Journal of Agricultural Science and Technology ›› 2024, Vol. 26 ›› Issue (3): 188-200.DOI: 10.13304/j.nykjdb.2022.0805

• BIO-MANUFACTURING & RESOURCE AND ECOLOGY • Previous Articles     Next Articles

Soil Heavy Metals Pollution Characteristics and Risk Assessment in Main Production Area of Jinggang Honey Pomelo

Xiaobing LIN1,2(), Binqiang WANG2, Yanhong CHENG2, Lijun ZHOU2, Shangshu HUANG1,2, Lin WU2, Qianru HUANG2, Shaolang HE2()   

  1. 1.College of Land Resources and Environment,Jiangxi Agricultural University,Nanchang 330045,China
    2.National Engineering and Technology Research Center for Red Soil Improvement,Jiangxi Institute of Red Soil,Nanchang 331717,China
  • Received:2022-09-20 Accepted:2022-12-04 Online:2024-03-15 Published:2024-03-07
  • Contact: Shaolang HE

井冈蜜柚主产区土壤重金属污染特征及风险评价

林小兵1,2(), 王斌强2, 成艳红2, 周利军2, 黄尚书1,2, 武琳2, 黄欠如2, 何绍浪2()   

  1. 1.江西农业大学国土资源与环境学院, 南昌 330045
    2.江西省红壤研究所国家红壤改良工程技术研究中心, 南昌 331717
  • 通讯作者: 何绍浪
  • 作者简介:林小兵 E-mail: linxiaobing14@mails.ucas.ac.cn
  • 基金资助:
    江西省重大科技研发专项项目(20194ABC28010);江西省重点研发计划项目(20202BBF62003)

Abstract:

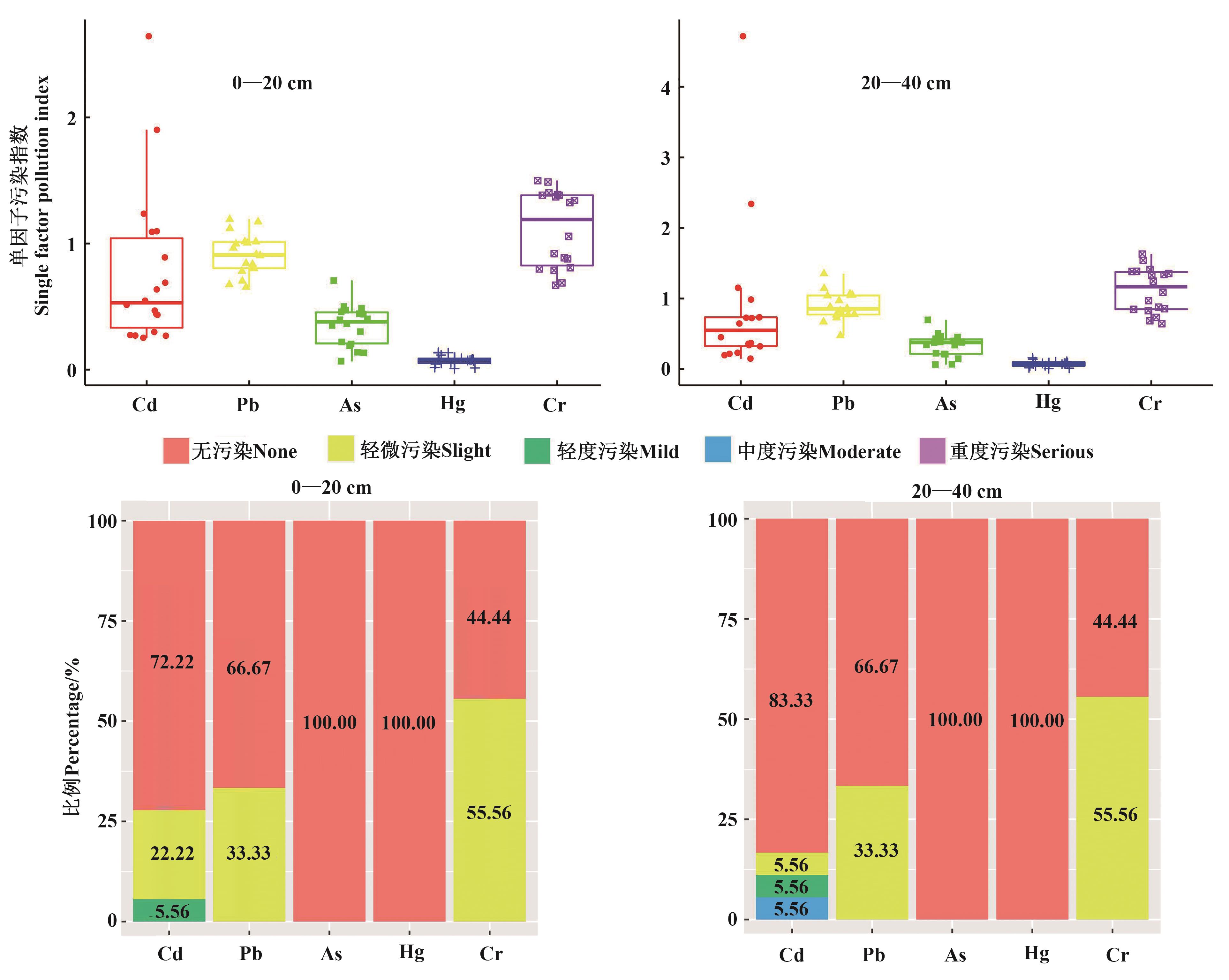
To investigate the pollution characteristics and risk of heavy metals in soil of Jinggang honey pomelo orchards, 18 representative soil samples were collected from Jinggang pomelo orchards in 4 main production areas of Ji’an City, Jiangxi Province. Soil physicochemical properties and heavy metals (Cd, Pb, As, Hg and Cr) content were determined. The pollution levels of soil heavy metals were evaluated by single factor pollution index, geoaccumulation index and Nemero comprehensive pollution index. The potential ecological risks of soil heavy metals were discussed in potential ecological risk index (RI). The results showed that soil acidification was serious, the fertility was in the middle and lower levels, and the available nitrogen was lack in the study area. The average contents of Cd, Pb, As, Hg and Cr were 0.23, 63.81, 13.95, 0.10 and 167.28 mg·kg-1 in 0 to 20 cm soil, which were 2.30, 1.99, 1.35, 1.25 and 3.49 times of the background values, respectively. The average contents of Cd, Pb, As, Hg and Cr were 0.26, 62.40, 13.51, 0.10 and 167.87 mg·kg-1 in 20 to 40 cm soil, which were 2.60, 1.94, 1.31, 1.25 and 3.50 times of the background values, respectively. There was no significant difference in heavy metal content at different depths. Single factor and geoaccumulation index analysis showed that the accumulation of Cr, Pb and Cd in the soil of the study area was serious, and 11.11% of Cd was seriously polluted. With the standard value as the reference, the soil heavy metal pollution in the study area was mainly mild pollution, belonging to low ecological hazard degree. With the background value as the reference, the soil heavy metal pollution in the study area was mainly moderate and serious, belonging to medorate and strong hazard degrees. The correlation analysis showed that Cr had good homology with Pb and As. Redundancy analysis showed that soil pH and organic matter were the main environmental factors affecting the change of heavy metals in soil of pomelo orchards in Jinggang. Overall, the heavy metal pollution of soil in the study area was light, but there were some orchards exceeding the standard and the accumulation of Cd, Cr and Pb in soil. Fruit farmers and relevant departments should pay more attention and take effective measures to prevent their ecological risks.

