中国农业科技导报 ›› 2022, Vol. 24 ›› Issue (4): 144-153.DOI: 10.13304/j.nykjdb.2021.0041
易媛(), 张会云, 刘立伟, 王静, 朱雪成, 赵娜, 冯国华(
)
收稿日期:
2021-01-13
接受日期:
2021-04-11
出版日期:
2022-04-15
发布日期:
2022-04-19
通讯作者:
冯国华
作者简介:
易媛 E-mail:yvonneyi19890803@163.com;
基金资助:
Yuan YI(), Huiyun ZHANG, Liwei LIU, Jing WANG, Xuecheng ZHU, Na ZHAO, Guohua FENG(
)
Received:
2021-01-13
Accepted:
2021-04-11
Online:
2022-04-15
Published:
2022-04-19
Contact:
Guohua FENG
摘要:
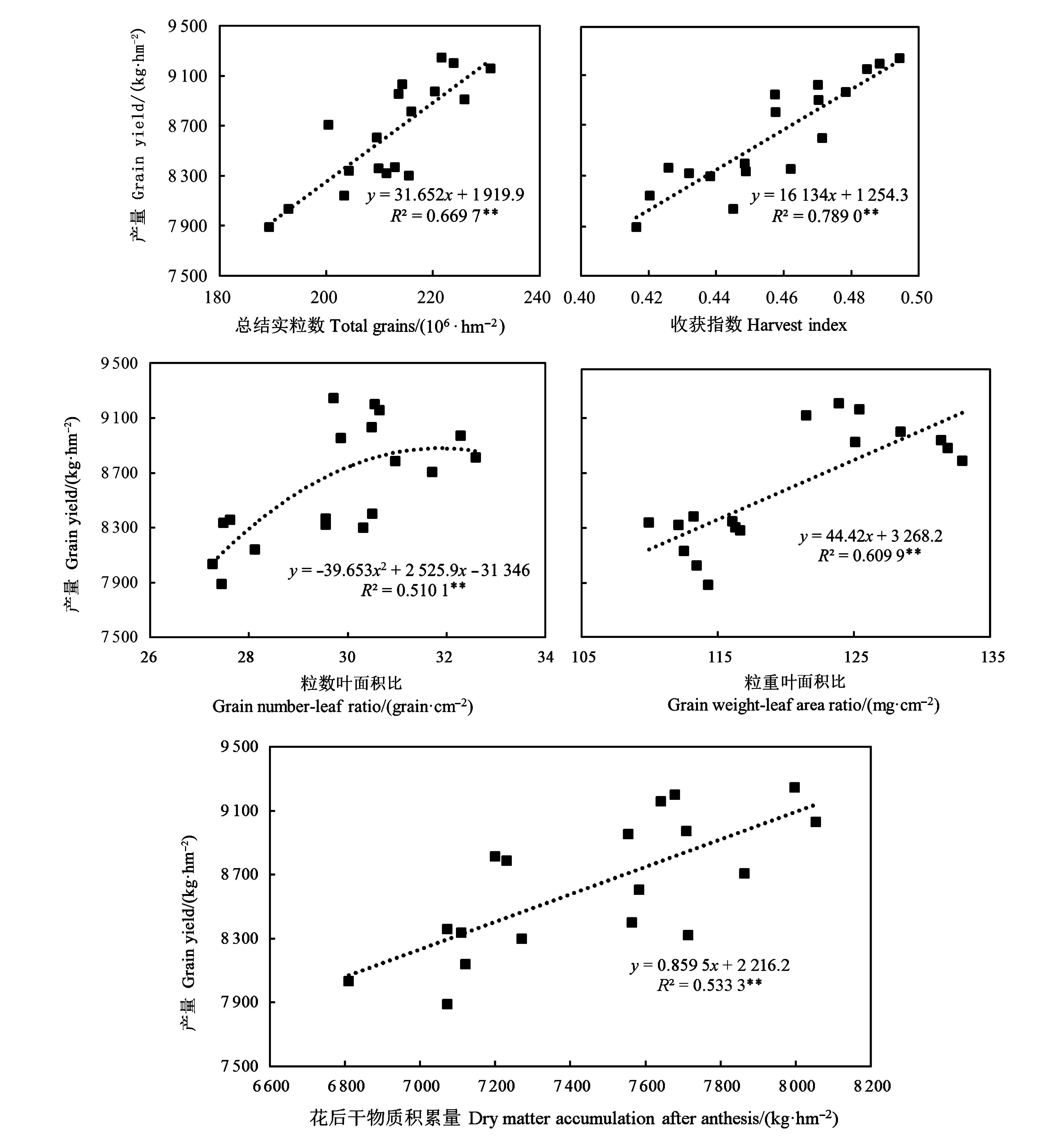
为探究活性腐殖酸缓释肥(slow-released fertilizer,SRF)替代尿素对徐麦新品种的增产效果,采用三因素裂区设计,以2个供试品种徐麦2023、徐麦38为主区,设尿素和缓释肥2个基肥种类,根据不同氮肥追肥方式设置5个处理(A1、A2、A3、A4、A5),探究不同氮肥处理对2个小麦新品种产量及其构成因素、叶面积指数、茎蘖数、茎蘖成穗率、干物质积累、收获指数(harvest index,HI)的影响,并分析产量与各主要群体质量指标的相关关系。结果表明,籽粒产量与总结实粒数、花后干物质积累量、收获指数、粒重叶面积比均呈显著正相关(P<0.05);2个品种产量均表现为在A1处理下最低,施用缓释肥增产潜力均高于施用尿素;各追肥方式中以返青期追施缓释肥处理增产效果最好;与农民惯用施肥模式(基肥和拔节肥均施用尿素)相比,播种前和返青期2次施用缓释肥可使徐麦2023和徐麦38分别增产2.86%和3.06%,表明该施肥模式在生产上具有较高的增产潜力和应用价值。
中图分类号:
易媛, 张会云, 刘立伟, 王静, 朱雪成, 赵娜, 冯国华. 活性腐殖酸缓释肥替代尿素对徐麦新品种产量和群体质量的影响[J]. 中国农业科技导报, 2022, 24(4): 144-153.
