








Journal of Agricultural Science and Technology ›› 2022, Vol. 24 ›› Issue (9): 116-128.DOI: 10.13304/j.nykjdb.2021.0913
• INTELLIGENT AGRICULTURE & AGRICULTURAL MACHINERY • Previous Articles Next Articles
Lingwen HU1,2(
), Zhongfa ZHOU1,2(
), Linjiang YIN1,2, Meng ZHU1,2, Denghong HUANG1,2
Received:2021-10-26
Accepted:2022-02-07
Online:2022-09-15
Published:2022-10-11
Contact:
Zhongfa ZHOU
胡灵炆1,2(
), 周忠发1,2(
), 尹林江1,2, 朱孟1,2, 黄登红1,2
通讯作者:
周忠发
作者简介:胡灵炆E-mail:870399733@qq.com;
基金资助:CLC Number:
Lingwen HU, Zhongfa ZHOU, Linjiang YIN, Meng ZHU, Denghong HUANG. Rape Identification at Seedling Stage Based on UAV RGB Image[J]. Journal of Agricultural Science and Technology, 2022, 24(9): 116-128.
胡灵炆, 周忠发, 尹林江, 朱孟, 黄登红. 基于无人机RGB影像的苗期油菜识别[J]. 中国农业科技导报, 2022, 24(9): 116-128.
Add to citation manager EndNote|Ris|BibTeX
URL: https://nkdb.magtechjournal.com/EN/10.13304/j.nykjdb.2021.0913
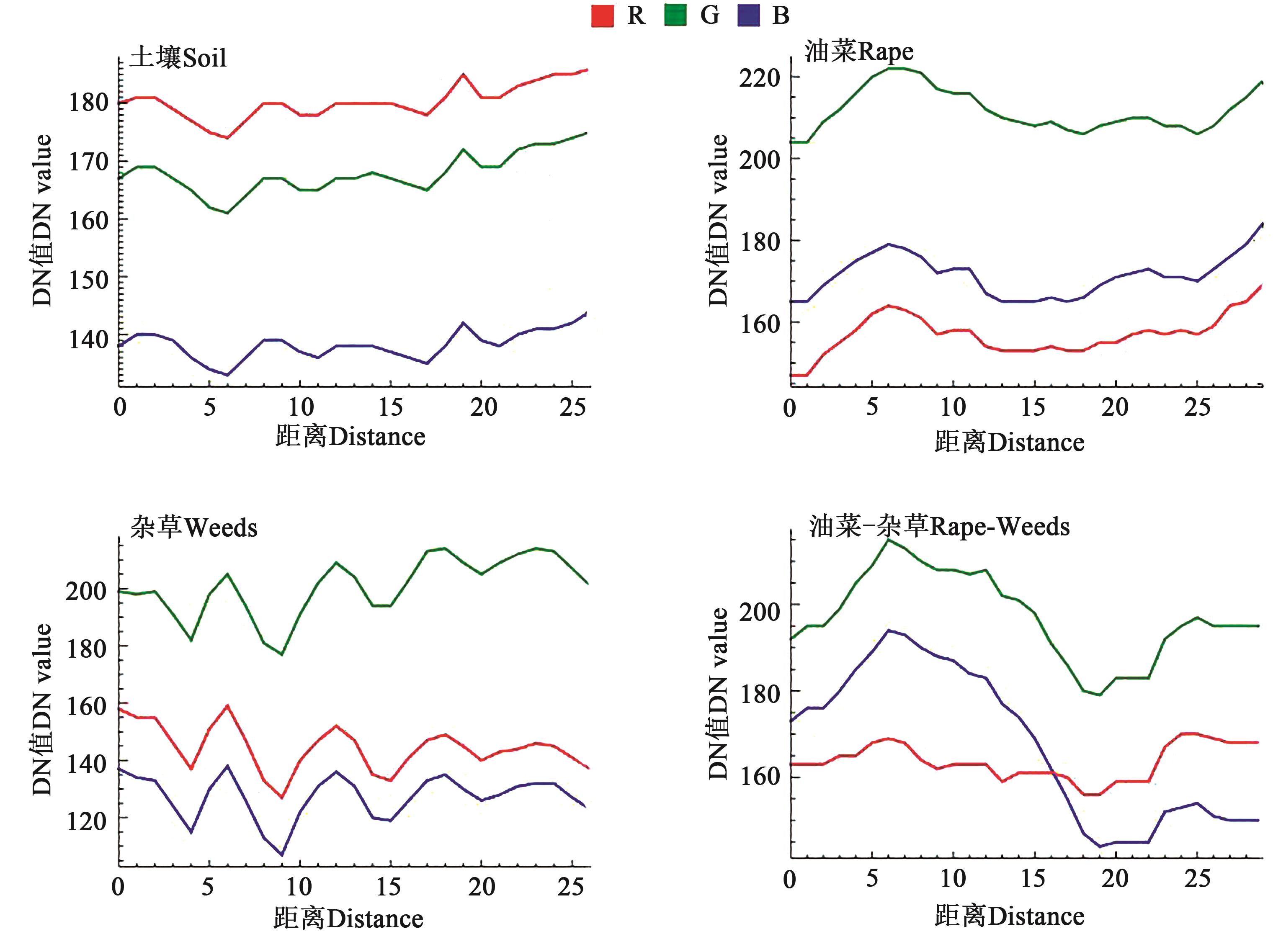
名称 Name | 平均值 Mean value | 标准差 Standard deviation | ||||
|---|---|---|---|---|---|---|
| R | G | B | R | G | B | |
| 土壤 Soil | 181.89 | 168.83 | 142.51 | 11.30 | 14.31 | 12.33 |
| 油菜苗 Rape | 160.62 | 210.22 | 179.33 | 11.76 | 11.90 | 13.60 |
| 杂草 Weeds | 156.24 | 182.16 | 135.85 | 18.91 | 24.45 | 17.31 |
Table 1 Statistical value of every object DN value
名称 Name | 平均值 Mean value | 标准差 Standard deviation | ||||
|---|---|---|---|---|---|---|
| R | G | B | R | G | B | |
| 土壤 Soil | 181.89 | 168.83 | 142.51 | 11.30 | 14.31 | 12.33 |
| 油菜苗 Rape | 160.62 | 210.22 | 179.33 | 11.76 | 11.90 | 13.60 |
| 杂草 Weeds | 156.24 | 182.16 | 135.85 | 18.91 | 24.45 | 17.31 |
指数 Index | 土壤Soil | 油菜苗Rape | 杂草Weeds | |||
|---|---|---|---|---|---|---|
均值 Mean | 标准差 Standard deviation | 均值 Mean | 标准差 Standard deviation | 均值 Mean | 标准差 Standard deviation | |
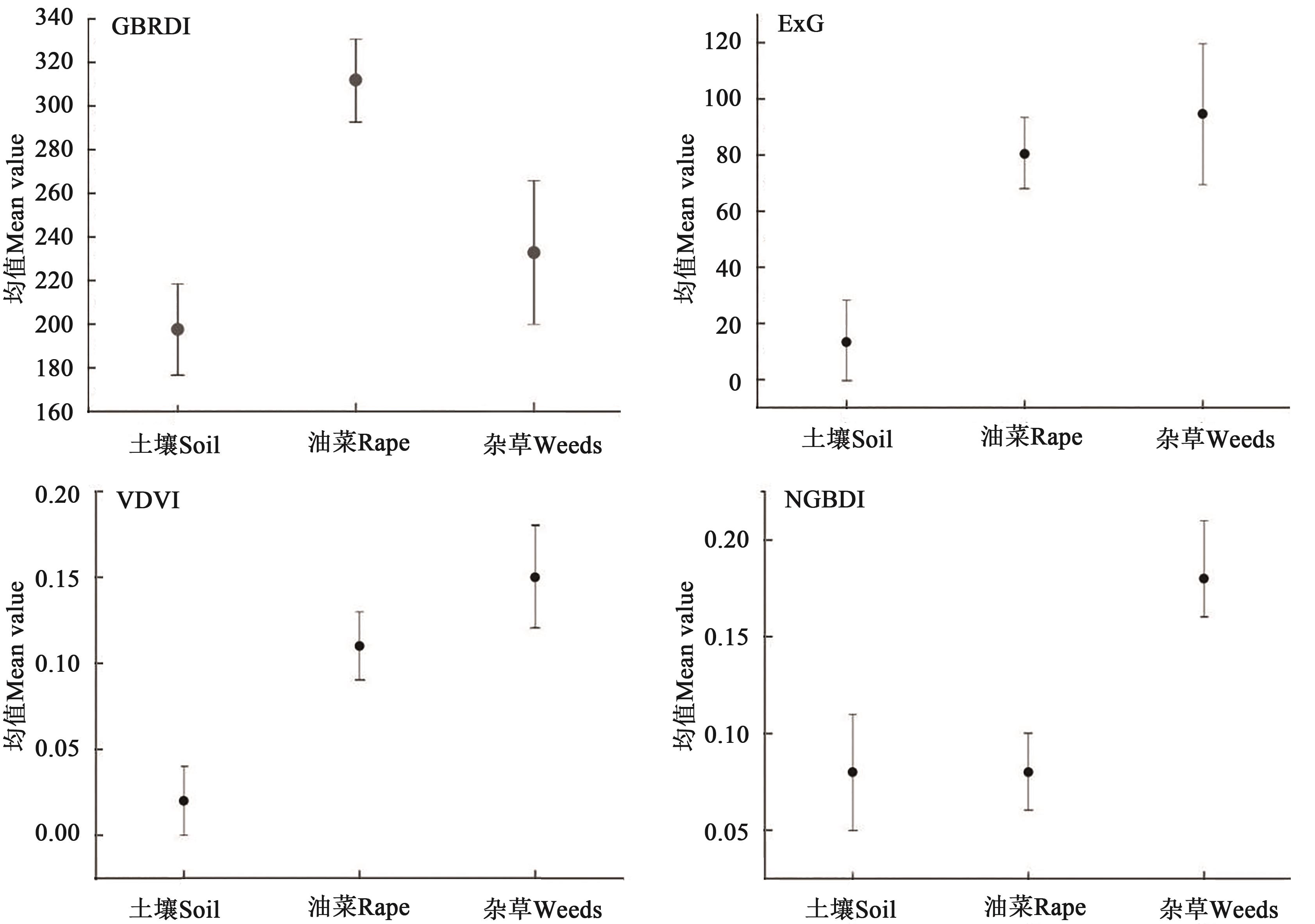
| GBRDI | 197.54 | 20.82 | 311.93 | 19.27 | 232.77 | 33.02 |
| ExG | 13.33 | 14.99 | 80.40 | 13.11 | 94.62 | 25.10 |
| VDVI | 0.02 | 0.02 | 0.11 | 0.02 | 0.15 | 0.03 |
| NGBDI | 0.08 | 0.03 | 0.08 | 0.02 | 0.18 | 0.03 |
