.5 a | 18.8±2.2 ab | 7.2±0.6 ab | 63.1±7.5 ab | 68.3±3.3 a | 66.2±5.7 a |
H2 | 6.2±1.6 a | 8.1±0.8 a | 3.9±0.3 abc | 20.7±7.2 a | 17.9±3.5 ab | 6.7±3.7 ab | 67.3±6.0 a | 67.1±6.2 ab | 64.9±1.4 ab | |
H3 | 5.7±1.7 a | 8.1±1.1 a | 3.3±0.2 c | 16.8±4.0 a | 14.0±1.5 bc | 5.1±2.3 b | 62.3±8.9 ab | 64.6±6.5 ab | 58.3±6.5 c | |
H4 | 6.8±3.1 a | 7.0±1.8 a | 4.4±0.1 ab | 24.4±9.7 a | 14.1±4.9 bc | 5.8±1.2 ab | 59.5±4.5 ab | 57.0±2.8 c | 60.5±4.8 bc | |
N | NS | NS | ** | NS | NS | NS | NS | NS | NS | |
H | NS | NS | NS | * | ** | NS | NS | NS | NS | |
N×H | NS | NS | NS | NS | NS | NS | NS | ** | * |
处理 Treatment | 主茎叶 Main leaf/(10-3 g·cm-2) | 果枝叶 Fruit branch leaf/(10-3 g·cm-2) | |||
---|---|---|---|---|---|
上部 Upper part | 中部 Central | 下部 Lower part | |||
N320 | H1 | 10.7±0.6 a | 9.8±1.2 a | 7.8±1.9 a | 5.8±0.7 b |
H2 | 11.4±0.6 a | 10.0±0.7 a | 7.8±0.4 a | 6.5±1.0 b | |
H3 | 12.3±1.6 a | 10.8±1.0 a | 8.4±1.3 a | 6.0±1.2 b | |
H4 | 11.7±1.0 a | 10.3±0.2 a | 9.6±0.1 a | 6.7±0.5 b | |
N480 | H1 | 10.9±0.6 a | 9.8±0.3 a | 7.7±1.3 a | 6.6±0.5 b |
H2 | 11.3±1.0 a | 10.1±0.3 a | 8.1±0.5 a | 5.9±0.4 b | |
H3 | 11.6±0.8 a | 10.6±1.1 a | 8.8±1.5 a | 6.1±0.9 b | |
H4 | 12.0±1.0 a | 10.6±1.1 a | 9.4±0.3 a | 10.2±0.9 a | |
N | NS | NS | NS | * | |
H | NS | NS | NS | ** | |
N×H | NS | NS | NS | * |
表 5 不同处理各部位叶片的比叶重
Table 5 Specific leaf weight of each part under different treatments
处理 Treatment | 主茎叶 Main leaf/(10-3 g·cm-2) | 果枝叶 Fruit branch leaf/(10-3 g·cm-2) | |||
---|---|---|---|---|---|
上部 Upper part | 中部 Central | 下部 Lower part | |||
N320 | H1 | 10.7±0.6 a | 9.8±1.2 a | 7.8±1.9 a | 5.8±0.7 b |
H2 | 11.4±0.6 a | 10.0±0.7 a | 7.8±0.4 a | 6.5±1.0 b | |
H3 | 12.3±1.6 a | 10.8±1.0 a | 8.4±1.3 a | 6.0±1.2 b | |
H4 | 11.7±1.0 a | 10.3±0.2 a | 9.6±0.1 a | 6.7±0.5 b | |
N480 | H1 | 10.9±0.6 a | 9.8±0.3 a | 7.7±1.3 a | 6.6±0.5 b |
H2 | 11.3±1.0 a | 10.1±0.3 a | 8.1±0.5 a | 5.9±0.4 b | |
H3 | 11.6±0.8 a | 10.6±1.1 a | 8.8±1.5 a | 6.1±0.9 b | |
H4 | 12.0±1.0 a | 10.6±1.1 a | 9.4±0.3 a | 10.2±0.9 a | |
N | NS | NS | NS | * | |
H | NS | NS | NS | ** | |
N×H | NS | NS | NS | * |
处理 Treatment | 单株结铃数 Boll number per plant | 单铃重 Single boll weight/g | 衣分 Lint percentage/% | 籽棉产量 Seed cotton yield/(kg·hm-2) | |
---|---|---|---|---|---|
N320 | H1 | 5.73±0.48 c | 4.96±0.02 b | 0.44±0.01 ab | 4 662.19±379.03 c |
H2 | 7.57±0.10 a | 5.15±0.15 ab | 0.44±0.01 ab | 6 384.66±260.99 a | |
H3 | 7.27±0.05 ab | 5.39±0.08 a | 0.44±0.01 ab | 6 426.18±85.70 a | |
H4 | 6.61±0.52 b | 5.19±0.10 ab | 0.45±0.01 a | 5 627.17±551.97 b | |
N480 | H1 | 5.75±0.19 c | 5.17±0.15 ab | 0.43±0.00 b | 4 879.79±228.13 c |
H2 | 6.63±0.66 b | 5.14±0.11 ab | 0.44±0.00 ab | 5 577.61±433.84 b | |
H3 | 6.60±0.59 b | 5.20±0.24 ab | 0.44±0.01 ab | 5 619.40±271.26 b | |
H4 | 6.53±0.63 bc | 5.12±0.08 ab | 0.45±0.01 ab | 5 486.83±581.31b | |
N | NS | NS | NS | * | |
H | ** | * | NS | ** | |
N×H | NS | NS | * | * |
表 6 不同处理的棉花产量及产量构成因素
Table 6 Yield and yield components of different treatments
处理 Treatment | 单株结铃数 Boll number per plant | 单铃重 Single boll weight/g | 衣分 Lint percentage/% | 籽棉产量 Seed cotton yield/(kg·hm-2) | |
---|---|---|---|---|---|
N320 | H1 | 5.73±0.48 c | 4.96±0.02 b | 0.44±0.01 ab | 4 662.19±379.03 c |
H2 | 7.57±0.10 a | 5.15±0.15 ab | 0.44±0.01 ab | 6 384.66±260.99 a | |
H3 | 7.27±0.05 ab | 5.39±0.08 a | 0.44±0.01 ab | 6 426.18±85.70 a | |
H4 | 6.61±0.52 b | 5.19±0.10 ab | 0.45±0.01 a | 5 627.17±551.97 b | |
N480 | H1 | 5.75±0.19 c | 5.17±0.15 ab | 0.43±0.00 b | 4 879.79±228.13 c |
H2 | 6.63±0.66 b | 5.14±0.11 ab | 0.44±0.00 ab | 5 577.61±433.84 b | |
H3 | 6.60±0.59 b | 5.20±0.24 ab | 0.44±0.01 ab | 5 619.40±271.26 b | |
H4 | 6.53±0.63 bc | 5.12±0.08 ab | 0.45±0.01 ab | 5 486.83±581.31b | |
N | NS | NS | NS | * | |
H | ** | * | NS | ** | |
N×H | NS | NS | * | * |
指标 Index | 叶面积指数 LAI | 群体散射辐射透过系数 TR | 主茎叶比叶重 Specific leaf weight of main leaf | SPAD值 SPAD value | 单株结铃数 Boll number per plant | 单铃重 Single boll weight |
---|---|---|---|---|---|---|
群体散射辐射透过系数 TR | -0.861** | |||||
主茎叶比叶重 specific leaf weight of main leaf | -0.538 | 0.492 | ||||
SPAD值 SPAD value | -0.141 | 0.183 | 0.825** | |||
单株结铃数 Boll number per plant | -0.003 | -0.127 | 0.672* | 0.615 | ||
单铃重 Single boll weight | -0.577 | 0.535 | 0.755* | 0.311 | 0.575 | |
产量 Yield | -0.111 | -0.004 | 0.740* | 0.601 | 0.985** | 0.706* |
表 7 不同处理主要冠层指标与产量性状各指标间的相关关系
Table 7 Correlation between main canopy indexes and yield traits in different treatments。
指标 Index | 叶面积指数 LAI | 群体散射辐射透过系数 TR | 主茎叶比叶重 Specific leaf weight of main leaf | SPAD值 SPAD value | 单株结铃数 Boll number per plant | 单铃重 Single boll weight |
---|---|---|---|---|---|---|
群体散射辐射透过系数 TR | -0.861** | |||||
主茎叶比叶重 specific leaf weight of main leaf | -0.538 | 0.492 | ||||
SPAD值 SPAD value | -0.141 | 0.183 | 0.825** | |||
单株结铃数 Boll number per plant | -0.003 | -0.127 | 0.672* | 0.615 | ||
单铃重 Single boll weight | -0.577 | 0.535 | 0.755* | 0.311 | 0.575 | |
产量 Yield | -0.111 | -0.004 | 0.740* | 0.601 | 0.985** | 0.706* |
1 | 聂军军,代建龙,杜明伟,等.我国现代植棉理论与技术的新发展——棉花集中成熟栽培[J].中国农业科学,2021,54(20):4286-4298. |
NIE J J, DAI J L, DU M W, et al.. New development of modern cotton farming theory and technology in China-concentrated maturation cultivation of cotton [J]. Chin. Agric. Sci., 2021, 54(20):4286-4298. | |
2 | 王克秀,唐铭霞,胡建军,等.氮素水平对雾培马铃薯植株生长和产量的影响[J].中国土壤与肥料,2019(5):38-45. |
WANG K X, TANG M X, HU J J, et al.. Effect of nitrogen levels on growth and yield of potato in an aeroponic system [J]. Soil Fert. Sci. China, 2019(5):38-45. | |
3 | IQBAL A, DONG Q, WANG X, et al.. High nitrogen enhance drought tolerance in cotton through antioxidant enzymatic activities, nitrogen metabolism and osmotic adjustment [J/OL]. Plants, 2020, 9(2):178 [2021-09-05]. . |
4 | 杨荣,苏永中.水氮供应对棉花花铃期净光合速率及产量的调控效应[J].植物营养与肥料学报, 2011,17(2):404-410. |
YANG R, SU Y Z. Responses of net photosynthetic rate in flowering and boll-forming stages,and cotton yield to irrigation and nitrogen fertilizer application [J]. Plant Nutr. Fert. Sci., 2011, 17(2):404-410. | |
5 | HABTEGEBRIAL K, SINGH B R, HAILE M, et al.. Tillage and nitrogen fertilization effects on yield and nitrogen use efficiency of irrigated cotton [J]. Soil Tillage Res., 2013, 134(8):72-82. |
6 | 石洪亮,张巨松,严青青,等.施氮量对南疆机采棉生长特性及产量的影响[J].西北农业学报, 2017,26(3):397-404. |
SHI H L, ZHANG J S, YAN Q Q, et al.. Effects of nitrogen application rate on growth characteristics and yield of machine-pickong cotton in south Xinjiang [J]. Acta Agric. Bor-Occid. Sin., 2017, 26(3):397-404. | |
7 | 石洪亮,严青青,张巨松,等.氮肥对非充分灌溉下棉花花铃期光合特性及产量的补偿作用[J].作物学报,2018,44(8):1196-1204. |
SHI H L, YAN Q Q, ZHANG J S, et al..Compensation effect of nitrogen fertilizer on photosynthetic characteristics and yield during cotton flowering boll-setting stage under non-sufficient drip irrigation [J]. Acta Agron. Sin., 2018, 44(8):1196-1204. | |
8 | 罗新宁,陈冰,张巨松,等.南疆地区不同施氮量棉花叶片光合特性及产量表现[J].干旱地区农业研究,2011,29(2):40-44, 82. |
LUO X N, CHEN B, ZHANG J S, et al.. Photosynthetic characteristics and yield of cotton under different nitrogen application rate in Southern Xinjiang [J]. Agric. Res. Arid Areas., 2011, 29(2):40-44, 82 . | |