Yuan YI, Huiyun ZHANG, Liwei LIU, Jing WANG, Xuecheng ZHU, Na ZHAO, Guohua FENG. Effects of Slow-released Fertilizer Compound Humic Acid Instead of Urea on Grain Yield and Population Quality in Xumai New Varieties[J]. Journal of Agricultural Science and Technology, 2022, 24(4): 144-153.
处理 Treatment | 施肥时期和用量 Topdressing period and dosage/% | 追施氮肥种类 Topdressing type | ||
---|---|---|---|---|
基肥 Base fertilizer | 返青期 Re-greening period | 拔节期 Jointing period | ||
A1 | 100 | — | — | — |
A2 | 50 | 50 | — | 缓释肥SRF |
A3 | 50 | — | 50 | 缓释肥SRF |
A4 | 50 | 50 | — | 尿素Urea |
A5 | 50 | — | 50 | 尿素Urea |
表1 氮肥追肥处理设计
Table 1 Design of nitrogen topdressing treatment
处理 Treatment | 施肥时期和用量 Topdressing period and dosage/% | 追施氮肥种类 Topdressing type | ||
---|---|---|---|---|
基肥 Base fertilizer | 返青期 Re-greening period | 拔节期 Jointing period | ||
A1 | 100 | — | — | — |
A2 | 50 | 50 | — | 缓释肥SRF |
A3 | 50 | — | 50 | 缓释肥SRF |
A4 | 50 | 50 | — | 尿素Urea |
A5 | 50 | — | 50 | 尿素Urea |
品种 Variety | 基肥种类 Type of base fertilizer | 追肥处理 Topdressing treatment | 穗数 Number of ears/ (104·hm-2) | 每穗粒数Grans per spike | 千粒重 1 000-grain weight/g | 产量 Grain yield/ (kg·hm-2) |
---|---|---|---|---|---|---|
徐麦2023 Xumai 2023 | 尿素 Urea | A1 | 611.5 ab | 31.0 b | 41.9 cdefgh | 7 888.9 h |
A2 | 629.5 ab | 33.3 ab | 40.2 ghi | 8 358.4 efg | ||
A3 | 618.0 ab | 34.2 ab | 39.9 i | 8 321.5 efg | ||
A4 | 607.7 b | 33.4 ab | 40.5 fghi | 8 141.8 fgh | ||
A5 | 609.0 b | 35.0 ab | 40.1 hi | 8 365.7 ef | ||
缓释肥 SRF | A1 | 624.3 ab | 30.9 b | 43.4 bc | 8 034.9 gh | |
A2 | 638.5 ab | 32.8 ab | 42.3 bcdef | 8 605.3 de | ||
A3 | 602.6 b | 33.9 ab | 40.8 efghi | 8 337.0 efg | ||
A4 | 648.7 ab | 33.2 ab | 39.4 i | 8 299.1 efg | ||
A5 | 630.8 ab | 35.8 a | 40.5 fghi | 8 401.9 ef | ||
徐麦38 Xumai 38 | 尿素 Urea | A1 | 612.8 ab | 32.7 ab | 43.9 b | 8 707.1 cd |
A2 | 682.0 a | 32.9 ab | 42.0 cdefg | 9 201.6 ab | ||
A3 | 630.8 ab | 35.8 a | 40.9 efghi | 8 911.0 bcd | ||
A4 | 633.3 ab | 34.1 ab | 42.1 cdefg | 8 815.7 cd | ||
A5 | 628.2 ab | 35.1 ab | 42.5 bcde | 8 971.8 abc | ||
缓释肥 SRF | A1 | 641.0 ab | 31.0 b | 45.9 a | 8 788.9 cd | |
A2 | 664.1 ab | 33.4 ab | 42.2 bcdef | 9 246.5 a | ||
A3 | 639.8 ab | 33.5 ab | 42.7 bcde | 9 032.2 abc | ||
A4 | 644.9 ab | 33.1 ab | 43.0 bcd | 8 956.1 abc | ||
A5 | 653.8 ab | 35.3 a | 41.1 defghi | 9 157.8 ab |
表2 不同氮肥处理对产量及其构成因素的影响
Table 2 Effects of different nitrogen treatment on yield and its component factors
品种 Variety | 基肥种类 Type of base fertilizer | 追肥处理 Topdressing treatment | 穗数 Number of ears/ (104·hm-2) | 每穗粒数Grans per spike | 千粒重 1 000-grain weight/g | 产量 Grain yield/ (kg·hm-2) |
---|---|---|---|---|---|---|
徐麦2023 Xumai 2023 | 尿素 Urea | A1 | 611.5 ab | 31.0 b | 41.9 cdefgh | 7 888.9 h |
A2 | 629.5 ab | 33.3 ab | 40.2 ghi | 8 358.4 efg | ||
A3 | 618.0 ab | 34.2 ab | 39.9 i | 8 321.5 efg | ||
A4 | 607.7 b | 33.4 ab | 40.5 fghi | 8 141.8 fgh | ||
A5 | 609.0 b | 35.0 ab | 40.1 hi | 8 365.7 ef | ||
缓释肥 SRF | A1 | 624.3 ab | 30.9 b | 43.4 bc | 8 034.9 gh | |