Key words: Jinggang honey pomelo orchards, heavy metals, pollution characteristics, environmental factors, potential ecological risks

摘要:

为探明井冈蜜柚园土壤重金属污染特征及风险状况,采集江西省吉安市4个主产区18个具有代表性的井冈蜜柚园土壤样品,测定其土壤理化性质和重金属(Cd、Pb、As、Hg和Cr)含量,采用单因子、地累积和内梅罗综合污染指数(PN )评价其污染程度,并采用潜在生态风险指数(RI)评价其生态风险。结果表明,研究区土壤肥力呈中下水平,酸化严重,碱解氮较缺乏。0—20 cm土壤Cd、Pb、As、Hg和Cr平均含量为0.23、63.81、13.95、0.10和167.28 mg·kg-1,为背景值的2.30、1.99、1.35、1.25和3.49倍;20—40 cm平均含量为0.26、62.40、13.51、0.10和167.87 mg·kg-1,为背景值的2.60、1.94、1.31、1.25和3.50倍;不同深度重金属含量差异较小。单因子污染指数和地累积指数均表明研究区土壤Cr、Pb和Cd累积程度较为严重,其中Cd有11.11%的属于重度污染。以标准值为参比,研究区土壤重金属污染程度主要呈轻度污染,属低生态危害程度;以背景值为参比,研究区土壤主要为中、重度污染,属中等、强危害程度。相关性分析表明,土壤重金属Cr与Pb、As具有较好的同源性。冗余分析表明,土壤pH和有机质含量是影响井冈蜜柚土壤重金属变化的主要环境因子。总体上,研究区土壤重金属污染较轻,但部分果园存在土壤重金属超标和Cd、Cr和Pb的累积程度较严重的问题,果农和有关部门需引起重视,采取有效措施防范其生态风险。

关键词: 井冈蜜柚园, 重金属, 污染特征, 环境因子, 潜在生态风险

CLC Number: