中国农业科技导报 ›› 2022, Vol. 24 ›› Issue (4): 134-143.DOI: 10.13304/j.nykjdb.2021.0852
刘璐1(), 陶秀萍2(
), 宋建超2, 尚斌1, 徐文倩1, 董红敏1, 蔡阳扬1
收稿日期:
2021-10-06
接受日期:
2022-01-18
出版日期:
2022-04-15
发布日期:
2022-04-19
通讯作者:
陶秀萍
作者简介:
刘璐 E-mail:467742708@qq.com;
基金资助:
Lu LIU1(), Xiuping TAO2(
), Jianchao SONG2, Bin SHANG1, Wenqian XU1, Hongmin DONG1, Yangyang CAI1
Received:
2021-10-06
Accepted:
2022-01-18
Online:
2022-04-15
Published:
2022-04-19
Contact:
Xiuping TAO
摘要:
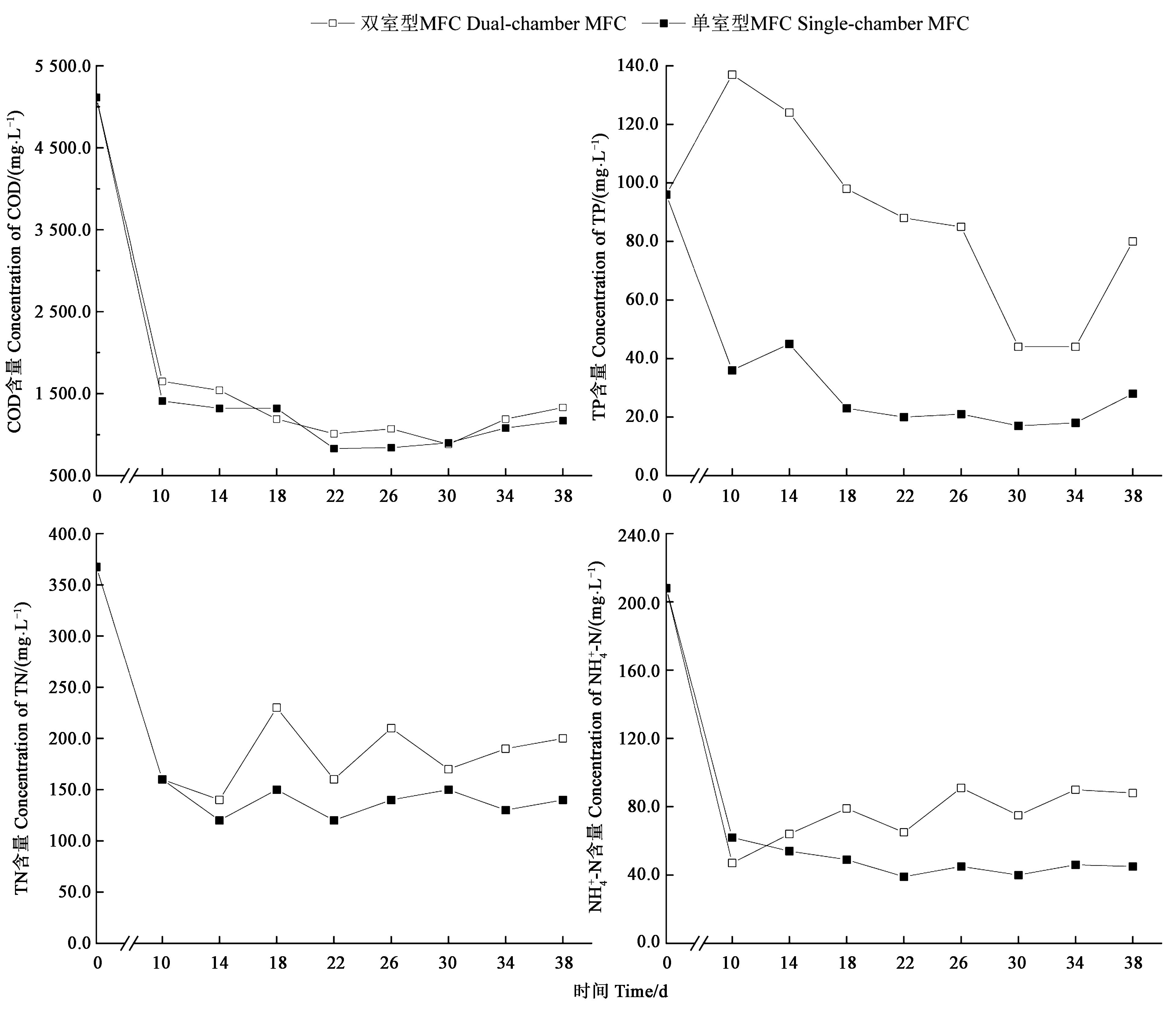
为探讨微生物燃料电池(microbial fuel cell,MFC)应用于奶牛场污水处理技术的可行性,通过构建双室型和单室型MFC反应装置,以奶牛场污水为阳极反应液,对MFC的产电性能以及污水中主要污染物的降解效果进行研究。结果表明,单室型和双室型MFC均可稳定地产电运行,平均日最大输出电压分别为563.8和390.8 mV,最大功率密度分别为48.5和21.7 mW·m-2,表观内阻分别为346.4和489.5 Ω,且单室型MFC产电性能优于双室型;单室型和双室型MFC对奶牛场污水中化学需氧量(chemical oxygen demand,COD)的平均去除率分别为79.3%和77.4%;单室型MFC对总磷(total phosphorus,TP)、总氮(total nitrogen,TN)和氨氮(ammonia nitrogen,NH
中图分类号:
刘璐, 陶秀萍, 宋建超, 尚斌, 徐文倩, 董红敏, 蔡阳扬. 微生物燃料电池处理奶牛场污水运行效果与产电性能试验研究[J]. 中国农业科技导报, 2022, 24(4): 134-143.
Lu LIU, Xiuping TAO, Jianchao SONG, Bin SHANG, Wenqian XU, Hongmin DONG, Yangyang CAI. Bench-scale Study on Operation Effect and Power Generation Performance Treatment of Dairy Farms Wastewater by Microbial Fuel Cell[J]. Journal of Agricultural Science and Technology, 2022, 24(4): 134-143.
化学需氧量 Chemical oxygen demand/(mg·L -1 ) | 总磷 Total phosphorus/(mg·L -1 ) | 总氮 Total nitrogen/ (mg·L -1 ) | 氨氮 Ammonia nitrogen/(mg·L -1 ) | 电导率 Conductivity value/ (μS·cm-1) | pH |
---|---|---|---|---|---|
5 115.0±381.6 | 96.0±7.8 | 367.5±11.5 | 208.1±8.6 | 3 641.6±120.1 | 8.0±0.1 |
表1 MFC阳极进水水质特性
Table 1 Inlet water quality characteristics of microbial fuel cell
化学需氧量 Chemical oxygen demand/(mg·L -1 ) | 总磷 Total phosphorus/(mg·L -1 ) | 总氮 Total nitrogen/ (mg·L -1 ) | 氨氮 Ammonia nitrogen/(mg·L -1 ) | 电导率 Conductivity value/ (μS·cm-1) | pH |
---|---|---|---|---|---|
5 115.0±381.6 | 96.0±7.8 | 367.5±11.5 | 208.1±8.6 | 3 641.6±120.1 | 8.0±0.1 |
MFC反应器腔室 MFC reactor chamber | COD | TP | TN | NH |
---|---|---|---|---|
双室型MFC Dual-chamber MFC | 77.4±1.8 a | 35.2±15.8 b | 51.8±4.1 b | 65.2±2.1 b |
单室型MFC Single-chamber MFC | 79.3±2.0 a | 70.9±5.2 a | 65.4±1.5 a | 78.9±1.2 a |
表2 MFC对污水主要污染物的平均去除率 (%)
Table 2 Average effluent water removal rate of MFC
MFC反应器腔室 MFC reactor chamber | COD | TP | TN | NH |
---|---|---|---|---|
双室型MFC Dual-chamber MFC | 77.4±1.8 a | 35.2±15.8 b | 51.8±4.1 b | 65.2±2.1 b |
单室型MFC Single-chamber MFC | 79.3±2.0 a | 70.9±5.2 a | 65.4±1.5 a | 78.9±1.2 a |
MFC反应器腔室 MFC reactor chamber | 11~14 d | 15~18 d | 19~22 d | 31~34 d | 35~38 d | 平均值 Average value |
---|---|---|---|---|---|---|
双室型MFC Dual-chamber MFC | 11.7 | 8.1 | 11.3 | 32.9 | 10.8 | 14.9±4.5 a |
单室型MFC Single-chamber MFC | 17.0 | 21.6 | 9.9 | 26.9 | 14.1 | 17.9±2.9 a |
表3 试验期间库伦效率的变化情况 (%)
Table 3 Profile of Coulomb efficiency during test time
MFC反应器腔室 MFC reactor chamber | 11~14 d | 15~18 d | 19~22 d | 31~34 d | 35~38 d | 平均值 Average value |
---|---|---|---|---|---|---|
双室型MFC Dual-chamber MFC | 11.7 | 8.1 | 11.3 | 32.9 | 10.8 | 14.9±4.5 a |
单室型MFC Single-chamber MFC | 17.0 | 21.6 | 9.9 | 26.9 | 14.1 | 17.9±2.9 a |
1 | 生态环境部,国家统计局,农业农村部. 第二次全国污染源普查公报[EB/OL].(2020-06-08) [2021-12-07]. . |
2 | 李萌.基于比较优势理论的中国奶牛养殖产业布局研究[D].哈尔滨:东北农业大学, 2019. |
LI M. Industrial layout reserch of chinese dairy farming based on comparative advantage theory [D]. Harbin: Northeast Agricultural University, 2019. | |
3 | 宋建超.基于絮凝预处理的膜生物反应器处理奶牛场高浓度污水中试试验研究[D].北京:中国农业科学院, 2021. |
SONG J C. Pilot study on membrane bioreactor treating high-strength dairy farm wastewater based on flocculation pretreatment [D]. Beijing: Chinese Academy of Agricultural Sciences, 2021. | |
4 | 杨培媛,尚斌,温富勇,等.奶牛场高浓度污水的絮凝预处理效果研究[J].中国农业科技导报,2018,20(5):132-139. |
YANG P Y, SHANG B, WEN F Y, et al.. Influences of flocculation on wastewater with high concentration pollutants from dairy cattle farm [J]. J. Agr. Sci. Tech., 2018, 20(5): 132-139. | |
5 | 宋建超,尚斌,温富勇,等.奶牛场高浓度污水絮凝处理中试效果研究[J].畜牧与兽医,2021,53(4):48-53. |
SONG J C, SHANG B, WEN F Y, et al.. A pilot study of pretreating highstrength wastewater from a dairy farm by flocculation [J]. Anim. Husb. Vet. Med., 2021, 53(4): 48-53. | |
6 | 郭江鹏,周化斌,姜小伟,等.连续回分式活性污泥处理工艺在奶牛养殖废水治理中的应用[J].家畜生态学报, 2020,41(4):69-73. |
GUO J P, ZHOU H B, JIANG X W, et al.. Application of continuous recycling activated sludge treatment technology in dairy cattle farm [J]. Acta Ecol. Anim. Dom., 2020, 41(4): 69-73. | |
7 | 王兆凯,许光宇,纪荣平.EGSB预处理奶牛养殖废水的效能研究[J].水处理技术,2020,46(5):121-125, 128. |
WANG Z K, XU G Y, JI R P. Application of membrane-based salt separation and concentration in chloro-alkali wastewater treatment [J]. Tech. Water Treat., 2020, 46(5): 121-125, 128. | |