A2 | 638.5 ab | 32.8 ab | 42.3 bcdef | 8 605.3 de | ||
A3 | 602.6 b | 33.9 ab | 40.8 efghi | 8 337.0 efg | ||
A4 | 648.7 ab | 33.2 ab | 39.4 i | 8 299.1 efg | ||
A5 | 630.8 ab | 35.8 a | 40.5 fghi | 8 401.9 ef | ||
徐麦38 Xumai 38 | 尿素 Urea | A1 | 612.8 ab | 32.7 ab | 43.9 b | 8 707.1 cd |
A2 | 682.0 a | 32.9 ab | 42.0 cdefg | 9 201.6 ab | ||
A3 | 630.8 ab | 35.8 a | 40.9 efghi | 8 911.0 bcd | ||
A4 | 633.3 ab | 34.1 ab | 42.1 cdefg | 8 815.7 cd | ||
A5 | 628.2 ab | 35.1 ab | 42.5 bcde | 8 971.8 abc | ||
缓释肥 SRF | A1 | 641.0 ab | 31.0 b | 45.9 a | 8 788.9 cd | |
A2 | 664.1 ab | 33.4 ab | 42.2 bcdef | 9 246.5 a | ||
A3 | 639.8 ab | 33.5 ab | 42.7 bcde | 9 032.2 abc | ||
A4 | 644.9 ab | 33.1 ab | 43.0 bcd | 8 956.1 abc | ||
A5 | 653.8 ab | 35.3 a | 41.1 defghi | 9 157.8 ab |
品种 Variety | 基肥种类 Type of base fertilizer | 追肥处理 Topdressing treatment | 越冬期Wintering period | 返青期Regreening period | 拔节期Jointing period | 孕穗期Booting period | 开花期Anthesis period |
---|---|---|---|---|---|---|---|
徐麦2023 Xumai 2023 | 尿素Urea | A1 | 2.8 ab | 3.1 cd | 3.7 c | 6.9 efgh | 3.8 j |
A2 | 2.1 d | 2.6 e | 3.3 cdefghi | 7.6 ab | 5.6 a | ||
A3 | 2.1 d | 2.5 e | 3.1 fghi | 7.2 bcdef | 5.2 bcde | ||
A4 | 2.2 cd | 2.8 cde | 3.5 cdefgh | 7.2 bcdef | 5.4 abcd | ||
A5 | 2.3 bcd | 2.7 cde | 3.0 hi | 7.2 bcdef | 5.5 abc | ||
缓释肥 SRF | A1 | 3.0 a | 3.9 a | 4.6 a | 7.1 cdefg | 4.2 i | |
A2 | 2.6 abc | 3.1 bcd | 3.5 cdefgh | 7.9 a | 5.2 abcde | ||
A3 | 2.7 ab | 3.1 bcd | 3.2 efghi | 7.4 bcd | 5.0 defg | ||
A4 | 2.6 abc | 3.0 cd | 3.7 cd | 7.1 defg | 4.9 efg | ||
A5 | 2.3 bcd | 2.9 cde | 3.1 hi | 7.4 bcd | 5.4 abcd | ||
徐麦38 Xumai38 | 尿素Urea | A1 | 2.7 ab | 3.2 bc | 3.5 cdefg | 6.3 j | 4.3 hi |
A2 | 2.6 abc | 2.9 cde | 3.1 fghi | 7.3 bcde | 5.2 abcde | ||
A3 | 2.6 abc | 2.8 cde | 2.9 i | 6.8 ghi | 4.2 i | ||
A4 | 2.6 abc | 2.9 cde | 3.6 cde | 6.6 hij | 5.1 cdefg | ||
A5 | 2.6 abc | 2.9 cde | 3.1 ghi | 6.8 fghi | 5.4 abcd | ||
缓释肥 SRF | A1 | 3.0 a | 3.5 b | 4.1 b | 6.4 ij | 4.7 gh | |
A2 | 2.5 bcd | 2.7 de | 3.5 cdefgh | 7.5 abc | 5.5 ab | ||
A3 | 2.4 bcd | 2.7 de | 3.1 ghi | 7.0 defgh | 4.7 fgh | ||
A4 | 2.5 bcd | 2.8 cde | 3.6 cdef | 7.2 cdefg | 5.1 bcdef | ||
A5 | 2.5 bcd | 2.7 de | 3.2 defghi | 7.5 bcd | 5.4 abcd |
表3 不同氮肥处理对叶面积指数的影响
Table 3 Effects of different nitrogen fertilizer treatments on leaf area index
品种 Variety | 基肥种类 Type of base fertilizer | 追肥处理 Topdressing treatment | 越冬期Wintering period | 返青期Regreening period | 拔节期Jointing period | 孕穗期Booting period | 开花期Anthesis period |
---|---|---|---|---|---|---|---|
徐麦2023 Xumai 2023 | 尿素Urea | A1 | 2.8 ab | 3.1 cd | 3.7 c | 6.9 efgh | 3.8 j |
A2 | 2.1 d | 2.6 e | 3.3 cdefghi | 7.6 ab | 5.6 a | ||
A3 | 2.1 d | 2.5 e | 3.1 fghi | 7.2 bcdef | 5.2 bcde | ||
A4 | 2.2 cd | 2.8 cde | 3.5 cdefgh | 7.2 bcdef | 5.4 abcd | ||
A5 | 2.3 bcd | 2.7 cde | 3.0 hi | 7.2 bcdef | 5.5 abc | ||
缓释肥 SRF | A1 | 3.0 a | 3.9 a | 4.6 a | 7.1 cdefg | 4.2 i | |
A2 | 2.6 abc | 3.1 bcd | 3.5 cdefgh | 7.9 a | 5.2 abcde | ||
A3 | 2.7 ab | 3.1 bcd | 3.2 efghi | 7.4 bcd | 5.0 defg | ||
A4 | 2.6 abc | 3.0 cd | 3.7 cd | 7.1 defg | 4.9 efg | ||
A5 | 2.3 bcd | 2.9 cde | 3.1 hi | 7.4 bcd | 5.4 abcd | ||
徐麦38 Xumai38 | 尿素Urea | A1 | 2.7 ab | 3.2 bc | 3.5 cdefg | 6.3 j | 4.3 hi |
A2 | 2.6 abc | 2.9 cde | 3.1 fghi | 7.3 bcde | 5.2 abcde | ||
A3 | 2.6 abc | 2.8 cde | 2.9 i | 6.8 ghi | 4.2 i | ||
A4 | 2.6 abc | 2.9 cde | 3.6 cde | 6.6 hij | 5.1 cdefg | ||
A5 | 2.6 abc | 2.9 cde | 3.1 ghi | 6.8 fghi | 5.4 abcd | ||
缓释肥 SRF | A1 | 3.0 a | 3.5 b | 4.1 b | 6.4 ij | 4.7 gh | |
A2 | 2.5 bcd | 2.7 de | 3.5 cdefgh | 7.5 abc | 5.5 ab | ||
A3 | 2.4 bcd | 2.7 de | 3.1 ghi | 7.0 defgh | 4.7 fgh | ||
A4 | 2.5 bcd | 2.8 cde | 3.6 cdef | 7.2 cdefg | 5.1 bcdef | ||
A5 | 2.5 bcd | 2.7 de | 3.2 defghi | 7.5 bcd | 5.4 abcd |
品种Varieties | 基肥种类 Type of base fertilizer | 追肥处理 Topdressing treatment | 基本苗 Basic seedlings | 越冬期Wintering period | 返青期Regreening period | 拔节期 Jointing period | 成熟期Maturity period |
---|---|---|---|---|---|---|---|
徐麦2023 Xumai 2023 | 尿素Urea | A1 | 234.0 bcd | 1 055.6 b | 1 171.4 def | 1 556.1 abcd | 611.5 ab |
A2 | 250.0 abc | 928.0 efg | 1 152.9 defgh | 1 435.4 ghij | 629.5 ab | ||
A3 | 234.0 bcd | 943.5 def | 1 146.9 defgh | 1 484.8 defg | 618.0 ab | ||
A4 | 223.1 bcd | 900.4 efghi | 1 110.8 fgh | 1 434.9 ghij | 607.7 b | ||
A5 | 249.2 abc | 922.8 efgh | 1150.1 defgh | 1 402.5 hij | 609.0 b | ||
缓释肥SRF | A1 | 239.1 abcd | 918.4 efgh | 1 123.7 efgh | 1 490.2 defg | 624.3 ab | |
A2 | 272.4 a | 866.2 ghi | 1 101.6 gh | 1 386.6 ij | 638.5 ab | ||
A3 | 237.6 abcd | 848.7 i | 1 009.2 i | 1 376.4 j | 602.6 b | ||
A4 | 225.3 bcd | 880.4 fghi | 1 095.4 gh | 1 478.1 efg | 648.7 ab | ||
A5 | 242.0 abcd | 863.2 hi | 1 090.6 h | 1 395.4 hij | 630.8 ab | ||
徐麦38 Xumai 38 | 尿素Urea | A1 | 221.0 bcd | 1 172.0 a | 1 401.1 a | 1 621.3 a | 612.8 ab |
A2 | 231.1 bcd | 1 006.8 bcd | 1 246.8 bc | 1 563.8 abc | 682.0 a | ||
A3 | 215.9 cd | 1 015.2 bc | 1 266.2 b | 1 515.8 cdef | 630.8 ab | ||
A4 | 214.4 cd | 1 006.6 bcd | 1 280.1 b | 1 541.7 bcde | 633.3 ab | ||
A5 | 218.1 bcd | 1 002.5 bcd | 1 253.5 bc | 1 458.7 fghi | 628.2 ab | ||
缓释肥SRF | A1 | 210.8 d | 1 000.0 bcd | 1 271.4 b | 1 593.1 ab | 641.0 ab | |
A2 | 243.4 abcd | 956.9 cde | 1 163.0 defg | 1 463.7 fgh | 664.1 ab | ||
A3 | 248.5 abc | 943.8 def | 1 176.8 def | 1 454.5 fghi | 639.8 ab | ||
A4 | 253.6 ab | 960.2 cde | 1 192.9 cd | 1 513.1 cdef | 644.9 ab | ||
A5 | 239.8 abcd | 949.7 de | 1 183.9 de | 1 426.2 ghij | 653.8 ab |
表4 不同氮肥处理对茎蘖数的影响 (104·hm-2)
Table 4 Effects of different nitrogen fertilizer treatments on number of stem and tiller
品种Varieties | 基肥种类 Type of base fertilizer | 追肥处理 Topdressing treatment | 基本苗 Basic seedlings | 越冬期Wintering period | 返青期Regreening period | 拔节期 Jointing period | 成熟期Maturity period |
---|---|---|---|---|---|---|---|
徐麦2023 Xumai 2023 | 尿素Urea | A1 | 234.0 bcd | 1 055.6 b | 1 171.4 def | 1 556.1 abcd | 611.5 ab |
A2 | 250.0 abc | 928.0 efg | 1 152.9 defgh | 1 435.4 ghij | 629.5 ab | ||
A3 | 234.0 bcd | 943.5 def | 1 146.9 defgh | 1 484.8 defg | 618.0 ab | ||
A4 | 223.1 bcd | 900.4 efghi | 1 110.8 fgh | 1 434.9 ghij | 607.7 b | ||
A5 | 249.2 abc | 922.8 efgh | 1150.1 defgh | 1 402.5 hij | 609.0 b | ||
缓释肥SRF | A1 | 239.1 abcd | 918.4 efgh | 1 123.7 efgh | 1 490.2 defg | 624.3 ab | |
A2 | 272.4 a | 866.2 ghi | 1 101.6 gh | 1 386.6 ij | 638.5 ab | ||
A3 | 237.6 abcd | 848.7 i | 1 009.2 i | 1 376.4 j | 602.6 b | ||
A4 | 225.3 bcd | 880.4 fghi | 1 095.4 gh | 1 478.1 efg | 648.7 ab | ||
A5 | 242.0 abcd | 863.2 hi | 1 090.6 h | 1 395.4 hij | 630.8 ab | ||
徐麦38 Xumai 38 | 尿素Urea | A1 | 221.0 bcd | 1 172.0 a | 1 401.1 a | 1 621.3 a | 612.8 ab |
A2 | 231.1 bcd | 1 006.8 bcd | 1 246.8 bc | 1 563.8 abc | 682.0 a | ||
A3 | 215.9 cd | 1 015.2 bc | 1 266.2 b | 1 515.8 cdef | 630.8 ab | ||
A4 | 214.4 cd | 1 006.6 bcd | 1 280.1 b | 1 541.7 bcde | 633.3 ab | ||
A5 | 218.1 bcd | 1 002.5 bcd | 1 253.5 bc | 1 458.7 fghi | 628.2 ab | ||
缓释肥SRF | A1 | 210.8 d | 1 000.0 bcd | 1 271.4 b | 1 593.1 ab | 641.0 ab | |
A2 | 243.4 abcd | 956.9 cde | 1 163.0 defg | 1 463.7 fgh | 664.1 ab | ||
A3 | 248.5 abc | 943.8 def | 1 176.8 def | 1 454.5 fghi | 639.8 ab | ||
A4 | 253.6 ab | 960.2 cde | 1 192.9 cd | 1 513.1 cdef | 644.9 ab | ||
A5 | 239.8 abcd | 949.7 de | 1 183.9 de | 1 426.2 ghij | 653.8 ab |
图1 不同施肥处理对2个品种茎蘖成穗率的影响注:柱形图标上方不同小写字母表示处理间差异显著(P<0.05)。
Fig.1 Effects of different nitrogen treatments on earbearing tiller percentages in two wheat varietiesNote: Different small letters above the bar indicate significant difference among treatments (P<0.05).
品种Varieties | 基肥种类 Type of base fertilizer | 追肥处理 Topdressings treatment | 越冬期Wintering period | 返青期Regreening period | 拔节期Jointing period | 孕穗期Booting period | 开花期Anthesis period | 成熟期Maturity period |
---|---|---|---|---|---|---|---|---|
徐麦2023 Xumai 2023 | 尿素 Urea | A1 | 1 532.5 a | 4 577.7 a | 5 276.9 a | 9 387.9 bc | 11 875.5 bcd | 18 947.0 bcde |
A2 | 1 169.4 def | 3 170.8 d | 3 728.3 ef | 9 249.2 cd | 11 015.4 cd | 18 088.0 e | ||
A3 | 1 213.1 cde | 3 075.9 de | 3 499.5 gh | 8 844.4 ef | 11 553.4 cd | 19 266.1 bcd | ||
A4 | 1 204.4 cde | 3 021.2 de | 3 828.3 de | 9 427.3 abc | 12 246.7 bc | 19 366.5 bc | ||
A5 | 1 169.5 def | 3 155.2 d | 3 487.5 gh | 9 338.4 bc | 11 634.5 cd | 19 645.9 b | ||
缓释肥 SRF | A1 | 1 328.6 bc | 3 478.6 c | 4 198.8 bc | 9 608.9 ab | 11 239.6 cd | 18 049.4 e | |
A2 | 1 047.6 fg | 2 158.9 j | 3 074.1 i | 9 326.4 bc | 10 673.4 d | 18 255.4 de | ||
A3 | 1 031.9 g | 2 256.7 ij | 2 925.9 ij | 9 040.1 de | 11 465.7 cd | 18 575.1 cde | ||
A4 | 1 097.7 efg | 2 407.6 ghi | 3 486.4 gh | 9 692.4 a | 11 668.0 cd | 18 937.8 bcde | ||
A5 | 1 092.9 efg | 2 316.4 hij | 2 827.4 j | 9 341.1 bc | 11 173.4 cd | 18 736.1 bcde | ||
徐麦38 Xumai 38 | 尿素 Urea | A1 | 1 515.9 a | 4 378.6 b | 5 132.2 a | 8 988.5 de | 13 263.8 ab | 21 126.6 a |
A2 | 1 325.6 bc | 2 810.5 f | 3 976.4 d | 8 622.1 fgh | 11 158.5 cd | 18 835.6 bcde | ||
A3 | 1 279.0 bcd | 2 930.2 ef | 3 517.0 fgh | 8 380.2 h | 10 681.5 cd | 18 941.3 bcde | ||
A4 | 1 318.2 bc | 2 804.4 f | 4 234.9 b | 8 420.2 gh | 12 066.9 bcd | 19 266.1 bcd | ||
A5 | 1 315.2 bc | 2 812.5 f | 3 640.7 efg | 8 771.4 ef | 11 043.8 cd | 18 752.5 bcde | ||
缓释肥 SRF | A1 | 1 374.8 b | 3 631.9 c | 4 013.7 cd | 8 901.1 ef | 13 669.9 a | 20 899.1 a | |
A2 | 1 266.1 bcd | 2 522.6 gh | 3 604.7 fg | 8 637.6 fgh | 10 706.5 cd | 18 703.9 bcde | ||
A3 | 1 244.3 cd | 2 489.6 gh | 3 325.9 h | 8 691.7 fg | 11 153.7 cd | 19 206 .0bcd | ||
A4 | 1 286.1 bcd | 2 532.8 g | 3 956.7 d | 8 643.5 fgh | 12 023.1 bcd | 19 577.3 bc | ||
A5 | 1 284.7 bcd | 2 597.2 g | 3 514.0 fgh | 9 251.2 cd | 11 252.6 cd | 18 892.7 bcde |
表5 不同施肥处理对2个品种干物质积累量的影响 (kg·hm-2)
Table 5 Effects of different nitrogen treatments on dry matter accumulation
品种Varieties | 基肥种类 Type of base fertilizer | 追肥处理 Topdressings treatment | 越冬期Wintering period | 返青期Regreening period | 拔节期Jointing period | 孕穗期Booting period | 开花期Anthesis period | 成熟期Maturity period |
---|---|---|---|---|---|---|---|---|
徐麦2023 Xumai 2023 | 尿素 Urea | A1 | 1 532.5 a | 4 577.7 a | 5 276.9 a | 9 387.9 bc | 11 875.5 bcd | 18 947.0 bcde |
A2 | 1 169.4 def | 3 170.8 d | 3 728.3 ef | 9 249.2 cd | 11 015.4 cd | 18 088.0 e | ||
A3 | 1 213.1 cde | 3 075.9 de | 3 499.5 gh | 8 844.4 ef | 11 553.4 cd | 19 266.1 bcd | ||
A4 | 1 204.4 cde | 3 021.2 de | 3 828.3 de | 9 427.3 abc | 12 246.7 bc | 19 366.5 bc | ||
A5 | 1 169.5 def | 3 155.2 d | 3 487.5 gh | 9 338.4 bc | 11 634.5 cd | 19 645.9 b | ||
缓释肥 SRF | A1 | 1 328.6 bc | 3 478.6 c | 4 198.8 bc | 9 608.9 ab | 11 239.6 cd | 18 049.4 e | |
A2 | 1 047.6 fg | 2 158.9 j | 3 074.1 i | 9 326.4 bc | 10 673.4 d | 18 255.4 de | ||
A3 | 1 031.9 g | 2 256.7 ij | 2 925.9 ij | 9 040.1 de | 11 465.7 cd | 18 575.1 cde | ||
A4 | 1 097.7 efg | 2 407.6 ghi | 3 486.4 gh | 9 692.4 a | 11 668.0 cd | 18 937.8 bcde | ||
A5 | 1 092.9 efg | 2 316.4 hij | 2 827.4 j | 9 341.1 bc | 11 173.4 cd | 18 736.1 bcde | ||
徐麦38 Xumai 38 | 尿素 Urea | A1 | 1 515.9 a | 4 378.6 b | 5 132.2 a | 8 988.5 de | 13 263.8 ab | 21 126.6 a |
A2 | 1 325.6 bc | 2 810.5 f | 3 976.4 d | 8 622.1 fgh | 11 158.5 cd | 18 835.6 bcde | ||
A3 | 1 279.0 bcd | 2 930.2 ef | 3 517.0 fgh | 8 380.2 h | 10 681.5 cd | 18 941.3 bcde | ||
A4 | 1 318.2 bc | 2 804.4 f | 4 234.9 b | 8 420.2 gh | 12 066.9 bcd | 19 266.1 bcd | ||
A5 | 1 315.2 bc | 2 812.5 f | 3 640.7 efg | 8 771.4 ef | 11 043.8 cd | 18 752.5 bcde | ||
缓释肥 SRF | A1 | 1 374.8 b | 3 631.9 c | 4 013.7 cd | 8 901.1 ef | 13 669.9 a | 20 899.1 a | |
A2 | 1 266.1 bcd | 2 522.6 gh | 3 604.7 fg | 8 637.6 fgh | 10 706.5 cd | 18 703.9 bcde | ||
A3 | 1 244.3 cd | 2 489.6 gh | 3 325.9 h | 8 691.7 fg | 11 153.7 cd | 19 206 .0bcd | ||
A4 | 1 286.1 bcd | 2 532.8 g | 3 956.7 d | 8 643.5 fgh | 12 023.1 bcd | 19 577.3 bc | ||
A5 | 1 284.7 bcd | 2 597.2 g | 3 514.0 fgh | 9 251.2 cd | 11 252.6 cd | 18 892.7 bcde |
图2 不同施肥处理对2个品种收获指数的影响注:柱形图标上方不同小写字母表示处理间差异显著(P<0.05)。
Fig.2 Effects of different nitrogen treatments o on harvest index in two wheat varietiesNote: Different small letters above bar indicate significant difference among treatments (P<0.05).
1 | 张洪程,龚金龙.中国水稻种植机械化高产农艺研究现状及发展探讨[J].中国农业科学,2014,47(7):1273-1289. |
ZHANG H C, GONG J L. Research status and development discussion on high-yielding agronomy of mechanized planting rice in China [J]. Sci. Agric. Sin., 2014, 47(7): 1273-1289. | |
2 | GUO J H, LIU X J, ZHANG Y, et al.. Significant acidification in major chinese croplands [J]. Science, 2010, 327(5968): 1008-1010. |
3 | 何佩华,马征平,马绮亚.脲甲醛缓释肥料的氮养分释放特征及其肥效研究[J].化肥工业,2011,38(4):18-22. |
HE P H, MA Z P, MA Q Y. Release characteristics of nitrogen nutrient from urea formaldehyde slow-release fertilizer and study of its fertilizer efficiency [J]. Chem. Fert. Ind. J., 2011, 38(4):18-22. | |
4 | ZHAO B Q, LI X Y, LIU H, et al.. Results from long-term fertilizer experiments in China: The risk of groundwater pollution by nitrate [J]. NJAS, 2011, 58(3-4):177-183. |
5 | CHEN X P, CUI Z L, FAN M S, et al.. Producing more grain with lower environmental costs [J]. Nature, 2014, 514(7523): 486-489. |
6 | 樊小林,刘芳,廖照源,等.我国控释肥料研究的现状和展望[J].植物营养与肥料学报[J],2009,15(2):463-473. |
FAN X L, LIU F, LIAO Z Y, et al.. The status and outlook for the study of controlled-release fertilizers in China [J]. Plant Nutr. Fert. Sci., 2009, 15(2): 463-473. | |
7 | ZHENG W K, ZHANG M, LIU Z G, et al.. Combining controlled-release urea and normal urea to improve the nitrogen use efficiency and yield under wheat-maize double cropping system [J]. Field Crops Res., 2016, 197: 52-62. |
8 | YANG Y C, ZHANG M, ZHENG L, et al.. Controlled release urea improved nitrogen use efficiency, yield, and quality of wheat [J]. Agron. J., 2011, 103(2): 479-485. |
9 | 薛高峰,张贵龙,孙焱鑫,等.包膜控释尿素(追施)对冬小麦生长发育及土壤硝态氮含量的影响[J].农业环境科学学报,2012,31(2):377-384. |
XUE G F, ZHANG G L, SUN Y X, et al.. Influences of topdressing controlled -release coated urea on plant growth and soil NO3ˉ-N content of winter wheat [J]. J. Agro-Environ. Sci., 2012, 31(2): 377-384. | |
10 | 李若楠,王丽英,张彦才,等.氮肥追施时期及包膜控释氮肥对冬小麦产量和氮素吸收的影响[J]. 中国生态农业学报, 2010,18(2):277-280. |
LI R N, WANG L Y, ZHANG Y C, et al.. Effect of topdressing time of nitrogen fertilizer and controlled-release coated urea on winter wheat yield and apparent nitrogen recovery rate [J]. Chin. J. Eco-Agric., 2010, 18(2):277-280. | |
11 | 马富亮,宋付朋,高杨,等.硫膜和树脂膜控释尿素对小麦产量、品质及氮素利用率的影响[J].应用生态学报,2012, 23(1):67-72. |
MA F L, SONG F P, GAO Y, et al.. Effects of sulfur- and polymer-coated controlled release urea fertilizers on wheat yield and quality and fertilizer nitrogen use efficiency [J]. China J. Appl. Ecol., 2012, 23(1):67-72. | |
12 | 李敏,郭熙盛,叶舒娅,等.树脂膜控释尿素及普通尿素配施对强筋小麦产量、品质和氮肥利用率的影响[J].麦类作物学报,2013,33(2):339-343. |
LI M, GUO X S, YE S Y, et al.. Effects of combined application of polymer-coated controlled release urea and common urea on yield, quality and fertilizer nitrogen use efficiency of strong gluten wheat [J]. J. Trit. Crops, 2013, 33(2):339-343. | |
13 | 赵霞,刘京宝,王振华,等.缓控释肥对夏玉米生长及产量的影响[J].中国农学通报,2008, 24(6):247-249. |
ZHAO X, LIU J B, WANG Z H, et al.. Study on growth and yield of summer maize (Zea mays L.) with different sustained controlled release fertilizers [J]. China Agric. Sci. Bull., 2008, 24(6): 247-249. | |
14 | 胡铁军,张怀杰,应小军,等.不同缓释肥对冬小麦扬麦20生产的影响[J].浙江农业科学,2020,61(4):643-644, 659. |
HU T J, ZHANG H J, YING X J, et al.. Effects of different slow-release fertilizers on production of winter wheat Yangmai 20 [J]. J. Zhejiang Agr. Sci., 2020, 61(4):643-644, 659. | |
15 | 闫淑霞,刘春花,梁岩.腐殖酸的结构特性与应用研究进展[J].天然产物研究与开发,2017,29(3):511-516. |
YAN S X, LIU C H, LIANG Y. Review on structural properties and multiple functionalities of humic acids [J]. Natur. Prod. Res. Dev., 2017, 29(3): 511-516. | |
16 | FAN H M, WANG X W, SUN X, et al.. Effects of humic acid derived from sediments on growth, photosynthesis and chloroplast ultrastructure in chrysanthemum [J]. Sci. Hortic., 2014, 177: 118-123. |
17 | ABDEL-RAZZ H S, EL-SHARKAW G A. Effect of biofertilizer and humic acid applications on growth, yield, quality and storability of two garlic (Allium sativum L.) cultivars [J]. Asian J. Crop Sci., 2012, 5(1):48-64. |