Table 2 DN value of ground features by different index
指数 Index | 土壤Soil | 油菜苗Rape | 杂草Weeds | |||
|---|---|---|---|---|---|---|
均值 Mean | 标准差 Standard deviation | 均值 Mean | 标准差 Standard deviation | 均值 Mean | 标准差 Standard deviation | |
| GBRDI | 197.54 | 20.82 | 311.93 | 19.27 | 232.77 | 33.02 |
| ExG | 13.33 | 14.99 | 80.40 | 13.11 | 94.62 | 25.10 |
| VDVI | 0.02 | 0.02 | 0.11 | 0.02 | 0.15 | 0.03 |
| NGBDI | 0.08 | 0.03 | 0.08 | 0.02 | 0.18 | 0.03 |
指数 Index | 正确提取 TP | 误提取 FP | 漏提取 FN | 真实株数 TN | 分支因子BF | 检测率 DR/% | 完整性 QP/% |
|---|---|---|---|---|---|---|---|
| GBRDI | 710 | 84 | 54 | 849 | 0.12 | 92.93 | 83.63 |
| ExG | 668 | 92 | 89 | 849 | 0.14 | 88.24 | 78.68 |
| VDVI | 611 | 136 | 102 | 849 | 0.22 | 85.69 | 71.97 |
| NGBDI | 17 | 780 | 52 | 849 | 45.88 | 24.64 | 2.00 |
Table 4 Accuracy verification of extraction by different index
指数 Index | 正确提取 TP | 误提取 FP | 漏提取 FN | 真实株数 TN | 分支因子BF | 检测率 DR/% | 完整性 QP/% |
|---|---|---|---|---|---|---|---|
| GBRDI | 710 | 84 | 54 | 849 | 0.12 | 92.93 | 83.63 |
| ExG | 668 | 92 | 89 | 849 | 0.14 | 88.24 | 78.68 |
| VDVI | 611 | 136 | 102 | 849 | 0.22 | 85.69 | 71.97 |
| NGBDI | 17 | 780 | 52 | 849 | 45.88 | 24.64 | 2.00 |
| DOM | GBRDI | ExG | VDVI | NGBDI | |
| b1 | ![]() | ![]() | ![]() | ![]() | ![]() |
| b2 | ![]() | ![]() | ![]() | ![]() | ![]() |
| b3 | ![]() | ![]() | ![]() | ![]() | ![]() |
| b4 | ![]() | ![]() | ![]() | ![]() | ![]() |
Fig. 9 Extraction results of validation area
| DOM | GBRDI | ExG | VDVI | NGBDI | |
| b1 | ![]() | ![]() | ![]() | ![]() | ![]() |
| b2 | ![]() | ![]() | ![]() | ![]() | ![]() |
| b3 | ![]() | ![]() | ![]() | ![]() | ![]() |
| b4 | ![]() | ![]() | ![]() | ![]() | ![]() |
验证区 Verification area | 指数 Index | 正确提取 TP | 误提取 FP | 漏提取 FN | 真实株数 TN | 分支因子BF | 检测率DR/% | 完整性QP/% |
|---|---|---|---|---|---|---|---|---|
| b1 | GBRDI | 107 | 30 | 6 | 143 | 0.28 | 94.69 | 74.83 |
| ExG | 76 | 60 | 7 | 143 | 0.79 | 91.57 | 53.15 | |
| VDVI | 44 | 89 | 10 | 143 | 2.02 | 81.48 | 30.77 | |
| NGBDI | 31 | 106 | 6 | 143 | 3.42 | 83.78 | 21.68 | |
| b2 | GBRDI | 89 | 14 | 4 | 107 | 0.16 | 95.70 | 83.18 |
| ExG | 51 | 46 | 10 | 107 | 0.90 | 83.61 | 47.66 | |
| VDVI | 41 | 55 | 11 | 107 | 1.34 | 78.85 | 38.32 | |
| NGBDI | 28 | 68 | 11 | 107 | 2.43 | 71.79 | 26.17 | |
| b3 | GBRDI | 87 | 12 | 6 | 105 | 0.13 | 93.54 | 82.86 |
| ExG | 48 | 50 | 7 | 105 | 1.04 | 87.27 | 45.71 |
Table 6 Accuracy of verification areas
验证区 Verification area | 指数 Index | 正确提取 TP | 误提取 FP | 漏提取 FN | 真实株数 TN | 分支因子BF | 检测率DR/% | 完整性QP/% |
|---|---|---|---|---|---|---|---|---|
| b1 | GBRDI | 107 | 30 | 6 | 143 | 0.28 | 94.69 | 74.83 |
| ExG | 76 | 60 | 7 | 143 | 0.79 | 91.57 | 53.15 | |
| VDVI | 44 | 89 | 10 | 143 | 2.02 | 81.48 | 30.77 | |
| NGBDI | 31 | 106 | 6 | 143 | 3.42 | 83.78 | 21.68 | |
| b2 | GBRDI | 89 | 14 | 4 | 107 | 0.16 | 95.70 | 83.18 |
| ExG | 51 | 46 | 10 | 107 | 0.90 | 83.61 | 47.66 | |
| VDVI | 41 | 55 | 11 | 107 | 1.34 | 78.85 | 38.32 | |
| NGBDI | 28 | 68 | 11 | 107 | 2.43 | 71.79 | 26.17 | |
| b3 | GBRDI | 87 | 12 | 6 | 105 | 0.13 | 93.54 | 82.86 |
| ExG | 48 | 50 | 7 | 105 | 1.04 | 87.27 | 45.71 |
验证区 Verification area | 指数 Index | 正确提取 TP | 误提取 FP | 漏提取 FN | 真实株数 TN | 分支因子BF | 检测率DR/% | 完整性QP/% |
|---|---|---|---|---|---|---|---|---|
| VDVI | 35 | 63 | 7 | 105 | 1.80 | 83.33 | 33.33 | |
| NGBDI | 31 | 68 | 6 | 105 | 2.19 | 83.78 | 29.52 | |
| b4 | GBRDI | 81 | 11 | 4 | 96 | 0.14 | 95.29 | 84.38 |
| ExG | 42 | 46 | 8 | 96 | 1.10 | 84.00 | 43.75 | |
| VDVI | 30 | 55 | 11 | 96 | 1.83 | 73.17 | 31.25 | |
| NGBDI | 18 | 68 | 10 | 96 | 3.78 | 64.29 | 18.75 |
Table 6 Accuracy of verification areas
验证区 Verification area | 指数 Index | 正确提取 TP | 误提取 FP | 漏提取 FN | 真实株数 TN | 分支因子BF | 检测率DR/% | 完整性QP/% |
|---|---|---|---|---|---|---|---|---|
| VDVI | 35 | 63 | 7 | 105 | 1.80 | 83.33 | 33.33 | |
| NGBDI | 31 | 68 | 6 | 105 | 2.19 | 83.78 | 29.52 | |
| b4 | GBRDI | 81 | 11 | 4 | 96 | 0.14 | 95.29 | 84.38 |
| ExG | 42 | 46 | 8 | 96 | 1.10 | 84.00 | 43.75 | |
| VDVI | 30 | 55 | 11 | 96 | 1.83 | 73.17 | 31.25 | |
| NGBDI | 18 | 68 | 10 | 96 | 3.78 | 64.29 | 18.75 |
| 1 | 冷博峰,李先容,陈雪婷,等. 2008—2019年中国油菜生产性状变化趋势[J].中国油料作物学报,2021, 43(2): 171-185. |
