Journal of Agricultural Science and Technology ›› 2025, Vol. 27 ›› Issue (10): 84-94.DOI: 10.13304/j.nykjdb.2024.0747

• BIOTECHNOLOGY & LIFE SCIENCE • Previous Articles     Next Articles

Co-expression of SNF1 and MetK1 Promoted S-adenosine-L-methionine Synthesis in Saccharomyces cerevisiae

Hailong CHEN(), Jialiang DAI, Jing DENG, Xinxing GAO, Guanxing ZHU, Qingming HE, Nianqing ZHU   

  1. Jiansu Key Laboratory of Chiral Pharmaceuticals Biosynthesis,Taizhou University,Jiangsu Taizhou 225300,China
  • Received:2024-09-10 Accepted:2025-02-10 Online:2025-10-15 Published:2025-10-15

SNF1MetK1共表达促进酵母S-腺苷-L-甲硫氨酸合成

陈海龙(), 戴佳良, 邓晶, 高新星, 朱官兴, 何清明, 朱年青   

  1. 泰州学院,江苏手性医药化学品重点建设实验室,江苏 泰州 225300
  • 作者简介:陈海龙E-mail: xi_zhilang@ 126.com
  • 基金资助:
    江苏高校“青蓝工程”资助项目;江苏省高校重点实验室开放课题项目(SX1702);泰州市科技支撑计划农业发展项目(TN202415);泰州学院2023年度教育教学改革研究项目(2023JGB11)

Abstract:

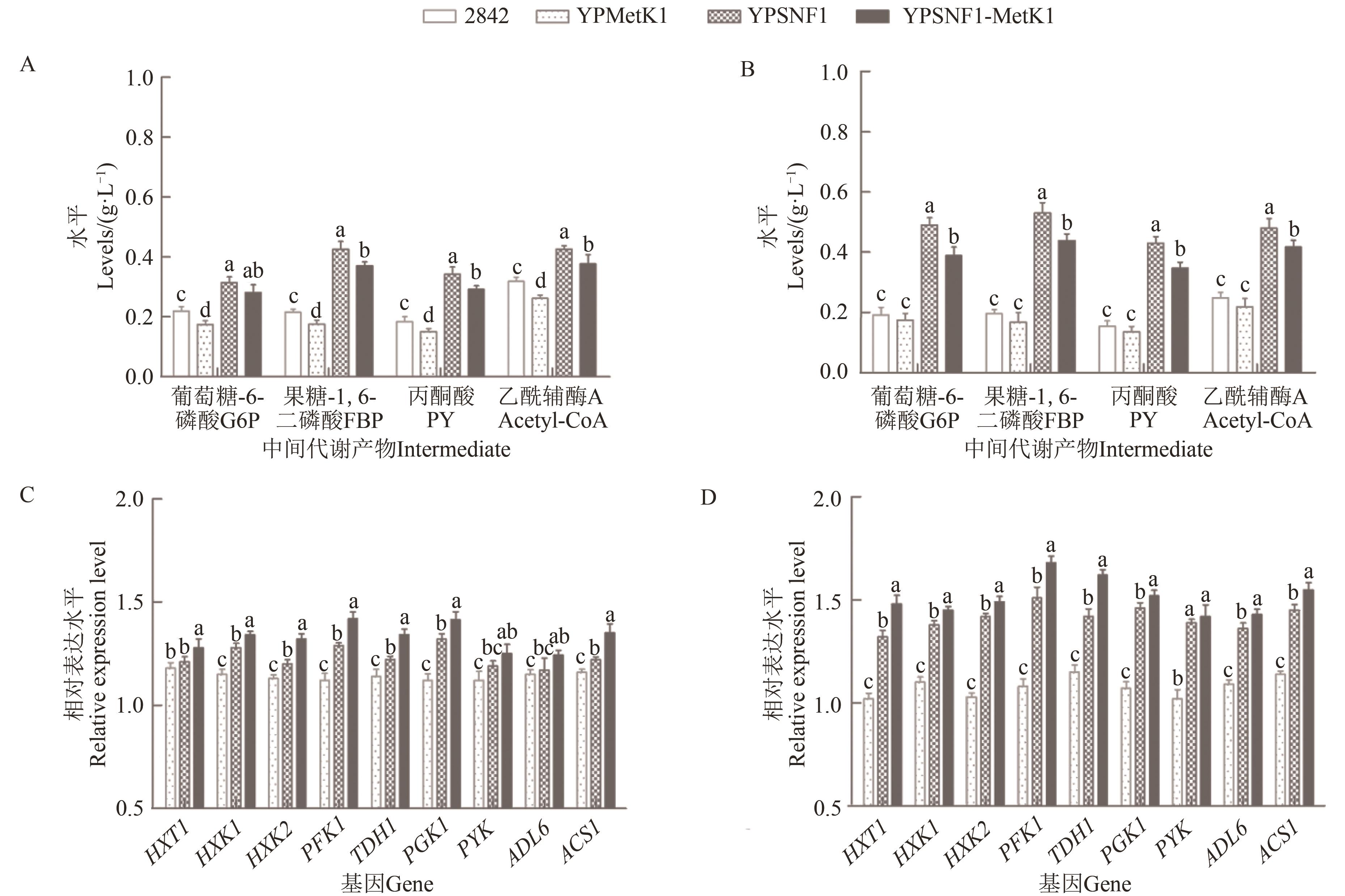
S-adenosyl-L-methionine (SAM) is an important bioactive molecule in all living organisms. Regulating the glucose effect of Saccharomyces cerevisiae and directing the carbon flux to SAM synthesis is a challenge for cell factory. The regulating glucose effect by overexpressing SNF1 and introducing SAM synthase gene MetK1 of Leishmania infantum were applied to improve SAM production in S. cerevisiae CGMCC 2842 (2842). The results showed that the overexpression of SNF1 enhanced the expression levels of genes involved in glucose transport and glycolysis, which improved the glucose utilization and then elevated the levels of glycolytic intermediates. The expression levels of ACS1 and ALD6 and the activity of alcohol dehydrogenase 2 (ADH2) were enhanced, which probably promoted the conversion of ethanol in fermentation broth into acetyl-CoA. The gene expressions involved in sulfur-containing amino acids were also enhanced for the precursor amino acid biosynthesis. Finally, the introduction of MetK1 of L. infantum effectively directed the carbon metabolism flux to SAM synthesis. The SAM production of the stain YPSNF1-MetK1 reached 1.90 g·L-1,increased by 251.85% compared to that of 2842. Above results laid theoretical foundation for the regulation and application of glucose effect in yeast.

Key words: Saccharomyces cerevisiae, glucose effect, S-adenosyl-L-methionine, SNF1, MetK1

摘要:

S-腺苷-L-甲硫氨酸(S-adenosyl-L-methionine,SAM)是生物体内重要的生理活性物质。通过调控酿酒酵母的葡萄糖效应而将碳通量定向到SAM合成是细胞工厂的挑战。以酿酒酵母CGMCC 2842(2842)为出发菌,过表达SNF1基因调控葡萄糖效应并引入利士曼原虫(Leishmania infantum)SAM合成酶基因MetK1。结果发现,SNF1过表达可提高糖酵解相关基因表达水平和葡萄糖利用率,进而改善糖酵解中间体水平;提高ACS1ALD6表达及乙醇脱氢酶2(alcoholdehy drogenase 2,ADH2)活性,可促进发酵液中的乙醇转化为乙酰辅酶A;还增强了SAM前体氨基酸及含硫氨基酸代谢相关基因表达水平。异源MetK1引入可有效定向碳代谢到SAM合成。重组菌YPSNF1-MetK1菌株的SAM产量达1.90 g·L-1,较出发菌株2842产量提高251.85%。以上研究结果为酵母葡萄糖效应调控及其应用奠定理论基础。

关键词: 酿酒酵母, 葡萄糖效应, S-腺苷甲硫氨酸, SNF1, MetK1

CLC Number: