Journal of Agricultural Science and Technology ›› 2025, Vol. 27 ›› Issue (2): 51-61.DOI: 10.13304/j.nykjdb.2023.0306
• BIOTECHNOLOGY & LIFE SCIENCE • Previous Articles Next Articles
Ningning WANG(), Xuemei LUO, Mingyuan CHEN, Rui GUO, Jianguo LIU(
)
Received:
2023-04-18
Accepted:
2023-07-11
Online:
2025-02-15
Published:
2025-02-14
Contact:
Jianguo LIU
通讯作者:
刘建国
作者简介:
王宁宁 E-mail:1483389320@qq.com;
基金资助:
CLC Number:
Ningning WANG, Xuemei LUO, Mingyuan CHEN, Rui GUO, Jianguo LIU. Effects of Exogenous Melatonin on Seed Germination and Seedling Growth of Cyperusesculentus L. Under Salt and Drought Stress[J]. Journal of Agricultural Science and Technology, 2025, 27(2): 51-61.
王宁宁, 罗雪梅, 陈明媛, 郭睿, 刘建国. 外源褪黑素对盐旱复合胁迫下油莎豆种子萌发和幼苗生长的影响[J]. 中国农业科技导报, 2025, 27(2): 51-61.
Add to citation manager EndNote|Ris|BibTeX
URL: https://nkdb.magtechjournal.com/EN/10.13304/j.nykjdb.2023.0306
处理 Treatment | 褪黑素含量 Melatonin content/( | 盐含量 Salt content/(mmol·L | PEG-6000含量 PEG-6000 content/% |
---|---|---|---|
CK | 0 | 0 | 0 |
S1 | 0 | 200 | 0 |
S2 | 50 | 200 | 0 |
S3 | 100 | 200 | 0 |
S4 | 150 | 200 | 0 |
S5 | 200 | 200 | 0 |
S6 | 250 | 200 | 0 |
D1 | 0 | 0 | 20 |
D2 | 50 | 0 | 20 |
D3 | 100 | 0 | 20 |
D4 | 150 | 0 | 20 |
D5 | 200 | 0 | 20 |
D6 | 250 | 0 | 20 |
SD1 | 0 | 200 | 20 |
SD2 | 50 | 200 | 20 |
SD3 | 100 | 200 | 20 |
SD4 | 150 | 200 | 20 |
SD5 | 200 | 200 | 20 |
SD6 | 250 | 200 | 20 |
Table 1 Exogenous melatonin and salt stress design
处理 Treatment | 褪黑素含量 Melatonin content/( | 盐含量 Salt content/(mmol·L | PEG-6000含量 PEG-6000 content/% |
---|---|---|---|
CK | 0 | 0 | 0 |
S1 | 0 | 200 | 0 |
S2 | 50 | 200 | 0 |
S3 | 100 | 200 | 0 |
S4 | 150 | 200 | 0 |
S5 | 200 | 200 | 0 |
S6 | 250 | 200 | 0 |
D1 | 0 | 0 | 20 |
D2 | 50 | 0 | 20 |
D3 | 100 | 0 | 20 |
D4 | 150 | 0 | 20 |
D5 | 200 | 0 | 20 |
D6 | 250 | 0 | 20 |
SD1 | 0 | 200 | 20 |
SD2 | 50 | 200 | 20 |
SD3 | 100 | 200 | 20 |
SD4 | 150 | 200 | 20 |
SD5 | 200 | 200 | 20 |
SD6 | 250 | 200 | 20 |
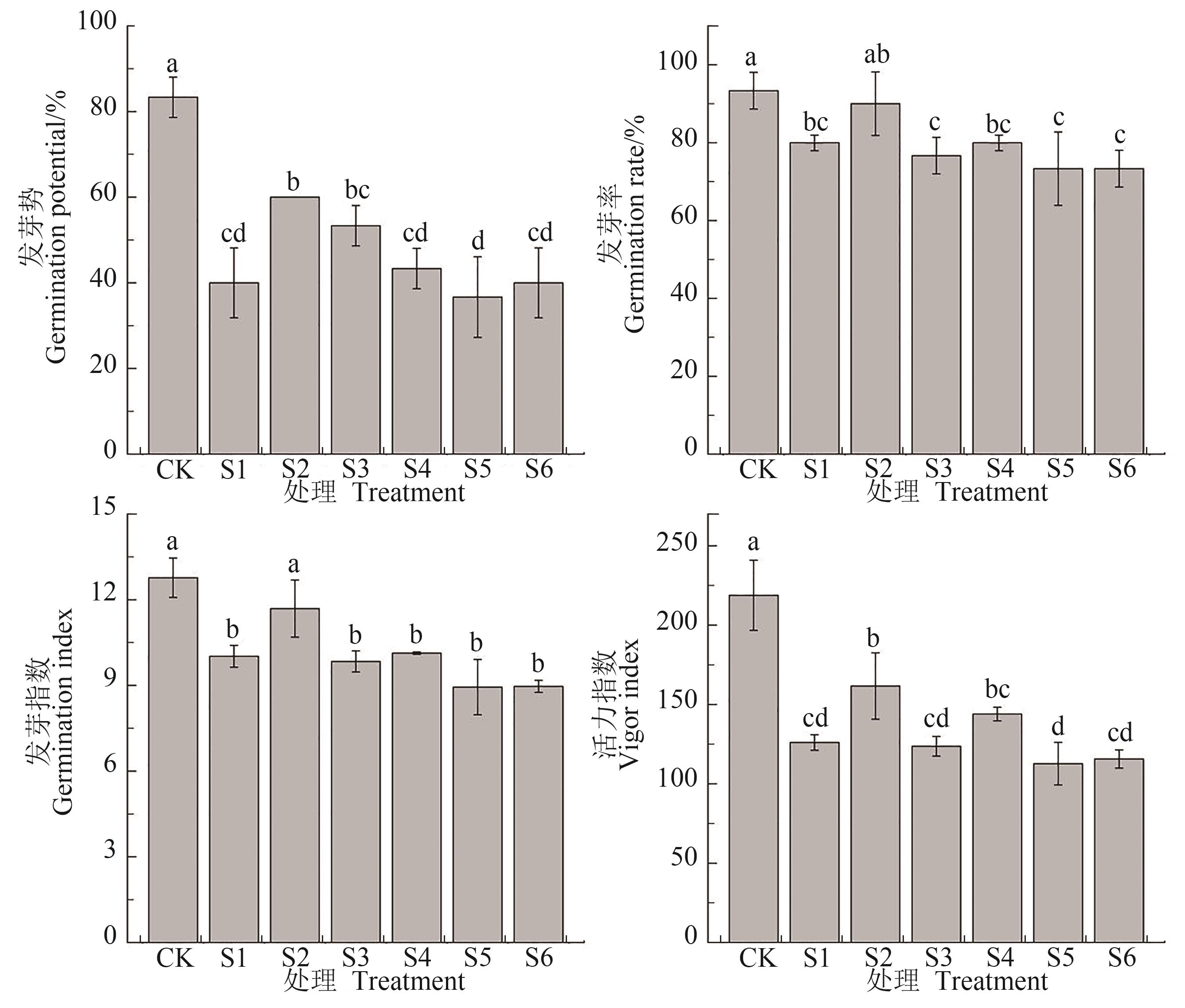
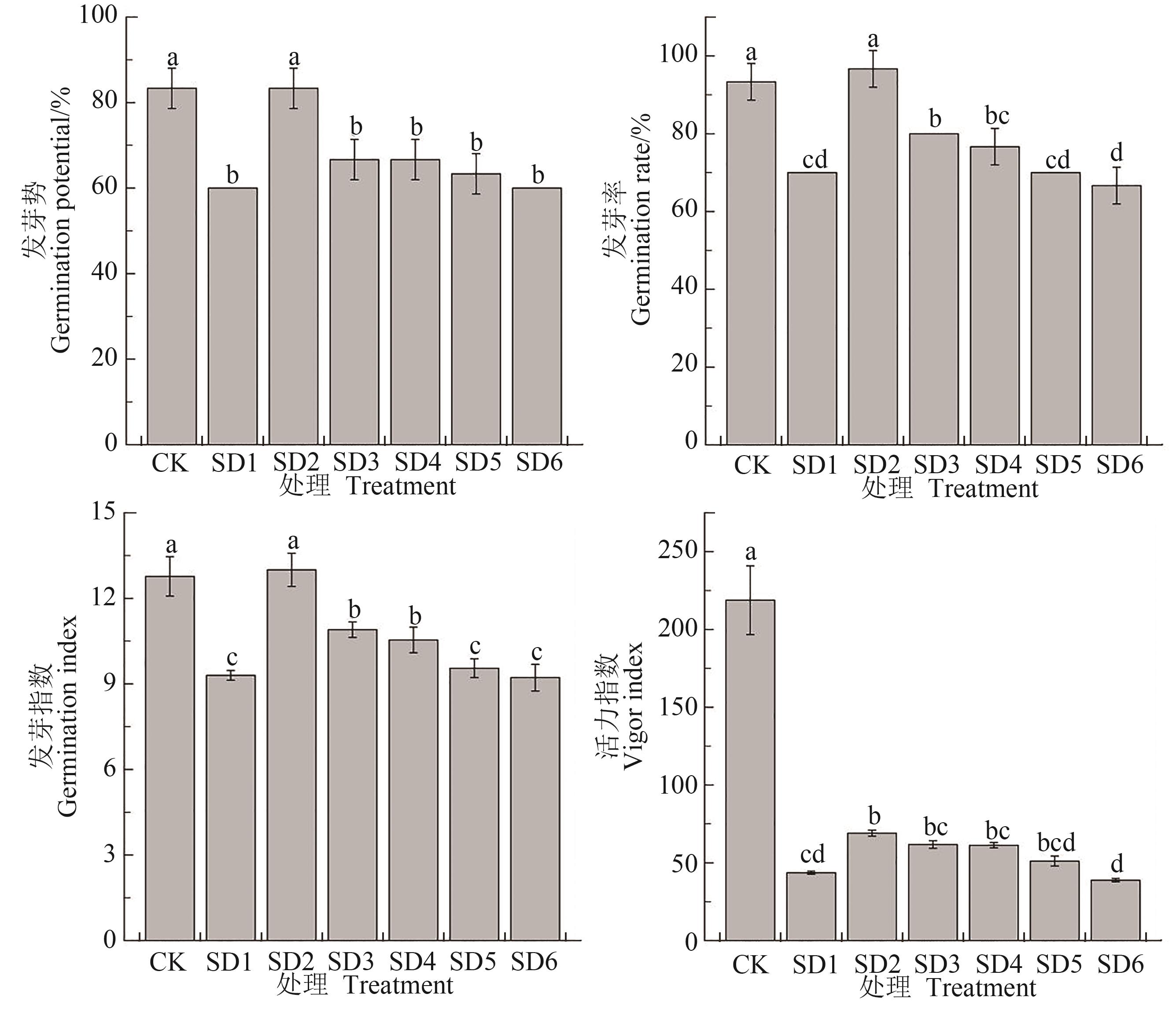
Fig. 1 Germination characteristics of C. esculentus seeds under different treatmentsNote: Different lowercase letters indicate significant differences between different treatments at P<0.05 level.