| LENG B F, LI X R, CHEN X T, et al. Change trend of rape production characters in China from 2008 to 2019 [J]. Oilseed Crops China, 2021, 43(2): 171-185. | |
| 2 | 刘成,冯中朝,肖唐华,等.我国油菜产业发展现状、潜力及对策[J].中国油料作物学报,2019, 41(4): 485-489. |
| LIU C, FENG Z C, XIAO T H, et al.. Development status, potential and countermeasures of rape industry in China [J]. Oilseed Crops China, 2019, 41(4): 485-489. | |
| 3 | 李中元,吴炳方,张淼,等.利用物候差异与面向对象决策树提取油菜苗种植面积[J].地球信息科学学报, 2019, 21(5): 720-730. |
| LI Z Y, WU B F, ZHANG M, et al.. Extraction of rape seedling planting area by phenological difference and object-oriented decision tree [J]. J. Earth Inform. Sci., 2019, 21(5): 720-730. | |
| 4 | 王东,方圣辉,王政.基于光谱特征和颜色特征的油菜提取研究[J].农业机械学报, 2018, 49(3): 158-165. |
| WANG D, FANG S H, WANG Z. Research on rape extraction based on spectral and color features [J]. J. Agric. Mach., 2018, 49(3): 158-165.. | |
| 5 | WEI C, HUANG J, Lamin M, et al.. Estimation and mapping of winter oilseed rape LAI from high spatial resolution satellite data based on a hybrid method [J/OL]. Remote Sens., 2017, 2017(5): 488 [2022-08-09]. . |
| 6 | 邹长慧,周忠发.喀斯特高原山区无人机低空遥感影像数据的获取与处理[J].测绘通报, 2012(): 421-423. |
| ZOU C H, ZHOU Z F. Acquisition and processing of UAV low altitude remote sensing image data in Karst Plateau Mountain area [J]. Survey Map Bull., 2012 (Supp.1): 421-423. | |
| 7 | 黄登红,周忠发,吴跃,等.基于无人机可见光影像的高原丘陵盆地区山药植株识别[J].热带地理, 2019, 39(4): 571-582. |
| HUANG D H, ZHOU Z F, WU Y, et al.. Identification of yam plants in Plateau Hilly Basin based on UAV visible light image [J]. Tropical Geography, 2019, 39(4): 571-582. | |
| 8 | 董金玮,吴文斌,黄健熙.农业土地利用遥感信息提取的研究进展与展望[J].地球信息科学学报,2020, 22(4): 772-783. |
| DONG J W, WU W B, HUANG J X. Research progress and Prospect of remote sensing information extraction of agricultural land use [J]. J. Earth Inform. Sci., 2020, 22(4): 772-783. | |
| 9 | 汪沛,罗锡文,周志艳,等.基于微小型无人机的遥感信息获取关键技术综述[J].农业工程学报, 2014, 30(18): 1-12. |
| WANG P, LUO X W, ZHOU Z Y, et al.. Key technologies of remote sensing information acquisition based on micro-UAV [J]. J. Agric. Eng., 2014, 30(18): 1-12. | |
| 10 | 林娜,陈宏,赵健,等.轻小型无人机遥感在精准农业中的应用及展望[J].江苏农业科学, 2020, 48(20): 43-48. |
| LIN N, CHEN H, ZHAO J, et al.. Application and prospect of light and small UAV remote sensing in precision agriculture [J]. Jiangsu Agric. Sci., 2020, 48(20): 43-48. | |
| 11 | 毕凯,李英成,丁晓波,等.轻小型无人机航摄技术现状及发展趋势[J].测绘通报, 2015(3): 27-31. |
| BI K, LI Y C, DING X B, et al.. Status quo and development trend of aerial photography technology for light and small UAV [J]. Survey. Map Bull., 2015 (3): 27-31. | |
| 12 | COMB L, BIGLIA A, AIMONINO D R, et al.. Unsupervised detection of vineyards by 3D point-cloud UAV photogrammetry for precision agriculture [J]. Comp. Electron. Agric., 2018, 155: 84-95. |
| 13 | 尹林江,周忠发,黄登红,等.基于无人机影像匹配点云数据的喀斯特峡谷区火龙果单株提取研究[J]. 浙江农业学报, 2020, 32(6): 1092-1102. |
| YIN L J, ZHOU Z F, HUANG D H, et al.. Single plant extraction of Pitaya in Karst Canyon Area Based on UAV image matching point cloud data [J]. Zhejiang Agric. J., 2020, 32(6): 1092-1102. | |
| 14 | HYYPPÄ E, HYYPPÄ J, HAKALA T, et al.. Under-canopy UAV laser scanning for accurate forest field measurements [J]. ISPRS J. Photogram. Remote Sens., 2020, 164: 41-60. |
| 15 | 郭鹏,武法东,戴建国,等.基于无人机可见光影像的农田作物分类方法比较[J].农业工程学报,2017, 33(13): 112-119. |
| GUO P, WU F D, DAI J G, et al.. Comparison of crop classification methods based on UAV visible light image [J]. J. Agric. Eng., 2017, 33(13): 112-119. | |
| 16 | LI B, XU X, HAN J, et al.. The estimation of crop emergence in potatoes by UAV RGB imagery [J]. Plant Methods, 2019, 15(1): 1-13. |
| 17 | 戴建国,薛金利,赵庆展,等.利用无人机可见光遥感影像提取棉花苗情信息[J].农业工程学报, 2020, 36(4): 63-71. |
| DAI J G, XUE J L, ZHAO Q Z, et al.. Extracting cotton seedling information from UAV visible light remote sensing image [J]. J. Agric. Eng., 2020, 36(4): 63-71. | |
| 18 | 高永刚,林悦欢,温小乐,等.基于无人机影像的可见光波段植被信息识别[J].农业工程学报, 2020, 36(3): 178-189. |
| GAO Y G, LIN Y H, WEN X L, et al.. Identification of vegetation information in visible light band based on UAV image [J]. J. Agric. Eng., 2020, 36(3): 178-189. | |
| 19 | 黄登红,周忠发,彭睿文,等.西南高原山区作物低空遥感挑战与研究进展——以贵州省为例[J].贵州师范大学学报(自然科学版), 2021, 39(5): 53-61. |
| HUANG D H, ZHOU Z F, PENG R W, et al. Challenges and research progress of crop low altitude remote sensing in mountainous areas of southwest plateau—Taking Guizhou Province as an example [J]. J. Guizhou Norm. Univ. (Nat. Sci.), 2021, 39(5): 53-61. | |
| 20 | 任明强, 张家德,卢正艳.贵州喀斯特与非喀斯特农业生态地质环境质量对比研究[J].中国岩溶,2009, 28(4): 397-401. |
| REN M Q, ZHANG J D, LU Z Y. Comparative study on agroecological geology environment quality between karst and non karst in Guizhou [J]. Karst China, 2009, 28(4): 397-401. | |
| 21 | 何腾兵.贵州喀斯特山区水土流失状况及生态农业建设途径探讨[J].水土保持学报, 2000, 14(Z1): 28-34. |
| HE T B. Soil and water loss in karst mountainous area of Guizhou Province and approach to ecological agriculture construction [J]. J. Soil Water Conserv., 2000, 14(Z1): 28-34. | |
| 22 | 高雯晗.无人机载遥感数据估测油菜长势参数方法研究[D].武汉:华中农业大学,2019. |
| GAO W H. Research on method of estimating oilseed rape growth parameters based on UAV borne remote sensing data [D]. Wuhan: Huazhong Agricultural University, 2019. | |
| 23 | 韩文霆,李广,苑梦婵,等.基于无人机遥感技术的玉米种植信息提取方法研究[J].农业机械学报,2017, 48(1): 139-147. |
| HAN W T, LI G, YUAN M C, et al.. Research on corn planting information extraction method based on UAV remote sensing technology [J]. J. Agric. Mach., 2017, 48(1): 139-147. | |
| 24 | WOEBBECKE D M, MEYER G E, VON BARGEN K, MORTENSEN D A. Color indices for weed identification under various soil, residue, and lighting conditions [J]. Trans. ASAE, 1995, 38(1): 259-269. |
| 25 | HUNT E R, CAVIGELLI M, DAUGHTRY C S T, et al.. Evaluation of digital photography from model aircraft for remote sensing of crop biomass and nitrogen status [J]. Precision Agric., 2005, 6(4): 359-378. |
| 26 | 汪小钦,王苗苗,王绍强,等.基于可见光波段无人机遥感的植被信息提取[J].农业工程学报,2015, 31(5): 152-159. |
| WANG X Q, WANG M M, WANG S Q, et al.. Vegetation information extraction based on visible band UAV remote sensing [J]. J. Agric. Eng., 2015, 31(5): 152-159. | |
| 27 | VERRELST, SCHAEPMANM.E., KOETZB.,M, et al.. Angula sensitivity analysis of vegetation indices derived from CHRIS/PROBA data [J]. Remote Sens. Environ., 2008, 112(5): 2341-2353. |
| 28 | 王猛,隋学艳,梁守真,等.利用无人机遥感技术提取农作物植被覆盖度方法研究[J].作物杂志, 2020(3): 177-183. |
| WANG M, SUI X Y, LIANG S Z, et al.. Extraction of crop vegetation coverage using UAV remote sensing technology [J]. Crops, 2020(3): 177-183. | |
| 29 | DU M, NOBORU N. Monitoring of wheat growth status and mapping of wheat yield’s within-field spatial variations using color images acquired from UAV-camera system [J/OL]. Remote Sens., 2017, 9(3):289[2022-08-09]. . |
| 30 | SHUFELT J A. Performance evaluation and analysis of monocular building extraction from aerial imagery [J]. IEEE Trans. Pattern Anal. Mach. Intell.,1999,21(4): 311-326. |
| 31 | 李青,李玉,王玉,等.利用格式塔的高分辨率遥感影像建筑物提取[J].中国图象图形学报, 2017, 22(8): 1162-1174. |
| LI Q, LI Y, WANG Y, et al.. Building extraction from high resolution remote sensing image using Gestalt [J]. Chin. J. Image Graphics, 2017, 22(8): 1162-1174. | |
| 32 | GÓMEZ-DÉNIZ E, SARABIA J M, CALDERín-OJEDA E. Bimodal normal distribution: extensions and applications [J/OL]. J. Compu. Appl. Mathematics, 2021, 388: 113292 [2022-08-09]. . |
| 33 | TOMASZ G, LAJOS H, PIOTR K. Tests of normality of functional data [J]. Int. Stat. Rev., 2020, 88(3): 677-697. |
| 34 | YANG C H. Application of remote sensing and precision agriculture technology in crop disease detection and management [J]. Engineering, 2020, 6(5): 102-112. |
| 35 | 刘建刚,赵春江,杨贵军,等.无人机遥感解析田间作物表型信息研究进展[J].农业工程学报,2016, 32(24): 98-106. |
| LIU J G, ZHAO C J, YANG G J, et al.. Research progress of UAV Remote Sensing Analysis of field crop phenotypic information [J]. J. Agric. Eng., 2016, 32(24): 98-106. | |
| 36 | 王正兴,刘闯, HUETE Alfredo. 植被指数研究进展:从AVHRR-NDVI到MODIS-EVI[J].生态学报, 2003, 23(5): 979-987. |
| WANG Z X, LIU C, HUETE A. Research progress of vegetation index: from AVHRR-NDVI to MODIS-EVI [J]. Ecol. Learned J., 2003, 23(5): 979-987. | |
| 37 | 赵静,杨焕波,兰玉彬,等.基于无人机可见光图像的夏季玉米植被覆盖度提取方法[J].农业机械学报, 2019, 50(5): 232-240. |
| ZHAO J, YANG H B, LAN Y B, et al.. Extraction method of summer maize vegetation coverage based on UAV visible light image [J]. J. Agric. Mach., 2019, 50(5): 232-240. | |
| 38 | 龙满生,何东健.玉米苗期杂草的计算机识别技术研究[J].农业工程学报, 2007, 23(7): 139-144. |
| LONG M S, HE D J. Computer identification of weeds in maize seedling [J]. J. Agric. Eng., 2007, 23(7): 139-144. | |
| 39 | 周涛,胡振琪,韩佳政,等.基于无人机可见光影像的绿色植被提取[J].中国环境科学, 2021, 41(5): 2380-2390. |
| ZHOU T, HU Z Q Han J Z, et al.. Green vegetation extraction based on UAV visible light image [J]. China Environ. Sci., 2021, 41(5): 2380-2390. | |
| 40 | 尹林江,周忠发,李韶慧,等.基于无人机可见光影像对喀斯特地区植被信息提取与覆盖度研究[J].草地学报, 2020, 28(6): 1664-1672. |
| YIN L J, ZHOU Z F, LI S H, et al.. Vegetation information extraction and coverage in Karst Area based on UAV visible light image [J]. Grassland Learned J., 2020, 28(6): 1664-1672. | |
| 41 | 李冰,刘镕源,刘素红,等.基于低空无人机遥感的冬小麦覆盖度变化监测[J].农业工程学报, 2012, 28(13): 160-165. |
| LI B, LIU R Y, LIU S H, et al.. Monitoring of winter wheat coverage change based on low altitude UAV Remote Sensing [J]. J. Agric. Eng., 2012, 28(13): 160-165. | |
| 42 | 田振坤,傅莺莺,刘素红,等.基于无人机低空遥感的农作物快速分类方法[J].农业工程学报, 2013, 29(7): 109-116. |
| TIAN Z K, FU Y Y, LIU S H, et al.. Rapid crop classification method based on UAV low altitude remote sensing [J]. J. Agric. Eng., 2013, 29(7): 109-116. |
| [1] | Zhenfei ZHANG, An YAN, Jing GUO, Yuhang ZHAO, Yilin YUAN, Peng LIU, Zuohao QU, Chuan YUAN. Research on Apple Yield Estimation Model Based on Unmanned Aerial Vehicle Remote Sensing [J]. Journal of Agricultural Science and Technology, 2025, 27(9): 110-119. |
| [2] | Mingjun JIANG, Yanmin FAN, Hongqi WU, Hao ZHANG, Zhuo LIU, Dejun WANG. Remote Sensing Inversion Study of Relative Chlorophyll Content in Processing Tomato Based on Machine Learning [J]. Journal of Agricultural Science and Technology, 2025, 27(8): 89-99. |
| [3] | ZHANG Guanhong, WANG Xinjun, XU Xiaolong, YAN Linan, CHANG Mengdi, LI Yongkang, . Desert Vegetation Classification Based on Object-oriented UAV Remote Sensing Images [J]. Journal of Agricultural Science and Technology, 2021, 23(5): 69-77. |
| Viewed | ||||||
|
Full text |
|
|||||
|
Abstract |
|
|||||
京公网安备11010802021197号