Journal of Agricultural Science and Technology ›› 2025, Vol. 27 ›› Issue (3): 95-103.DOI: 10.13304/j.nykjdb.2023.0662
• INTELLIGENT AGRICULTURE & AGRICULTURAL MACHINERY • Previous Articles Next Articles
Guoliang ZHONG1(), Lin WAN1(
), Gang CHE1, Hao TANG2, Tianqi QU1, Qilin ZHANG1
Received:
2023-09-04
Accepted:
2023-11-16
Online:
2025-03-15
Published:
2025-03-14
Contact:
Lin WAN
钟国良1(), 万霖1(
), 车刚1, 唐浩2, 曲天奇1, 张骐麟1
通讯作者:
万霖
作者简介:
钟国良 E-mail:1076866915@qq.com;
基金资助:
CLC Number:
Guoliang ZHONG, Lin WAN, Gang CHE, Hao TANG, Tianqi QU, Qilin ZHANG. Influence of Drying Parameters on Hot Air Drying Rate and Energy Consumption of Rice[J]. Journal of Agricultural Science and Technology, 2025, 27(3): 95-103.
钟国良, 万霖, 车刚, 唐浩, 曲天奇, 张骐麟. 干燥参数对稻谷热风干燥速率及能耗的影响[J]. 中国农业科技导报, 2025, 27(3): 95-103.
Add to citation manager EndNote|Ris|BibTeX
URL: https://nkdb.magtechjournal.com/EN/10.13304/j.nykjdb.2023.0662
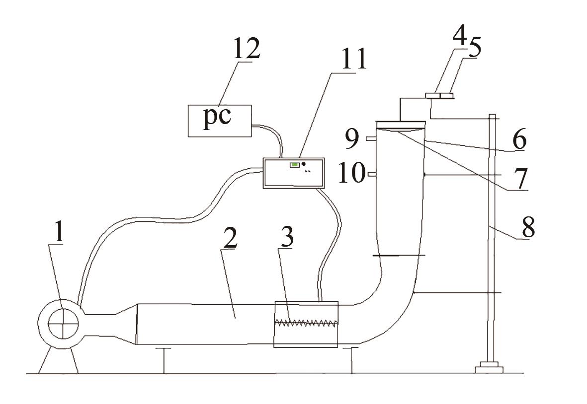
Fig. 1 Structure of GHS-Ⅱ thin layer drying test benchNote: 1—Fan;2—Air duct; 3—Heater; 4—Temperature display; 5—Mass balance; 6—Drying cylinder; 7—Drying tray; 8—Support; 9—Wind speed sensor; 10—Temperature sensor; 11—Control cabinet; 12—Data collection system.
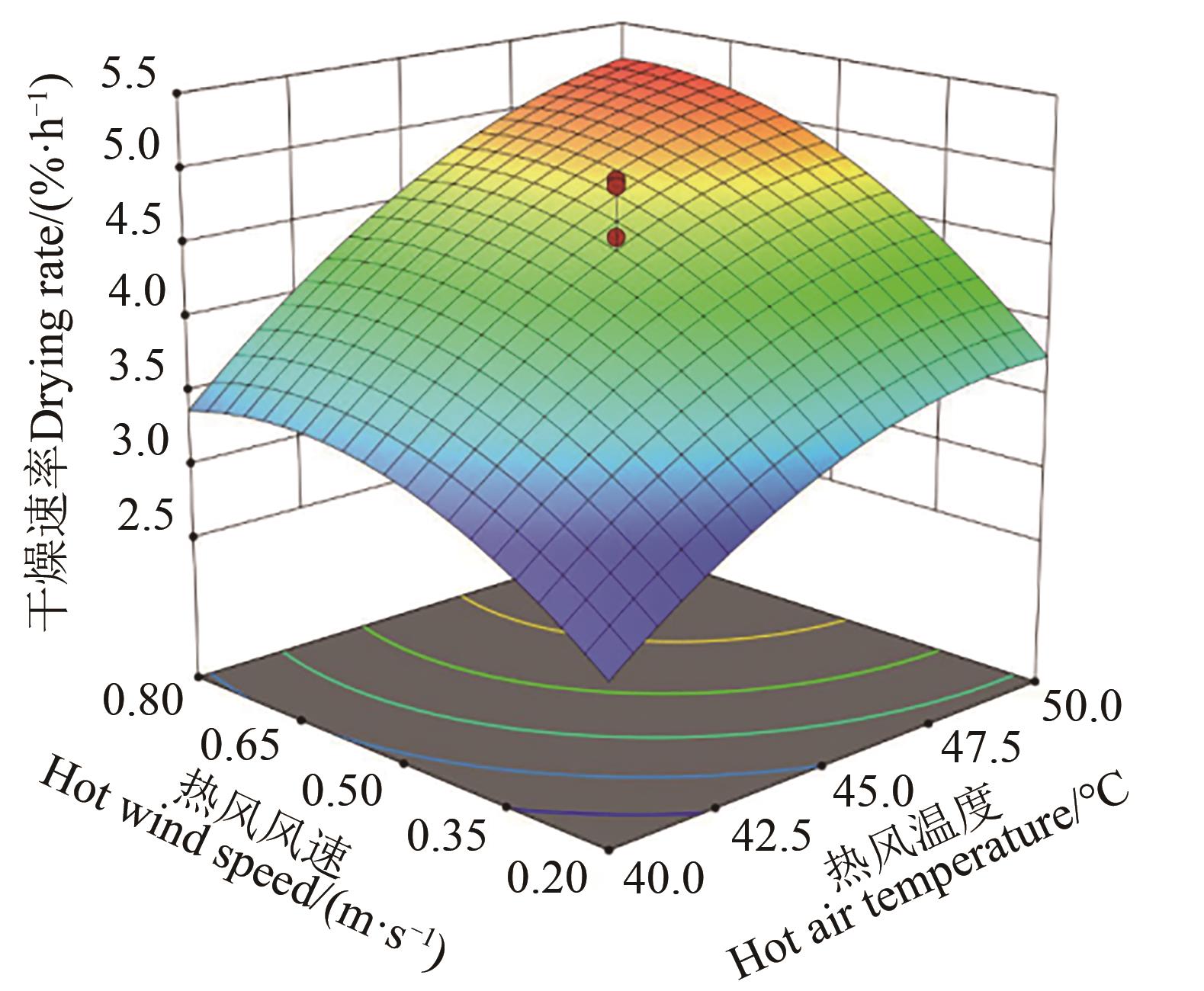
序号 Serial number | 水平 Level | X1:热风温度 Wind temperature/℃ | X2:风速 Wind speed/(m·s-1) | X3:初始含水率 Initial water content/% |
---|---|---|---|---|
+γ | +1.682 | 50 | 0.8 | 23 |
1 | +1 | 48 | 0.7 | 22 |
0 | 0 | 45 | 0.5 | 21 |
-1 | -1 | 42 | 0.3 | 20 |
-γ | -1.682 | 40 | 0.2 | 19 |
Table 1 Encoding of factors in ternary quadratic regression orthogonal experiment
序号 Serial number | 水平 Level | X1:热风温度 Wind temperature/℃ | X2:风速 Wind speed/(m·s-1) | X3:初始含水率 Initial water content/% |
---|---|---|---|---|
+γ | +1.682 | 50 | 0.8 | 23 |
1 | +1 | 48 | 0.7 | 22 |
0 | 0 | 45 | 0.5 | 21 |
-1 | -1 | 42 | 0.3 | 20 |
-γ | -1.682 | 40 | 0.2 | 19 |
编号 Number | X1:热风温度 Wind temperature/℃ | X2:风速 Wind speed/(m·s-1) | X3:初始含水率 Initial water content/% | Y1 干燥速率 Drying rate/(%·h-1) | Y2 单位干燥能耗 Unit drying energy consumption/(kJ·kg-1) |
---|---|---|---|---|---|
1 | 1 | 1 | 1 | 4.536 | 7 833.33 |
2 | 1 | 1 | -1 | 5.184 | 7 472.22 |
3 | 1 | -1 | 1 | 3.552 | 8 027.78 |
4 | 1 | -1 | -1 | 4.056 | 7 020 |
5 | -1 | 1 | 1 | 3.648 | 6 111.11 |
6 | -1 | 1 | -1 | 4.32 | 6 027.78 |
7 | -1 | -1 | 1 | 3.144 | 6 166.67 |
8 | -1 | -1 | -1 | 3.24 | 5 888.89 |
9 | γ | 0 | 0 | 5.28 | 6 972.22 |
10 | -γ | 0 | 0 | 3.31 | 6 750 |
11 | 0 | γ | 0 | 4.56 | 6 527.78 |
12 | 0 | -γ | 0 | 3.67 | 7 527.78 |
13 | 0 | 0 | γ | 4.652 | 6 844.44 |
14 | 0 | 0 | -γ | 4.032 | 5 394.44 |
15 | 0 | 0 | 0 | 4.94 | 6 972.22 |
16 | 0 | 0 | 0 | 4.344 | 7 000 |
17 | 0 | 0 | 0 | 4.44 | 7 966.67 |
18 | 0 | 0 | 0 | 4.56 | 6 944.44 |
19 | 0 | 0 | 0 | 4.28 | 7 138.89 |
20 | 0 | 0 | 0 | 4.416 | 6 972.22 |
21 | 0 | 0 | 0 | 4.9 | 7 138.89 |
22 | 0 | 0 | 0 | 4.248 | 7 427.78 |
23 | 0 | 0 | 0 | 4.052 | 6 772.22 |
Table 2 Quadratic regression orthogonal rotation combination experiment and results
编号 Number | X1:热风温度 Wind temperature/℃ | X2:风速 Wind speed/(m·s-1) | X3:初始含水率 Initial water content/% | Y1 干燥速率 Drying rate/(%·h-1) | Y2 单位干燥能耗 Unit drying energy consumption/(kJ·kg-1) |
---|---|---|---|---|---|
1 | 1 | 1 | 1 | 4.536 | 7 833.33 |
2 | 1 | 1 | -1 | 5.184 | 7 472.22 |
3 | 1 | -1 | 1 | 3.552 | 8 027.78 |
4 | 1 | -1 | -1 | 4.056 | 7 020 |
5 | -1 | 1 | 1 | 3.648 | 6 111.11 |
6 | -1 | 1 | -1 | 4.32 | 6 027.78 |
7 | -1 | -1 | 1 | 3.144 | 6 166.67 |
8 | -1 | -1 | -1 | 3.24 | 5 888.89 |
9 | γ | 0 | 0 | 5.28 | 6 972.22 |
10 | -γ | 0 | 0 | 3.31 | 6 750 |
11 | 0 | γ | 0 | 4.56 | 6 527.78 |
12 | 0 | -γ | 0 | 3.67 | 7 527.78 |
13 | 0 | 0 | γ | 4.652 | 6 844.44 |
14 | 0 | 0 | -γ | 4.032 | 5 394.44 |
15 | 0 | 0 | 0 | 4.94 | 6 972.22 |
16 | 0 | 0 | 0 | 4.344 | 7 000 |
17 | 0 | 0 | 0 | 4.44 | 7 966.67 |
18 | 0 | 0 | 0 | 4.56 | 6 944.44 |
19 | 0 | 0 | 0 | 4.28 | 7 138.89 |
20 | 0 | 0 | 0 | 4.416 | 6 972.22 |
21 | 0 | 0 | 0 | 4.9 | 7 138.89 |
22 | 0 | 0 | 0 | 4.248 | 7 427.78 |
23 | 0 | 0 | 0 | 4.052 | 6 772.22 |
参数 Parameter | 系数 Coefficient | F值 F value | P值 P value |
---|---|---|---|
模型Model | 5.940 0 | 4.660 0 | 0.006 4 |
X1 | 2.900 0 | 20.460 0 | 0.000 6 |
X2 | 1.970 0 | 13.950 0 | 0.002 5 |
X3 | 0.056 4 | 0.398 1 | 0.539 0 |
X1X2 | 0.034 8 | 0.246 2 | 0.628 1 |
X1X3 | 0.018 4 | 0.130 2 | 0.724 0 |
X2X3 | 0.064 8 | 0.457 8 | 0.510 5 |
X1² | 0.219 3 | 1.550 0 | 0.235 2 |
X2² | 0.521 3 | 3.680 0 | 0.077 2 |
X3² | 0.161 7 | 1.140 0 | 0.304 6 |
残差平方和 Sum of squared residuals | 1.150 0 | ||
纯误差平方和 Sum of squares of pure errors | 0.693 4 | ||
决定系数R2 | 0.763 4 | ||
校正决定系数Adj R2 | 0.599 5 | ||
预测决定系数Pre R2 | -0.236 1 | ||
变异系数C.V./% | 8.890 0 |
Table 3 Significance test and analysis of variance of drying rate regression model coefficient
参数 Parameter | 系数 Coefficient | F值 F value | P值 P value |
---|---|---|---|
模型Model | 5.940 0 | 4.660 0 | 0.006 4 |
X1 | 2.900 0 | 20.460 0 | 0.000 6 |
X2 | 1.970 0 | 13.950 0 | 0.002 5 |
X3 | 0.056 4 | 0.398 1 | 0.539 0 |
X1X2 | 0.034 8 | 0.246 2 | 0.628 1 |
X1X3 | 0.018 4 | 0.130 2 | 0.724 0 |
X2X3 | 0.064 8 | 0.457 8 | 0.510 5 |
X1² | 0.219 3 | 1.550 0 | 0.235 2 |
X2² | 0.521 3 | 3.680 0 | 0.077 2 |
X3² | 0.161 7 | 1.140 0 | 0.304 6 |
残差平方和 Sum of squared residuals | 1.150 0 | ||
纯误差平方和 Sum of squares of pure errors | 0.693 4 | ||
决定系数R2 | 0.763 4 | ||
校正决定系数Adj R2 | 0.599 5 | ||
预测决定系数Pre R2 | -0.236 1 | ||
变异系数C.V./% | 8.890 0 |
参数 Parameter | 系数 Coefficient | F值 F value | P值 P value |
---|---|---|---|
模型Model | 6.507×106 | 2.830 0 | 0.043 4 |
X1 | 3.125×106 | 12.240 0 | 0.003 9 |
X2 | 1.316×105 | 0.515 5 | 0.485 5 |
X3 | 1.272×106 | 4.980 0 | 0.043 8 |
X1X2 | 380 3.66 | 0.014 9 | 0.904 7 |
X1X3 | 1.270×105 | 0.497 2 | 0.493 2 |
X2X3 | 884 35.36 | 0.346 4 | 0.566 3 |
X1² | 662 27.12 | 0.259 4 | 0.619 1 |
X2² | 504.25 | 0.002 0 | 0.965 2 |
X3² | 1.697×106 | 6.65 | 0.022 9 |
残差平方和 Sum of squared residuals | 2.304×106 | ||
纯误差平方和 Sum of squares of pure errors | 1.015×106 | ||
决定系数R2 | 0.662 2 | ||
校正决定系数Adj R2 | 0.428 3 | ||
预测决定系数Pre R2 | -0.915 3 | ||
变异系数CV/% | 7.310 0 |
Table 4 Significance test and analysis of variance for regression model coefficients of unit drying energy consumption
参数 Parameter | 系数 Coefficient | F值 F value | P值 P value |
---|---|---|---|
模型Model | 6.507×106 | 2.830 0 | 0.043 4 |
X1 | 3.125×106 | 12.240 0 | 0.003 9 |
X2 | 1.316×105 | 0.515 5 | 0.485 5 |
X3 | 1.272×106 | 4.980 0 | 0.043 8 |
X1X2 | 380 3.66 | 0.014 9 | 0.904 7 |
X1X3 | 1.270×105 | 0.497 2 | 0.493 2 |
X2X3 | 884 35.36 | 0.346 4 | 0.566 3 |
X1² | 662 27.12 | 0.259 4 | 0.619 1 |
X2² | 504.25 | 0.002 0 | 0.965 2 |
X3² | 1.697×106 | 6.65 | 0.022 9 |
残差平方和 Sum of squared residuals | 2.304×106 | ||
纯误差平方和 Sum of squares of pure errors | 1.015×106 | ||
决定系数R2 | 0.662 2 | ||
校正决定系数Adj R2 | 0.428 3 | ||
预测决定系数Pre R2 | -0.915 3 | ||
变异系数CV/% | 7.310 0 |
1 | 车刚,高瑞丽,万霖,等.水稻负压混流干燥室结构优化设计与试验[J].农业工程学报,2021,37(4):87-96. |
CHE G, GAO R L, WAN L, et al.. Optimized design and experimental study on rice negative pressure mixed flow drying chamber [J]. Trans. Chin. Soc. Agric. Eng., 2021,37(4):87-96. | |
2 | 周浩天.空气源热泵冷暖两联供系统运行策略研究[D].绵阳:西南科技大学,2022. |
ZHOU H T. Research on the operation strategy of air source heat pump combined cooling and heating system [D]. Mianyang: Southwest University of Science and Technology, 2022. | |
3 | 国务院关于印发“十四五”节能减排综合工作方案的通知[Z]. 中华人民共和国国务院公报, 国发〔2021〕33号. |
4 | MUSTAFFAR A, PHAN A, BDDOHOO K. Hybrid heat pipe screw dryer: a novel, continuous and highly energy-efficient drying technology [J]. Chem. Eng Proces, 2018, 128: 199-215. |
5 | 陈坤杰,陈青春,张银.中国谷物干燥加工中的能源消耗状况(英文)[J].农业工程学报, 2005, 21(5): 173-177. |
CHEN K J, CHEN Q C, ZHANG Y. Energy consumption for grain drying in China [J]. Trans. Chin. Soc. Agric. Eng., 2005,21(5):173-177. | |
6 | 白桂培.可适用于木材干燥的机械热泵系统的设计及性能分析[D].南京:南京航空航天大学,2017. |
BAI G P. Design and performance research of mechanical heat pump system for wood drying [D]. Nanjing: Nanjing University of Aeronautics and Astronautics, 2017. | |
7 | 张德元. 浅谈干燥设备系统的节能减排[J].化工机械,2009,36(3):195-199. |
ZHANG D Y. Saving energy and reducing pollutangts in the drying systems [J]. Chem. Engin. Mach., 2009,36(3):195-199. | |
8 | RAFAEL P A, MAURI F, GISELE T S. Exergy analysis applied to the design of grain dryers with air flow recirculation [C]// An ASABE Meeting Presentation. St. Joseph, Mich.: ASABE, 2012:12-13. |
9 | THOMAS Z, HASAN J, MARCO S. Increasing the energy efficiency of batch-type drying with partial air recirculation [J]. Chemie Ingenieur Technik, 2016, 88(1-2): 208-214. |
10 | JOKINIEMI H T, AHOKAS J M. Drying process optimisation in a mixed-flow batch grain dryer [J]. Biosys. Eng., 2014, 124: 209-220. |
11 | DEFENDI R O, PARAISO P R, JORGE L M D M. Optimization study of soybean intermittent drying in fixed-bed drying of soybean intermittent drying in fixed-bed drying technology [J]. Drying Technol., 2017, 35(1): 125-137. |
12 | 胡万里,李长友,徐凤英.稻谷薄层快速干燥工艺的试验[J].农业机械学报, 2007(4): 103-106. |
HU W L, LI C Y, XU F Y. Experimental study on fast dry craft of rough rice thin layer [J].Trans. Chin. Soc. Agric. Mach., 2007(4): 103-106. | |
13 | 郜坤.谷物干燥过程热质交换及能耗研究[D].北京:华北电力大学,2019. |
GAO K. Study of heat and mass exchange and energy consumption of during grain drying [D].Beijing:North China Electric Power University,2019. | |
14 | 王桂英.粮食热风干燥冷凝增效节能机理与技术的研究[D].长春:吉林大学, 2022. |
WANG G Y. Stduy of the energy saving mechanism and technology of hot air drying condensation increasing efficiency of grain [D]. Changchun: Jilin University,2022. | |
15 | 李秀琴.节能环保型粮食干燥机的设计研究[J].中国设备工程, 2019(4): 198-199. |
16 | 赵锡和,龙成树,张进疆,等.秋季稻谷热泵变风速干燥及干燥箱火用分析[J].食品与机械,2016, 32(6): 95-99. |
ZHAO X H, LONG C S, ZHANG J J . et al .. Analysis on drying box exergy and variable air velocity drying of autumn rice [J]. Food Mach., 2016, 32(6): 95-99. | |
17 | 车刚,王洪超,万霖,等.水稻干燥变温混配装置设计与试验[J].农业机械学报,2022,53(2):386-392, 411. |
CHE G, WANG H C, WAN L, et al.. Design and test of varying temperature mixing device on paddy rice drying [J].Trans. Chin. Soc. Agric. Mach., 2022,53(2):386-392, 411. | |
18 | RATTHASAK P, PHADUNGSAK R, DULYACHOT C. Energy and exergy analyses in drying process of porous media using hot air [J]. Int. Commun. Heat Mass Transfer, 2010,37:372-378. |
19 | 姚专,王岚,秦卫国. 油料 水分及挥发物含量测定: [S].北京:中国标准出版社,2009. |
20 | 高东明,罗钢.干燥参数对苜蓿各含水率阶段干燥特性及能耗的影响[J].江苏大学学报(自然科学版),2020,41( 6) :685-693. |
GAO D M, LUO G. Effect of drying parameters on drying characteristics and energy consumption during alfalfa drying process [J]. J. Jiangsu Univ. (Nat. Sci.), 2020,41( 6) :685-693. | |
21 | 张译文,张燕梁,万霖,等.3种干燥方法对荞麦干燥特性及品质的影响[J].食品与机械,2019,35(10):197-200. |
ZHANG Y W, ZHANG Y L, WAN L, et al.. Effects of three drying methods on the drying characteristics and quality of buck wheat [J] . Food Mach., 2019,35(10):197-200. | |
22 | 陈正发,车刚,万霖,等.稻谷四向通风混流干燥段数值模拟与试验[J].农业工程学报,2022,38(24):237-247. |