9 | CHEN G H, LIU Y, WANG Z M, et al.. Nitrogen fertilization effects on physiology of the cotton boll-leaf system [J/OL]. Agronomy, 2019, 9(6):271 [2021-09-05]. . |
10 | 石治鹏,李敏,林忠旭,等.缩节胺对棉花生长发育的调控效应研究进展[J].河南农业科学,2017,46(7):1-8. |
SHI Z P, LI M, LIN Z X, et al.. Research progress on regulating effect of DPC on cotton growth and development [J]. Henan Agric. Sci., 2017, 46(7):1-8. | |
11 | 何庆雨,代建敏,窦巧巧,等.化学调控对干旱后棉花冠层时空分布及产量的影响[J].西北农业学报,2021,30(6):860-869. |
HE Q Y, DAI J M, DOU Q Q, et al.. Effects of chemical regulation on spatiotemporal distribution of cotton canopy and yield after drought [J]. Acta Agric. Bor-Occid. Sin., 2021, 30(6):860-869. | |
12 | 刘丽英,戴茂华,吴振良.缩节胺对黄河流域机采棉农艺性状、产量和品质的影响及化控技术研究[J].中国农学通报,2018,34(33):38-42. |
LIU L Y, DAI M H, WU Z L. Effects of DPC on agronomic characters, yield, fiber quality of machine picked cotton in the yellow river valley and chemical treatment technical research [J]. Chin. Agric. Sci. Bull., 2018, 34(33):44-48. | |
13 | 平文超,张忠波,刘毅,等.不同生长调节剂对棉花赘芽生长及产量性状的影响[J].中国农学通报,2015,31(33):111-115. |
PING W C, ZHANG Z B, LIU Y, et al.. Effect of different plant growth regulators on redundant vegetative shoots growth and yield characteristics of cotton [J]. Chin. Agric. Sci. Bull., 2015, 31(33):111-115. | |
14 | 杨成勋,张旺锋,徐守振,等.喷施化学打顶剂对棉花冠层结构及群体光合生产的影响[J].中国农业科学,2016,49(9):1672-1684. |
YANG C X, ZHANG W F, XU S Z, et al.. Effects of spraying chemical topping agents on canopy structure and canopy photosynthetic production in cotton [J]. Chin. Agric. Sci., 2016, 49(9):1672-1684. | |
15 | 段鹏飞,赵地. DPC与DTA-6复配对棉叶衰老的生理特性、产量与品质的影响[J].中国农业科技导报, 2018,20(3):104-114. |
DUAN P F, ZHAO D. Effects of DPC and DTA-6 on leaf senescence physiological characteristics, yield and quality [J]. J. Agric. Sci. Technol., 2018, 20(3):104-114. | |
16 | 张超,于起庆,马晓丽,等.缩节胺对棉花生长及产量影响的应用研究进展[J].安徽农业科学,2020,48(9):11-13. |
ZHANG C, YU Q Q, MA X L, et al.. Advances in the application of mepiquat chloride to the growth and yield of cotton [J]. Anhui Agric. Sci., 2020, 48(9):11-13. | |
17 | 陈津赛,孙玮皓,王广帅,等.不同施氮量对麦田土壤水稳性团聚体和N2O排放的影响[J].应用生态学报,2021,32(11):3961-3968. |
CHEN J S, SUN W H, WANG G S, et al.. Effects of different nitrogen application rates on soil water stable aggregates and N2O emission in winter wheat field [J]. Chin. J. Appl. Ecol., 2021,32(11):3961-3968. | |
18 | 李俊.安徽粮食主产区化学药肥减量替代长效保障机制研究[D].合肥:安徽农业大学,2019. |
LI J. Study on long-term guarantee mechanism of chemical pesticide and fertilizer reduction in major grain producing areas in Anhui province [D]. Hefei: Anhui Agricultural University, 2019. | |
19 | 李志强,杨永林,刘洪亮,等.不同施肥量对北疆高产棉花冠层结构、养分吸收和产量构成的影响[J].中国农学通报,2014,30(33):105-109. |
LI Z Q, YANG Y L, LIU H L, et al.. Effect of different fertilizer on canopy structure, nutrient absorption and yield formation of high-yield cotton in north Xinjiang, China [J]. Chin. Agric. Sci. Bull., 2014, 30(33):105-109. | |
20 | 王芳,马云珍,郑苍松,等.连续定位不同施氮水平对棉花光合特性及产量的影响[J].南京农业大学学报,2022,45(1):18-26. |
WANG F, MA Y Z, ZHENG C S, et al.. Effect of continuous positioning of different nitrogen application levels on photosynthetic characteristics and yield of cotton [J]. J. Nanjing Agric. Univ.,2022,45(1):18-26. | |
21 | 张特,王蜜蜂,赵强.滴施缩节胺与氮肥对棉花生长发育及产量的影响[J].作物学报,2022,48(2):396-409. |
ZHANG T, WANG M F, ZHAO Q. Effects of DPC and nitrogen fertilizer through drip irrigation on growth and yield in cotton [J]. Acta Agron. Sin.,2022,48(2):396-409. | |
22 | 罗宏海,赵瑞海,韩春丽,等.缩节胺(DPC)对不同密度下棉花冠层结构特征与产量性状的影响[J].棉花学报,2011,23(4):334-340. |
LUO H H, ZHAO R H, HAN C L, et al.. Effects of growth regulators (DPC) on canopy architecture and yield characteristics of cotton under different planting densities [J]. J. Cott. Sci., 2011, 23(4):334-340. | |
23 | 张鑫磊,刘连涛,孙红春,等.不同施氮水平下棉花叶片最大羧化速率的高光谱估测[J].农业工程学报,2020,36(11):166-173. |
ZHANG X L, LIU L T, SUN H C, et al.. Hyperspectral estimation of the maximum carboxylation rate of cotton leaves under different nitrogen levels [J]. Trans. Chin. Soc. Agric. Eng., 2020, 36(11):166-173. | |
24 | 时晓娟,韩焕勇,王方永,等.DPC+化学封顶对不同施氮量下棉花叶片光合生理特性的影响[J].作物学报,2020,46(9):1416-1429. |
SHI X J, HAN H Y, WANG F Y, et al.. Effects of chemical topping with fortified mepiquat chloride on photosynthetic characteristics of cotton leaves under different nitrogen rates [J]. Acta Agron. Sin., 2020, 46(9):1416-1429. | |
25 | ZHAO D, OOSTERHUIS D M. Pix plus and mepiquat chloride effects on physiology,growth, and yield of field-grown cotton [J]. J. Plant Growth Regul., 2000, 19(4):415-422. |
26 | 黎芳.黄河流域棉区DPC+化学封顶技术及其配套措施研究[D].北京:中国农业大学,2017. |
LI F.Study on the technology of chemical topping with DPC+ and its supporting measures in the yellow river valley region of China [D]. Beijing: China Agricultural University, 2017. | |