8 | 杨培媛.膜生物反应器处理奶牛场污水效果研究[D].北京:中国农业科学院,2019. |
YANG P Y. The performance of membrane bioreactor treating wastewater from dairy farm [D]. Beijing: Chinese Academy of Agricultural Sciences, 2019. | |
9 | 卢健.奶牛场排泄物产生、收集、堆积及处理过程中氮、磷变化研究[D].南京:南京农业大学,2013. |
LU J. Changes in nitrogen and phosphorus of dairy cow excreta during generation, collection, stacking and treatment process [D]. Nanjing: Nanjing Agricultural University, 2003. | |
10 | 龚诣,吴洁,苏衍菁,等.规模化奶牛场废水处理技术研究进展[J].中国奶牛,2018(8):64-67. |
GONG Y, WU J, SU Y J, et al.. Research progress of dairy farm wastewater treatment technology [J]. China Dairy Cattle, 2018(8): 64-67. | |
11 | 税勇,川岸朋树,宋小燕,等.两种膜生物反应器处理养猪沼液的比较研究[J].环境科学,2015,36(9):3319-3328. |
SHUI Y, KAWAGISHI T, SONG X Y, et al.. A comparative study on two membrane bioreactors for the treatment of digested piggery wastewater [J]. Environ. Sci., 2015, 36(9): 3319-3328. | |
12 | KUMAR S S, KUMAR V, MALYAN S K, et al.. Microbial fuel cells (MFCs) for bioelectrochemical treatment of different wastewater streams [J/OL]. Fuel, 2019, 254: 115526 [2021-12-07]. . |
13 | KUMAR G, BAKONYI P, KOBAYASHI T, et al.. Enhancement of biofuel production via microbial augmentation: the case of dark fermentative hydrogen [J]. Renew Sustain Energy Rev., 2016, 57: 879-891. |
14 | YE Y Y, NGO H H, GUO W S, et al.. Effect of organic loading rate on the recovery of nutrients and energy in a dual -chamber microbial fuel cell [J]. Bioresour. Technol., 2019, 281: 367-373[2021-12-07]. . |
15 | TAMÁS R, LÁSZLÓ K, PÉTER B, et al.. Municipal waste liquor treatment via bioelectrochemical and fermentation (H2+CH4) processes: assessment of various technological sequences [J]. Chemosphere, 2017(171): 692-701. |
16 | FIRDOUS S, JIN W, SHAHID N, et al.. The performance of microbial fuel cells treating vegetable oil industrial wastewater [J/OL]. Environ. Tech. Innov., 2018, 10:143-151[2021-12-07]. . |
17 | JAGDEEP K N, AMIT, UTTAM K G. An innovative mixotrophic approach of distillery spent wash with sewage wastewater for biodegradation and bioelectricity generation using microbial fuel cell [J]. J. Water Process Eng., 2018, 23: 306-313. |
18 | 陈翔,胡春光,沈建国,等.不同电子受体对牛粪微生物燃料电池性能的影响研究[J].水处理技术,2020,46(3):76-79. |
CHEN X, HU C G, SHEN J G, et al.. Effect of different electron acceptors on the electricity generation performance of dairymanure fermentation [J]. Tech. Water Treat., 2020, 46(3): 76-79. | |
19 | PARK Y, PARK S, NGUYEN V K, et al.. Complete nitrogen removal by simultaneous nitrification and denitrification in flat-panel air-cathode microbial fuel cells treating domestic wastewater [J/OL]. Chem. Eng. J., 2017, 316: 673-679[2021-12-07]. . |
20 | HWANG J H, KIM K Y, RESURRECCION E P, et al.. Surfactant addition to enhance bioavailability of bilge water in single chamber microbial fuel cells (MFCs)[J]. J. Hazard. Mater., 2019, 368: 732-738. |
21 | 李小虎,朱能武,李冲,等.以养殖废水为底料的微生物燃料电池产电性能与水质净化效果[J].环境工程学报,2012,6(7):2189-2194. |
LI X H, ZHU N W, LI C, et al.. Electricity generation and treatment of swine wastewater using microbial fuel cells [J]. Chin J. Environ. Eng., 2012, 6(7):2189-2194. | |
22 | KENGO I, TOSHIHIRO I, YOSHIHIRO K, et al.. Electricity generation from cattle manure slurry by cassette-electrode microbial fuel cells [J]. J. Biosci. Bioeng., 2013, 116(5): 610-615. |
23 | 曹琳,雍晓雨,周俊,等.以沼液为原料的微生物燃料电池产电降解特性[J].化工学报,2014,65(5):1900-1905. |
CAO L, YONG X Y, ZHOU J, et al.. Electrical and degradation characteristics of microbial fuel cell using biogas slurry as substrate [J]. CEISC J., 2014, 65(5): 1900-1905. | |
24 | PENG L, RUI D, YONG J, et al.. One-year operation of 1000-L modularized microbial fuel cell for municipal wastewater treatment [J/OL]. Water, 2018, 141:1-8[2021-12-07]. . |
25 | XAVIER A W, IRENE M J, JOHN G, et al.. Pee power urinalⅡurinal scale-up with microbial fuel cell scale-down for improved lighting [J]. J. Power Sources, 2018, 392: 150-158. |
26 | TAMILARASAN K, BANU J R, JAYASHREE C, et al.. Effect of organic loading rate on electricity generating potential of upflow anaerobic microbial fuel cell treating surgical cotton industry wastewater [J]. J. Environ. Chem. Eng., 2017, 5(1): 1021-1026. |
27 | LÁSZLÓ K, TAMÁS R, NÁNDOR N, et al.. Bioelectrochemical treatment of municipal waste liquor in microbial fuel cells for energy valorization [J]. J. Cleaner Prod., 2016, 112: 4406-4412. |
28 | 丘通强,马双念,毛星晨,等.奶牛养殖废水处理技术现状及进展[J].广东化工, 2021,48(10):137-139. |
QIU T Q, MA S N, MAO X C, et al.. Status and progress of wastewater treatment technology for dairy farming wastewater [J]. Guangdong Chem. Ind., 2021, 48(10): 137-139. | |
29 | 叶晔捷,宋天顺,徐源,等.微生物燃料电池产电的影响因素[J].过程工程学报,2009,9(3):526-530. |
YE Y J, SONG T S, XU Y, et al.. Investigation on influential factors in electricity generation of microbial fuel cell [J]. China. J. Process Eng., 2009, 9(3): 526-530. | |
30 | 廖源.单室无膜空气阴极微生物燃料电池处理垃圾渗滤液的影响因素研究[D].安徽淮南:安徽理工大学,2019. |
LIAO Y. Study on the factors influencing the treatment of landfill leachate by single-chamber air-cathode microbial fuel cells [D]. Anhui Huainan: Anhui University of Science and Technology, 2019. | |
31 | LOGAN B E.微生物燃料电池[M].冯玉杰,王鑫,译.北京:化学工业出版社, 2009,13-103. |
32 | KIM J R, DEC J, BRUNS M A, et al.. Removal of odors from Swine wastewater by using microbial fuel cells [J]. Appl. Environ. Microbiol., 2008, 74(8): 2540-2543. |
33 | 冯雅丽,毕耜超,李浩然,等.单室无膜空气阴极微生物燃料电池处理沼液的研究[J].高校化学工程学报,2013,27(5):889-895. |
FENG Y L, BI S C, LI H R, et al.. Treatment of biogas slurry using membrane-less air cathode single-chamber microbial fuel cells [J]. J. Chem. Eng. Chinese Univ., 2013, 27(5): 889-895. | |
34 | 王芳,张德俐,陈梅,等.沼液微生物燃料电池的产电及有机物降解特性研究[J].农业工程学报,2019,35(9):206-213. |
WANG F, ZHANG D L, CHEN M, et al.. Power generation and organic degradation performance of microbial fuel cell with biogas slurry [J]. Trans. Chin Sci. Agr. Eng., 2019, 35(9): 206-213. | |
35 | KIM B H, CHANG I S, GADD G M. Challenges in microbial fuel cell developmentand operation[J/OL]. Appl. Microbiol. Biotechnol., 2007, 76(3): 485-494 [2021-12-07]. . |
36 | 吴义诚,王泽杰,刘利丹,等.利用光微生物燃料电池实现养猪废水资源化利用研究[J].环境科学学报,2015,35(2):456-460. |
WU Y C, WANG Z J, LIU L D, et al..Resource recovery of swine wastewater using photo microbial fuel cells [J]. Acta Sci. Circ., 2015, 35(2): 456-460. | |
37 | 顾冬燕,贾红华,伍元东,等.利用微生物燃料电池同步降解沼液和三苯基氯化锡[J].化工学报,2016,67(5):2056-2063. |
GU D Y, JIA H H, WU Y D, et al.. Synchronously degradation of biogas slurry and triphenyltin chloride in microbial fuel cell [J]. CIESC J., 2016, 67(5): 2056-2063. | |
38 | DU Z, LI H, GU T. A state of the art review on microbial fuel cells: A promising technology for wastewater treatment and bioenergy [J/OL]. Biotechnol. Adv., 2007, 25(5): 464-482 [2021-12-07]. . |
39 | SARATALE R G, SARATALE G D, PUGAZHENDHI A, et al.. Microbiome involved in microbial electrochemical systems (MESs): a review[J]. Chemosphere, 2017, 177: 176-188. |
