Journal of Agricultural Science and Technology ›› 2024, Vol. 26 ›› Issue (10): 22-29.DOI: 10.13304/j.nykjdb.2024.0177
• BIOTECHNOLOGY & LIFE SCIENCE • Previous Articles Next Articles
Jieru YUE(), Zhilie QIN, Qiling HOU, Shaohua YUAN, Xiaocong HAO, Jifang YANG, Xiucheng BAI, Changping ZHAO, Fengting ZHANG(
), Hui SUN(
)
Received:
2024-03-08
Accepted:
2024-04-27
Online:
2024-10-15
Published:
2024-10-18
Contact:
Fengting ZHANG,Hui SUN
岳洁茹(), 秦志列, 侯起岭, 苑少华, 郝小聪, 杨吉芳, 白秀成, 赵昌平, 张风廷(
), 孙辉(
)
通讯作者:
张风廷,孙辉
作者简介:
岳洁茹 E-mail:yuejieru@163.com
基金资助:
CLC Number:
Jieru YUE, Zhilie QIN, Qiling HOU, Shaohua YUAN, Xiaocong HAO, Jifang YANG, Xiucheng BAI, Changping ZHAO, Fengting ZHANG, Hui SUN. Study on Stigma Exsertion Pattern of BS Type Photo-thermo Sensitive Male Sterile Lines of Wheat[J]. Journal of Agricultural Science and Technology, 2024, 26(10): 22-29.
岳洁茹, 秦志列, 侯起岭, 苑少华, 郝小聪, 杨吉芳, 白秀成, 赵昌平, 张风廷, 孙辉. BS型小麦光温敏雄性不育系柱头外露规律研究[J]. 中国农业科技导报, 2024, 26(10): 22-29.
Add to citation manager EndNote|Ris|BibTeX
URL: https://nkdb.magtechjournal.com/EN/10.13304/j.nykjdb.2024.0177
不育系 Sterile line | 自交结实率 Self-seed setting rate/% | 始花期 Initial flowering stage(m/d) | 不育系 Sterile line | 自交结实率 Self-seed setting rate/% | 始花期 Initial flowering stage(m/d) |
---|---|---|---|---|---|
BS1453 | 0.67 | 4/13 | BS141 | 0.76 | 4/12 |
BS278-2 | 0.00 | 4/13 | BS163 | 0.01 | 4/13 |
BS294 | 0.20 | 4/13 | BS166 | 0.11 | 4/13 |
BS210 | 0.43 | 4/13 | BS185 | 0.74 | 4/15 |
BS366 | 0.00 | 4/13 | BS131 | 0.81 | 4/13 |
BS107 | 0.32 | 4/13 | BS136 | 0.00 | 4/13 |
BS126 | 0.00 | 4/12 | BS323 | 0.99 | 4/13 |
BS135 | 0.00 | 4/12 | 中麦 175 Zhongmai 175 | 88.27 | 4/13 |
Table 1 Seed setting rate of sterile lines
不育系 Sterile line | 自交结实率 Self-seed setting rate/% | 始花期 Initial flowering stage(m/d) | 不育系 Sterile line | 自交结实率 Self-seed setting rate/% | 始花期 Initial flowering stage(m/d) |
---|---|---|---|---|---|
BS1453 | 0.67 | 4/13 | BS141 | 0.76 | 4/12 |
BS278-2 | 0.00 | 4/13 | BS163 | 0.01 | 4/13 |
BS294 | 0.20 | 4/13 | BS166 | 0.11 | 4/13 |
BS210 | 0.43 | 4/13 | BS185 | 0.74 | 4/15 |
BS366 | 0.00 | 4/13 | BS131 | 0.81 | 4/13 |
BS107 | 0.32 | 4/13 | BS136 | 0.00 | 4/13 |
BS126 | 0.00 | 4/12 | BS323 | 0.99 | 4/13 |
BS135 | 0.00 | 4/12 | 中麦 175 Zhongmai 175 | 88.27 | 4/13 |
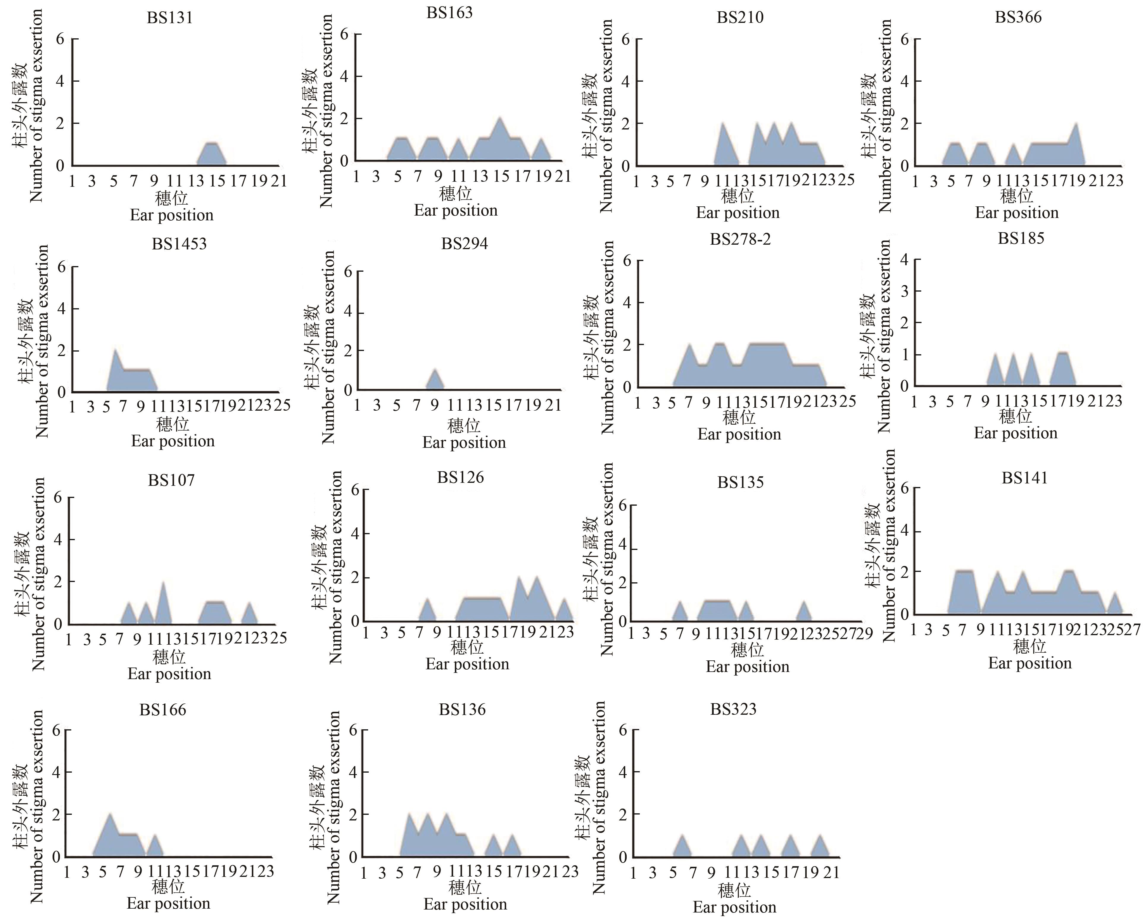
Fig. 3 Correlation analysis of GT biplot characters of sterile linesNote: SER—Stigma exsertion rate; ORS—Outcrossing rate of stigma exsertion floret; TOR—Total outcrossing rate.
Fig. 4 Mean-stability of GYT biplot analysis of sterile linesNote: SER—Stigma exsertion rate; ORS—Outcrossing rate of stigma exsertion floret; TOR—Total outcrossing rate.
不育系 Sterile line | 柱头外露率 SER/% | 柱头外露小花异交结实率 ORS/% | 总异交结实率 TOR/% |
---|---|---|---|
BS131 | 4.25±0.09 e | 4.05±0.32 g | 74.74±2.22 ab |
BS163 | 30.18±1.13 b | 29.33±3.20 b | 74.21±3.49 bcde |
BS210 | 27.27±1.43 b | 25.00±2.20 de | 62.32±2.02 fg |
BS366 | 25.03±5.03 b | 18.18±1.20 ef | 72.36±2.69 cdef |
BS1453 | 5.75±0.47 de | 5.09±0.31 f | 67.23±4.67 def |
BS294 | 1.60±0.61 e | 1.13±0.09 g | 86.31±3.67 a |
BS107 | 14.65±0.89 cd | 13.04±0.13 ef | 77.92±5.02 abcd |
BS136 | 29.47±9.47 b | 26.00±1.44 bc | 72.18±6.24 cdef |
BS278-2 | 51.79±5.02 a | 45.24±3.84 a | 78.00±5.32 abc |
BS126 | 15.34±0.03 c | 12.93±0.94 b | 78.98±2.60 abc |
BS135 | 6.32±0.35 de | 6.10±0.64 f | 68.12±4.22 fg |
BS141 | 54.17±4.17 a | 47.92±3.42 cd | 83.06±0.80 abc |
BS166 | 13.97±0.16 cd | 10.00±0.72 ef | 64.33±4.19 ef |
BS185 | 5.63±0.65 e | 5.09±0.14 g | 68.46±2.89 def |
BS323 | 13.52±0.79 cde | 12.50±1.04 f | 50.89±2.14 g |
Table 2 Stigma exsertion rate and outcrossing seed setting rate of sterile lines
不育系 Sterile line | 柱头外露率 SER/% | 柱头外露小花异交结实率 ORS/% | 总异交结实率 TOR/% |
---|---|---|---|
BS131 | 4.25±0.09 e | 4.05±0.32 g | 74.74±2.22 ab |
BS163 | 30.18±1.13 b | 29.33±3.20 b | 74.21±3.49 bcde |
BS210 | 27.27±1.43 b | 25.00±2.20 de | 62.32±2.02 fg |
BS366 | 25.03±5.03 b | 18.18±1.20 ef | 72.36±2.69 cdef |
BS1453 | 5.75±0.47 de | 5.09±0.31 f | 67.23±4.67 def |
BS294 | 1.60±0.61 e | 1.13±0.09 g | 86.31±3.67 a |
BS107 | 14.65±0.89 cd | 13.04±0.13 ef | 77.92±5.02 abcd |
BS136 | 29.47±9.47 b | 26.00±1.44 bc | 72.18±6.24 cdef |
BS278-2 | 51.79±5.02 a | 45.24±3.84 a | 78.00±5.32 abc |
BS126 | 15.34±0.03 c | 12.93±0.94 b | 78.98±2.60 abc |
BS135 | 6.32±0.35 de | 6.10±0.64 f | 68.12±4.22 fg |
BS141 | 54.17±4.17 a | 47.92±3.42 cd | 83.06±0.80 abc |
BS166 | 13.97±0.16 cd | 10.00±0.72 ef | 64.33±4.19 ef |
BS185 | 5.63±0.65 e | 5.09±0.14 g | 68.46±2.89 def |
BS323 | 13.52±0.79 cde | 12.50±1.04 f | 50.89±2.14 g |
不育系 Sterile line | 平均制种产量 Average seed production yield/(kg·hm-2) | 父本数量 Number of fathers |
---|---|---|
BS210 | 6 417.00 | 8 |
BS278-2 | 5 328.75 | 18 |
BS135 | 3 463.05 | 12 |
BS107 | 4 347.45 | 11 |
BS294 | 2 974.95 | 9 |
BS163 | 3 433.80 | 12 |
BS166 | 2 116.50 | 17 |
BS126 | 4 503.00 | 11 |
BS136 | 3 459.45 | 11 |
BS323 | 5 044.95 | 8 |
BS1453 | 5 239.20 | 11 |
Table 3 Seed production yield and the number of fathers met at flowering stage of sterile lines
不育系 Sterile line | 平均制种产量 Average seed production yield/(kg·hm-2) | 父本数量 Number of fathers |
---|---|---|
BS210 | 6 417.00 | 8 |
BS278-2 | 5 328.75 | 18 |
BS135 | 3 463.05 | 12 |
BS107 | 4 347.45 | 11 |
BS294 | 2 974.95 | 9 |
BS163 | 3 433.80 | 12 |
BS166 | 2 116.50 | 17 |
BS126 | 4 503.00 | 11 |
BS136 | 3 459.45 | 11 |
BS323 | 5 044.95 | 8 |
BS1453 | 5 239.20 | 11 |
1 | 袁国强,陶军,何员江,等.杂交小麦研究进展与问题建议[J/OL].四川农业大学学报,2023:1-16 [2024-03-08].. |
YUAN G Q, TAO J, HE Y J, et al.. Reserch progress and problem suggestion of hybrid wheat [J/OL]. J. Sichuan Agric. Univ., 2023:1-16 [2024-02-08]. . | |
2 | 黄铁城.杂种小麦研究进展[M].北京:北京农业大学出版社,1990:1-22. |
3 | 张胜全,赵昌平.春季限水灌溉对杂交小麦产量形成的影响研究[C]//中国作物学会2013年学术年会论文摘要集中国作物学会学术年会,郑州 2013. |
4 | ZHAO Y S, THORWARTH P, JIANG Y, et al.. Unlocking big data doubled the accuracy in predicting the grain yield in hybrid wheat [J/OL]. Sci. Adv., 2012, 7(24): 9106 [2024-02-08]. . |
5 | 赵昌平,马锦绣,高建刚,等.二系杂交小麦混播制种技术研究与利用[J].科学通报,2022,67(26):3233-3240. |
ZHAO C P, MA J X, GAO J G, et al.. Research and utilization of seed production technology for mixed sowing of two-line hybrid wheat [J]. Chin. Sci. Bull., 2022, 67(26):3233-3240. | |
6 | 李宏生,李绍祥,赵红,等.开颖和柱头外露对小麦温光敏雄性核不育系异交结实的影响[J].麦类作物学报,2015,35(12):1671-1675. |
LI H S, LI S X, ZHAO H, et al.. Effect of glume opening and stigma exsertion on outcrossing seed setting of wheat thermo-photo-sensitive genic male sterile lines [J]. J. Triticeae Crops, 2015, 35(12):1671-1675. | |
7 | 李宏生,丁明亮,顾坚,等.小麦温光敏核不育系柱头外露的遗传研究初报[J].西南农业学报,2014,27(6):2726-2728. |
LI H S, DING M L, GU J, et al.. Preliminary study on inheritance of stigma exsertion in wheat [J]. J. Southwest Chin. Agric. Sci., 2014, 27(6): 2726-2728. | |
8 | 邓则勤,黄显波,林成豹,等.水稻新育三系不育系特征特性观察与分析[J].福建稻麦科技,2019,37(1):5-9. |
DENG Z Q, HUANG X B, LIN C B, et al.. Observation and analysis of characteristics in new rice CMS line [J]. Fujian Sci. Technol. Rice Wheat, 2019, 37(1):5-9. | |
9 | 宗寿余,吕川根,林煜,等.水稻光温敏核不育系的开花习性研究[J].金陵科技学院学报,2005,21(4):56-62. |
ZONG S Y, LYU C G, LIN Y, et al.. Studies on flowering habits of photo-thermo-sensitive genic male sterile lines of rice [J]. J. Jinling Institute Technol., 2005, 21(4):56-62. | |
10 | 韩赞平,汪旭东,王彬,等.水稻不育系异交性能的研究Ⅱ水稻不育系异交性能影响因素间的遗传相关及其改良[J].种子,2005,24(11):39-43. |
HAN Z P, WANG X D, WANG B, et al.. Studies on outcross performance of sterile rice lines Ⅱ genetic correlation and improvement of factors affecting outcross performance of sterile rice lines [J]. Seed, 2005, 24(11): 39-43. | |
11 | 黄少军,吴献强,梁庆平.水稻新育成不育系开花习性观察[J].种子,2012,31(3):104-107. |
HUANG S J, WU X Q, LIANG Q P. Observations on flowering habits of newly developed genic male sterile lines of rice [J]. Seed, 2012, 31(3):104-107. | |
12 | 郭桂英,王青林,鲁伟林,等.籼稻光温敏核不育系开花习性研究[J].中国农学通报,2018,34(26):8-14. |
GUO G Y, WANG Q L, LU W L, et al.. The flowering habit of photoperiod and temperature sensitive genic male-sterile (PTGMS) of Indica rice [J]. China Agric. Sci. Bull., 2018, 34(26):8-14. | |
13 | 林建荣,吴明国,宋昕蔚.三系粳稻不育系开花习性与异交结实率的关系[J].杂交水稻,2006,21(5):69-72. |
LIN J R, WU M G, SONG X W. Relationship between flowering behavior and outcrossing rate of CMS lines in Japonica hybrid rice [J]. Hybrid Rice, 2006, 21(5):69-72. | |
14 | DANG X, LIU E, LIANG Y, et al.. QTL detection and elite alleles mining for stigma traits in Oryza sativa by association mapping [J/OL]. Front. Plant Sci., 2016, 7:1188 [2024-02-08]. . |
15 | 杨保汉.不育系柱头外露率及其结实率研究[J].杂交水稻,1997(1):15-17. |
YANG B H. Studies on stigma exsertion rate and outcrossing rate of CMS lines in rice [J]. Hybrid Rice, 1997(1):15-17. | |
16 | 纪家华,王恩德,李朝晖,等.棉花柱头外露种质系的应用研究[J].中国农业科学,1998,31(6):1-5. |
JI J H, WANG E D, LI C H, et al.. Study on the application of cotton lines with extrude stigma [J]. Sci. Agric. Sin., 1998, 31(6):1-5. | |
17 | 张少丽,邵景成,胡志峰.番茄长花柱型雄性不育研究进展[J].中国蔬菜,2011(12):20-24. |
ZHANG S L, SHAO J C, HU Z F. Research progress on exserted-stigma male sterile germplasm in tomato (Lycopersicon esculentum Mill.) [J]. China Veget., 2011(12):20-24. | |
18 | 赵团结,盖钧镒.大豆柱头外露突变体PSA-1的发现与遗传分析[J].南京农业大学学报,2006,29(4):15-18. |
ZHAO T J, GAI J Y. Discovery and genetic analysis of a mutant with protruding stigma from anthers in soybean [J]. J. Nanjing Agric. Univ., 2006, 29(4):15-18. | |
19 | 赵昌平.中国二系杂交小麦研究进展与展望[J].科学通报,2022,67(26):3119-3128. |
ZHAO C P. Research progress and prospects of two-line hybrid wheat in China [J]. Chin. Sci. Bull., 2022, 67(26):3119-3128. | |
20 | 张小全,胡育玮,武云杰,等.作物柱头外露性状研究进展[J].植物生理学报,2018,54(7):1172-1178. |
ZHANG X Q, HU Y W, WU Y J, et al. Reserch progress of stigma exsertion traits in crops [J]. J. Plant Physiol., 2018, 54(7):1172-1178. | |
21 | 郭桂英,王青林,鲁伟林,等.籼型光温敏核不育系柱头性状表现[J].中国稻米,2017,23(6):104-107. |
GUO G Y, WANG Q L, LU W L, et al..Performance of the stigma traits of India PTGMS lines [J]. China Rice, 2017, 23(6):104-107. | |
22 | 武小金,袁降平.水稻异交习性的变异、遗传及其改良Ⅱ[J].湖南农业科学,1996(1):12-14. |
23 | 谢留杰,段敏,曾国应,等.8个籼型两用核不育系育性及开花习性研究[J].杂交水稻,2016,31(6):32-35, 41. |
XIE L J, DUAN M, ZENG G Y, et al.. Studies on male sterility and flowering habits of eight Indica PTGMS lines in rice [J]. Hybrid Rice, 2016, 31(6):32-35, 41. | |
24 | 李楠.水稻不育系外露柱头存活率测定及提高措施[J].湖北农业科学,2013,52(3):514-517. |
LI N. Determination and improving measures for exserted stigma survival rate of rice sterile line [J]. Hubei Agric. Sci., 2013, 52(3):514-517. | |
25 | 杨卫兵,高建刚,孙辉,等.小麦光温敏核雄性不育系开颖和柱头外露特征及其对异交结实能力的影响[J].麦类作物学报,2022,42(8):932-937. |
YANG W B, GAO J G, SUN H, et al.. Characteristics of glume opening and stigma exsertion and their effects on outcrossing seed setting rate in photo-thermo sensitive genic male sterile lines of wheat [J]. J. Triticeae Crops, 2022, 42(8):932-937. | |
26 | 田大成,黄三奎,段永国,等.水稻不育系花时和受粉时间与异交结实率的关系[J].杂交水稻,2004(3):53-57. |
TIAN D C, HUANG S K, DUAN Y G, et al.. The relationship between flowering and pollination time and outcrossing rate of male sterile lines in hybrid rice seed production [J]. Hybrid Rice, 2004(3):53-57. |
[1] | Yifan LIU, Shaoshuai LIU, Rui ZANG, Yang LI, Wei LIU, Tingting LI, Danmei LIU, Dengcai LIU, Aili LI, Long MAO, Xiang WANG, Shuaifeng GENG. Analysis of Quality Traits of 168 Wheat Germplasm Resources [J]. Journal of Agricultural Science and Technology, 2025, 27(9): 44-57. |
[2] | Caixia LYU, Yongfu LI, Huinan XIN, Na LI, Ning LAI, Qinglong GENG, Shuhuang CHEN. Effects of Slow Release Nitrogen Fertilizer on Yield of Winter Wheat and Soil Nitrate/Ammonium Nitrogen Under Drip Irrigation [J]. Journal of Agricultural Science and Technology, 2025, 27(8): 179-186. |
[3] | Yi HU, Jie GONG, Wei ZHAO, Rong CHENG, Zhongyu LIU, Shiqing GAO, Yazhen YANG. Identification of PHY Gene Family in Wheat (Triticum aestivum L.)and Their Expression Analysis Under Heat Stress [J]. Journal of Agricultural Science and Technology, 2025, 27(7): 30-43. |
[4] | Bei MA, Jie GONG, Yinke DU, Yuwei GAN, Rong CHENG, Bo ZHU, Lixia YI, Jinxiu MA, Shiqing GAO. Identification and Expression Analysis of TaINP1 Gene Related to Pollen Pore Development in Wheat [J]. Journal of Agricultural Science and Technology, 2025, 27(4): 22-35. |
[5] | Gang ZHAO, Shuying WANG, Shangzhong LI, Jianjun ZHANG, Yi DANG, Lei WANG, Xingmao LI, Wanli CHENG, Gang ZHOU, Shengli NI, Tinglu FAN. Effects of Precipitation on Yield and Water Consumption of Winter Wheat in Loess Plateau in Recent 40 Years [J]. Journal of Agricultural Science and Technology, 2024, 26(3): 164-173. |
[6] | Shuang LI, Aiying WANG, Zhen JIAO, Qing CHI, Hao SUN, Tao JIAO. Physiological and Chemical Characteristics and Transcriptome Analysis of Different Type of Wheat Seedlings Under Salt Stress [J]. Journal of Agricultural Science and Technology, 2024, 26(2): 20-32. |
[7] | Yan JIN, Quanhao SONG, Jiajing SONG, Liang CHEN, Lishang ZHAO, Jie CHEN, Dong BAI, Tongquan ZHU. Comprehensive Evaluation of 69 Wheat Germplasm Resources [J]. Journal of Agricultural Science and Technology, 2024, 26(2): 33-45. |
[8] | Yanfei FANG, Xiaoying LUO, Jianghua TANG, Tingting SUN, Luzhen WANG, Tian TANG, Wenxiu XU. Effects of Sowing Methods on Yield, Dry Matter and Water Use Efficiency of Spring Wheat in Dryland [J]. Journal of Agricultural Science and Technology, 2024, 26(1): 173-181. |
[9] | Caixia HU, Hongen LIU, Chang LI, Shiyu QIN, Yuhuan ZHAO, Yupeng ZHANG, Haiyang LIU, Jiayang XU, Peng ZHAO, Zhaojun NIE, Qiuhong WANG. Effect of Phosphorus and Selenium Combined Application on Selenium Uptake, Translocation and Organic Selenium in Grain of Winter Wheat [J]. Journal of Agricultural Science and Technology, 2023, 25(11): 182-191. |
[10] | Huifang ZHANG, Jianhong ZHANG, Haijiao LIU, Yan SUN, Hongzhi QI, Nan WANG, Junzhi DUAN, Yan GUO, Haiyan YIN. Evolution of Wheat (Triticum aestivum L.) Germplasm Traits and Evaluation of Breeding Value in Southern Huang-Huai Winter Wheat Region in Recent 20 Years [J]. Journal of Agricultural Science and Technology, 2023, 25(11): 28-41. |
[11] | Yuanyuan DUAN, Xiaohong LIU, Tao TANG, Fanfan WANG, Jingmao YOU, Xiaoliang GUO, Jie GUO. Effects of Planting Density on Growth and Quality of Fritillaria hupehensis [J]. Journal of Agricultural Science and Technology, 2023, 25(9): 197-206. |
[12] | Mingyu ZHAO, Hao JIA, Xiaoyu SHI, Yi PAN, Yuyun HUANG, Kaicheng WANG, Qingquan CHU. Distribution of Winter Wheat Water Footprint in Huang-Huai-Hai Farming Region in Recent 30 Years [J]. Journal of Agricultural Science and Technology, 2023, 25(8): 138-147. |
[13] | Feifan HOU, Xiaowen ZHANG, Jiaqi WANG, Jianzhen ZHANG, Kaiquan LI, Xuebin YIN. Effect of Selenium Fertilizer Application Position on Physiological Characters and Selenium Accumulation in Wheat [J]. Journal of Agricultural Science and Technology, 2023, 25(7): 144-152. |
[14] | Shuang WANG, Yixing HOU, Linjiao FENG, Qianqian LU, Long ZHOU. Effect of Drought Stress on Anatomical Structure of Leaves in Table Grape Varieties [J]. Journal of Agricultural Science and Technology, 2023, 25(6): 40-49. |
[15] | Tongtong ZHENG, Wendi YANG, Ning WANG, Junjie MA, Long LIU, Qingyuan GUO. Morphological and Polygenetic Identification of Pathogen of Wheat Leaf Blight [J]. Journal of Agricultural Science and Technology, 2023, 25(2): 111-118. |
Viewed | ||||||
Full text |
|
|||||
Abstract |
|
|||||