18 | SELIM E, MOSA A A. Fertigation of humic substances improves yield and quality of broccoli and nutrient retention in a sandy soil [J]. J. Plant Nutr. Soil Sci., 2012, 175(2): 273-281. |
19 | 马泉,唐紫妍,王梦尧,等.树脂包膜缓释肥与尿素配施对稻茬冬小麦产量、氮肥利用率与效益的影响[J].麦类作物学报,2019,39(10):1202-1210. |
MA Q, TANG Z Y, WANG M Y, et al.. Effect of resin coated slow release fertilizer combined with urea on yield, nitrogen use efficiency and economic benefits of winter wheat following rice [J]. J. Trit. Crops, 2019, 39(10):1202-1210. | |
20 | 孙旭东,孙浒,董树亭,等.包膜尿素施用时期对夏玉米产量和氮素积累特性的影响[J].中国农业科学,2017,50(11):2179-2188. |
SUN X D, SUN H, DONG S T, et al.. Effect of coated-urea application times on yield and nitrogen use efficiency of summer maize [J]. Sci. Agric. Sin., 2017, 50(11): 2179-2188. | |
21 | 郑文魁,李成亮,窦兴霞,等.不同包膜类型控释氮肥对小麦产量及土壤生化性质的影响[J].水土保持学报,2016,30(2):162-167. |
ZHENG W K, LI C L, DOU X X, et al.. Effects of different types of controlled release urea on wheat yield and biochemical properties of soil [J]. J. Soil Water Conserv., 2016, 30(2):162-167. | |
22 | VLČKOVÁ Z, GRASSET L, ANTOŠOVÁ B, et al.. Lignite pre-treatment and its effect on bio-stimulative properties of respective lignite humic acids [J]. Soil Biol. Biochem., 2009, 41(9):1894-1901. |
23 | TAHIR M M, KHURSHID M, KHAN M Z, et al.. Lignite-derived humic acid effect on growth of wheat plants in different soils[J]. Pedosphere, 2011, 21(1): 124-131. |
24 | 张明伟,马泉,丁锦峰,等. 稻茬晚播小麦高产群体特征分析[J]. 麦类作物学报, 2018, 38(4):445-454. |
ZHANG M W, MA Q, DING J F, et al.. Characteristic of late sowing high-yielding wheat population in rice-wheat rotation [J]. J. Trit. Crops, 2018, 38(4): 445-454. | |
25 | 魏海燕,凌启鸿,张洪程,等.作物群体质量及其关键调控技术[J].扬州大学学报(农业与生命科学版),2018,39(2):1-9. |
WEI H, LING Q H, ZHANG H C, et al.. The quality of crop population and its key regulation technology [J]. J. Yangzhou Univ. Agric. (Agric. Life Sci.), 2018, 39(2): 1-9. | |
26 | 李春燕,于倩倩,贾晴晴,等.扬辐麦4号小麦不同产量群体氮素吸收利用特性[J].植物营养与肥料学报,2016,22(5):1196-1203. |
LI C Y, YU Q Q, JIA Q Q, et al.. Nitrogen accumulation and utilization characteristics of wheat cultivar Yangfumai 4 at different population yield levels [J]. Plant Nutr. Fert. Sci., 2016, 22(5): 1196-1203. | |
27 | 王茹芳,张夫道,刘秀梅,等.胶结型缓释肥在小麦上应用效果的研究[J].植物营养与肥料学报,2005(3):340-344. |
WANG R F, ZHANG F D, LIU X M, et al.. Responses of wheat to felted slow-release fertilizer [J]. Plant Nutr. Fert. Sci., 2005(3):340-344. | |
28 | 毕军,夏光利,毕研文,等.腐殖酸生物活性肥料对冬小麦生长及土壤微生物活性的影响[J].植物营养与肥料学报,2005,11(1):99-103. |
BI J, XIA G L, BI Y W, et al.. Effect of humic bio-active fertilizer on winter wheat and soil microbial activity[J]. Plant Nutr. Fert. Sci., 2005, 11(1):99-103. |
[1] | 吴艳, 邹乐萍, 宋惠洁, 胡丹丹, 柳开楼, 梁万里. 控释氮肥和尿素配施对田面水铵态氮和早稻产量的影响[J]. 中国农业科技导报, 2025, 27(4): 192-200. |
[2] | 石纹碹, 谭金芳, 张倩, 李岚涛, 王宜伦. 一次性施肥对不同生态区夏玉米产量和氮肥效率的影响[J]. 中国农业科技导报, 2024, 26(9): 193-202. |
[3] | 黄巧义, 吴永沛, 黄旭, 李苹, 付弘婷, 张木, 逄玉万, 曾招兵, 唐拴虎. 控释尿素与尿素配施对甜玉米产量和氮肥利用率的影响[J]. 中国农业科技导报, 2023, 25(2): 163-173. |
[4] | 党翼, 张建军, 赵刚, 樊廷录, 王磊, 李尚中, 周刚. 控释尿素和普通尿素配施对旱地玉米产量和水氮利用效率的影响[J]. 中国农业科技导报, 2022, 24(6): 156-165. |
[5] | 周旋, 康兴蓉, 彭建伟, 杨相东, 钟雪梅, 胡文峰, 龙俊佑. 聚氨酯包膜氮肥减施对双季早稻生长、产量及经济效益的影响[J]. 中国农业科技导报, 2021, 23(7): 153-161. |
[6] | 尹焕丽1,岳艳军2,常凤1,王海标1,苗玉红1,王宜伦1*. 新型尿素对冬小麦产量及氮素吸收利用的影响[J]. 中国农业科技导报, 2020, 22(5): 145-152. |
[7] | 张运红1,姚健1*,宝德俊1,和爱玲1,骆晓声1,杜君1,杨占平1,杜保池2. 尿素硝酸铵溶液对玉米产量、品质及养分吸收的影响[J]. 中国农业科技导报, 2018, 20(9): 113-121. |
[8] | 王海标,张博,常凤,陶静静,刘培,王宜伦*. 包膜尿素与普通尿素配施减氮对夏玉米产量及氮肥效率的影响[J]. 中国农业科技导报, 2018, 20(7): 98-105. |
[9] | 国世佳1,段玉2*,张君2,张润生1,史有国3. 不同类型尿素配施对加工番茄产量、品质及氮肥利用率的影响[J]. 中国农业科技导报, 2018, 20(6): 96-103. |
[10] | 薛海龙1,2,许文年1,2,3,刘大翔2,3*,夏振尧2,3. 几种聚合材料包膜尿素的研制及评价方法研究[J]. 中国农业科技导报, 2017, 19(4): 92-99. |
[11] | 姜超强1,2,卢殿君2,王世济1,周健民2,祖朝龙1,王火焰2*. 夏玉米普通尿素一次施肥位点优化研究[J]. 中国农业科技导报, 2017, 19(12): 67-74. |
[12] | 朱晓琦,胡正义*,王惠惠,周国慧,刘小宁. 滇池柴河流域蔬菜地土壤施用控释尿素与普通尿素的氮损失比较[J]. , 2014, 16(6): 109-116. |
[13] | 武金凤,郭志刚,郝美艳. 饲料中尿素测定方法的研究[J]. , 2008, 10(S2): 87-93. |
[14] | 张丽英 谯仁彦 等. 大豆寡糖对断奶仔猪生产性能、腹泻及相关生化指标影响的研究[J]. , 2001, 3(1): 43-48. |
阅读次数 | ||||||
全文 |
|
|||||
摘要 |
|
|||||