40 | 董恒.基于活性炭的低成本,高性能微生物燃料电池空气阴极研究[D].天津:南开大学, 2013. |
DONG H. Study on low cost and high performance air cathode basing on activated carbon in microbial fuel cells [D]. Tianjin: Nankai University, 2013. | |
41 | 杨利伟,龙朋成,李德溢,等.小球藻生物阴极MFC处理养猪废水及产电性能[J].中国给水排水,2019,35(11):1-8. |
YANG L W, LONG P C, LI D Y, et al.. Electricity generation performance and treatment of swine wastewater by chlorella biocathode microbial fuel cell [J]. China Water Wastewater, 2019, 35(11): 1-8. | |
42 | XIA T, ZHANG X L, WANG H M, et al.. Power generation and microbial community analysis in microbial fuel cells: a promising system to treat organic acid fermentation wastewater [J/OL]. Bioresour. Tech., 2019, 284: 72-79[2021-12-07]. . |
[1] | 谭华强, 李丽平, 铁曼曼, 杨家勤, 郑晓云, 潘绍坤, 唐有万. 紫色辣椒花青素降解相关基因的挖掘与分析[J]. 中国农业科技导报, 2025, 27(9): 79-91. |
[2] | 王跃锋, 张晨阳, 罗正明, 李建华, 李然, 孙楠, 徐明岗. 整合分析添加有机物料对我国农田土壤微生物残体的影响[J]. 中国农业科技导报, 2025, 27(2): 180-191. |
[3] | 张余莽, 陈贵娟, 常洪艳, 王永恒, 刘淑霞, 应允秀. 水分胁迫下新型土壤保水剂对玉米苗期发育的影响[J]. 中国农业科技导报, 2025, 27(1): 201-210. |
[4] | 谢勇俊, 潘小卓, 陈福慧, 尹凯波, 金嘉悦, 王一兵. 人参酚酸类自毒物质降解菌的筛选鉴定及生防研究[J]. 中国农业科技导报, 2024, 26(7): 147-155. |
[5] | 姜坤宏, 许祯莹, 郭真真, 白林, 郝晓霞, 姜冬梅, 邱时秀. 微生物电化学技术原理及其在畜禽废弃物资源化领域的应用研究进展[J]. 中国农业科技导报, 2024, 26(7): 210-222. |
[6] | 姚建民, 马俊奎, 王忠祥, 毕昕媛, 李瑞珍, 杨瑞平, 刘钊, 郭丰辉. 全生物降解渗水地膜在大豆-玉米带状复合种植中的应用效果研究[J]. 中国农业科技导报, 2023, 25(9): 178-185. |
[7] | 李瑞珍, 姚建民, 王忠祥, 高凤翔, 窦贵新, 杨瑞平, 刘钊, 张继, 张振宇. 全生物降解渗水地膜覆盖冬播谷子产量结构关系分析[J]. 中国农业科技导报, 2023, 25(5): 185-191. |
[8] | 柳春雨, 门丽娜, 连雅琴, 张宇宏, 张志伟, 张伟. 大蜡螟幼虫肠道微生物聚乙烯降解酶基因的表达及性质分析[J]. 中国农业科技导报, 2023, 25(3): 132-139. |
[9] | 吴玉洪, 郭荣君, 马桂珍, 李世东. 嗜吡啶红球菌Rp3生长及降解粪臭素特性研究[J]. 中国农业科技导报, 2022, 24(6): 82-89. |
[10] | 王玉, 李春光, 刘欢, 张月华, 冯晓民, 李耀光, 李怀奇, 景延秋, 孙觅. 烤烟叶片叶绿体超微结构与质体色素降解产物的关系初探[J]. 中国农业科技导报, 2022, 24(3): 67-76. |
[11] | 黄婉秋, 石冬冬, 蔡红英, 于大力, 孟昆, 杨培龙, . 白星花金龟幼虫肠道中纤维素降解菌的筛选及其全基因组分析#br#[J]. 中国农业科技导报, 2021, 23(6): 51-58. |
[12] | 李国伟1,何静1,郭坤杰1,吉日木图1,2*. 双峰驼源纤维素降解菌的筛选及其对酒糟的降解效果[J]. 中国农业科技导报, 2021, 23(4): 64-75. |
[13] | 杨梦雅1,闫非凡1,闫美超1,王贺1,朴仁哲1,崔宗均2,赵洪颜1*. 低温木质纤维素分解复合菌系PLC-8对玉米秸秆的分解特性[J]. 中国农业科技导报, 2021, 23(1): 73-81. |
[14] | 王志云1,2,罗会颖2,姚斌2,徐波1*,涂涛2*. Bispora sp. MEY-1 来源嗜酸果胶甲酯酶性质分析及其应用研究[J]. 中国农业科技导报, 2020, 22(5): 60-70. |
[15] | 王伟1,郑大浩1,杨超博2,李泳1,王薇1,李熙英1,3*. 高效纤维素分解菌的分离及秸秆降解生物效应[J]. 中国农业科技导报, 2019, 21(8): 36-46. |
阅读次数 | ||||||
全文 |
|
|||||
摘要 |
|
|||||