CHEN Z F, CHE G, WAN L, et al.. Numerical simulation and experiment of four-way ventilation mixed flow drying section for rice [J]. Trans. Chin. Soc. Agric. Eng., 2022,38(24):237-247. | |
23 | 万霖,王洪超,车刚.嵌入旋转气腔式水稻穴直播排种器设计与试验[J].农业机械学报,2019,50(11):74-84. |
WAN L, WANG H C, CHE G, et al.. Design and test of rice hill-drop seed metering device embedded with rotating air cavity [J]. Trans. Chin. Soc. Agric. Mach., 2019,50(11):74-84. |
[1] | Jianfeng ZHANG, Wenfeng HOU, Yongqing WU, Kaixu LI, Xiaokun LI. Effects of Nitrogen Fertilizer and Density Interactions on Occurrence of Diseases and Insect Pests and Grain Yield of Rice [J]. Journal of Agricultural Science and Technology, 2025, 27(9): 145-154. |
[2] | Zhien LIU, Yong HE, Zhicheng WANG, Xiaokang ZHAN, Tingbao WANG, Yaowei LIU, Zhihong TIAN. Identification and Bioinformatics Analysis of Growth Regulating Factor GRF Gene Family in Rice [J]. Journal of Agricultural Science and Technology, 2025, 27(8): 18-27. |
[3] | Zheng WU, Hongyun YANG, Aizhen SUN, Jie KONG, Shumei HUANG. Diagnosis of Potassium Nutrition in Rice Based on CA_MobileViT Model [J]. Journal of Agricultural Science and Technology, 2025, 27(8): 80-88. |
[4] | Lihua SHAO, Peng LI. Proteome Analysis of Rice Response to Gibberella fujikuroi Infection [J]. Journal of Agricultural Science and Technology, 2025, 27(6): 126-135. |
[5] | Wenting ZHANG, Yang LI, Shi QIU, Guangming LU, Dongshu GUO, Baolong ZHANG, Jinyan WANG. Effects of Badh2 Gene on Rice Quality Based on CRISPR/Cas9 Gene Editing Technology [J]. Journal of Agricultural Science and Technology, 2025, 27(5): 39-48. |
[6] | Yan WU, Leping ZOU, Huijie SONG, Dandan HU, Kailou LIU, Wanli LIANG. Effect of Controlled-release Nitrogen Fertilizer Combined Urea on Ammonium Nitrogen of Surface Water and Early Rice Yield [J]. Journal of Agricultural Science and Technology, 2025, 27(4): 192-200. |
[7] | Lintao CHEN, Zhaoxiang LIU, Ying LAN, Xiangwei MOU, Xu MA, Rijun WANG. Research on Rice Variety Identification Based on Hyperspectral Technology and Principal Component Analysis [J]. Journal of Agricultural Science and Technology, 2025, 27(3): 104-111. |