27 | 颜为,李芳军,徐东永,等.行距与氮肥或甲哌鎓化控对棉花冠层结构、温度和相对湿度的影响[J].作物学报,2021,47(9):1654-1665. |
YAN W, LI F J, XU D Y, et al.. Effects of row spacings and nitrogen or mepiquat chloride application on canopy architecture, temperature and relative humity in cotton [J]. Acta Agron. Sin., 2021, 47(9):1654-1665. | |
28 | 徐景丽.氮素和缩节胺对小麦后直播棉产量及农艺性状的调节[D].扬州:扬州大学,2021. |
XU J L.Regulation of both nitrogen and DPC on the yield and agronomic triats for direct seeding cotton after wheat harvest [D]. Yangzhou:Yangzhou University, 2021. | |
29 | 刘生荣,李葆来,贾涛,等.棉花限水灌溉与氮肥化学控制的产量效应研究[J].中国生态农业学报,2005,13(3):76-78. |
LIU S R, LI B L, JIA T, et al.. Study on limited irrigation and N fertilizer and DPC regulation for yield effect of cotton [J]. Chin. J. Eco-Agric., 2005,13(3):76-78. |
[1] | 张振飞, 颜安, 郭靖, 赵宇航, 袁以琳, 刘鹏, 曲佐昊, 袁川. 基于无人机遥感的苹果产量估测模型研究[J]. 中国农业科技导报, 2025, 27(9): 110-119. |
[2] | 张剑峰, 侯文峰, 伍永清, 李凯旭, 李小坤. 氮肥与密度互作对水稻病虫害发生和产量的影响[J]. 中国农业科技导报, 2025, 27(9): 145-154. |
[3] | 吕彩霞, 李永福, 信会男, 李娜, 赖宁, 耿庆龙, 陈署晃. 缓释氮肥对滴灌冬小麦产量及土壤硝/铵态氮的影响[J]. 中国农业科技导报, 2025, 27(8): 179-186. |
[4] | 刘雪晴, 王静, 阳宜, 吴慧琴, 王延宏, 王麓尧, 路佳伟, 张凯璇, 翟源, 成妍. 外源乙烯利对色素辣椒脱叶及产量的影响[J]. 中国农业科技导报, 2025, 27(8): 36-46. |
[5] | 朱强, 车宗贤, 崔恒, 张久东, 包兴国. 绿肥替代氮肥对麦田温室气体的影响[J]. 中国农业科技导报, 2025, 27(7): 182-189. |
[6] | 周琦, 刘强, 张靖, 邓超超, 王振龙, 柳洋, 吴芳, 常浩, 周彦芳, 宿翠翠, 施志国, 高正睿, 马凤捷. 有机肥替代化肥对土壤生物学特性及南瓜产量的影响[J]. 中国农业科技导报, 2025, 27(7): 190-203. |
[7] | 张曦瑜, 沈幸, 李伟, 谢文歌, 李杰, 杨昌浩, 柴仲平. 氮肥减量配施有机肥对库尔勒香梨园土壤细菌群落结构的影响[J]. 中国农业科技导报, 2025, 27(7): 217-228. |
[8] | 庆福, 梁洪月, 孙静, 鲁新蕊, 梁运江. 生物炭-氮肥配施对东北黑土团聚体及有机碳含量的影响[J]. 中国农业科技导报, 2025, 27(6): 195-204. |
[9] | 陈士超, 王举, 郭富强, 郝瑞, 石建平. 不同水氮耦合对蛋白桑生理指标及产量的影响[J]. 中国农业科技导报, 2025, 27(6): 240-249. |
[10] | 吴艳, 邹乐萍, 宋惠洁, 胡丹丹, 柳开楼, 梁万里. 控释氮肥和尿素配施对田面水铵态氮和早稻产量的影响[J]. 中国农业科技导报, 2025, 27(4): 192-200. |
[11] | 李大荣, 李小玲, 周武先, 张美德, 蒋小刚, 由金文, 王华. 有机肥替代部分化肥对湖北贝母生长及土壤性质的影响[J]. 中国农业科技导报, 2025, 27(3): 216-226. |
[12] | 段俊雅, 赵园园, 王婷婷, 韦建玉, 王政, 王德勋, 李娟, 史宏志. 减氮配施聚天冬氨酸对烤烟氮素利用及产质量的影响[J]. 中国农业科技导报, 2025, 27(3): 227-238. |
[13] | 吴强, 吴聪连, 吴小云, 吴剑, 徐选美, 赖俊声, 胡伟云, 龚榜初, 江锡兵. 不同施肥处理对锥栗产量及果实品质的影响[J]. 中国农业科技导报, 2025, 27(2): 228-237. |
[14] | 刘婷婷, 郝曦煜, 王辉, 冷静文, 宫世航, 刘伟. 吉林西部半干旱地区不同谷子品种产量与农艺性状的分析[J]. 中国农业科技导报, 2025, 27(1): 50-60. |
[15] | 石纹碹, 谭金芳, 张倩, 李岚涛, 王宜伦. 一次性施肥对不同生态区夏玉米产量和氮肥效率的影响[J]. 中国农业科技导报, 2024, 26(9): 193-202. |
阅读次数 | ||||||
全文 |
|
|||||
摘要 |
|
|||||