[8] | Lecheng SHEN, Zhigang WEN, Han LIAO, Xianbiao LIU, Yaocong JIANG, Yuancong ZHANG, Ting LIU, Mei WANG. Effects of Foliar Spraying of Different Selenium Fertilizers on Selenium Content, Selenium Speciation and Components in Rice [J]. Journal of Agricultural Science and Technology, 2025, 27(3): 206-215. |
[9] | Dabing YANG, Liang HU, Xueshu DU, Bingliang WAN, Mingyuan XIA, Huaxiong QI, Jinbo LI. Progress in Creation of Rice Male Sterile Lines by CRISPR/Cas9 Gene Editing Technology [J]. Journal of Agricultural Science and Technology, 2025, 27(3): 24-34. |
[10] | Chengliang XIONG, Qingfu ZHANG, Weiyuan YAO, Tao XIA, Qingping XU, Xixin ZHOU, Yi ZHANG, Lijuan CHEN, Liu YANG. Effects of Different Types of Rice Straw Addition on Soil Microbial Communities Under Continuous Tobacco Cropping [J]. Journal of Agricultural Science and Technology, 2025, 27(1): 233-240. |
[11] | Ronghua WEI, Ming YIN, Wensheng WANG, Yanru CUI. Discovering of QTLs and Candidate Genes Related to Rice Heading Period Traits Based on BSA-seq [J]. Journal of Agricultural Science and Technology, 2024, 26(9): 12-24. |
[12] | Liang SUN, Yi XU, Qin CAI, Jinghao GUO, Can ZHAO, Baowei GUO, Zhipeng XING, Zhongyang HUO, Hongcheng ZHANG, Yajie HU. Research Progress on Effects of Medium and Trace Elements on Yield and Quality of Rice [J]. Journal of Agricultural Science and Technology, 2024, 26(8): 9-19. |
[13] | Dawei LIU, Feng QIN, Qian LIAO, Xiushan WANG, Fangping XIE, Tiehui LI. Optimization and Experimental Study of Drying Process Parameters for Rice in Hot-air Drying [J]. Journal of Agricultural Science and Technology, 2024, 26(8): 93-102. |
[14] | Wei YUE, Hui WANG, Xi CHEN, Xinchun ZHAN, Xinmin RUAN. Study on Comprehensive Evaluation Method of Rice Quality in Anhui Province [J]. Journal of Agricultural Science and Technology, 2024, 26(6): 141-147. |
[15] | Jianguang ZENG, Taoli LIU, Linjuan SUN, Dingyang YUAN, Yubo HUANG, Chenzhong JIN, Yanning TAN. Analysis of Character and GibberellinSensitivity of Rice Dwarfism and Late-Heading Mutant d534 [J]. Journal of Agricultural Science and Technology, 2024, 26(3): 7-14. |
Viewed | ||||||
Full text |
|
|||||
Abstract |
|
|||||