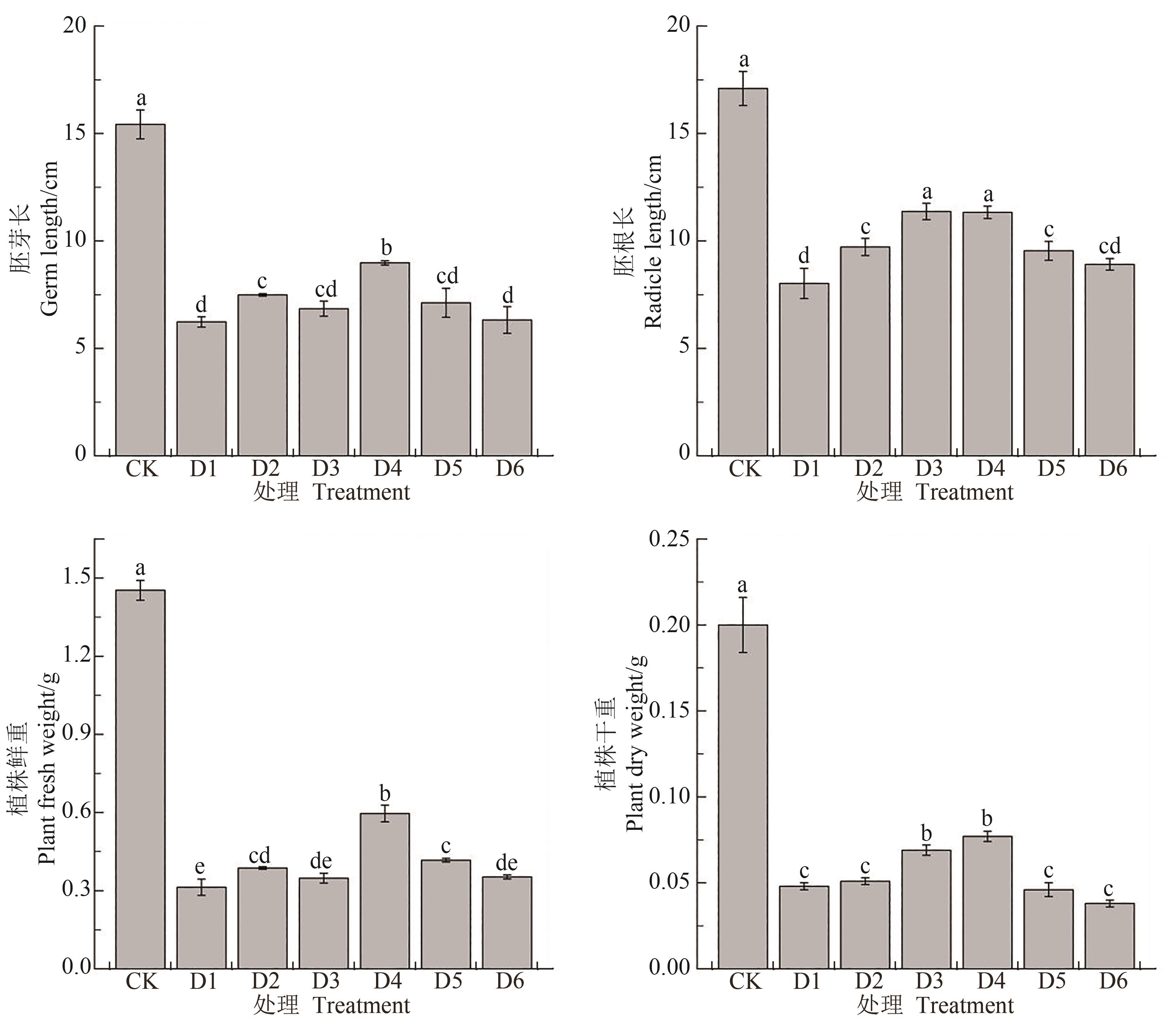
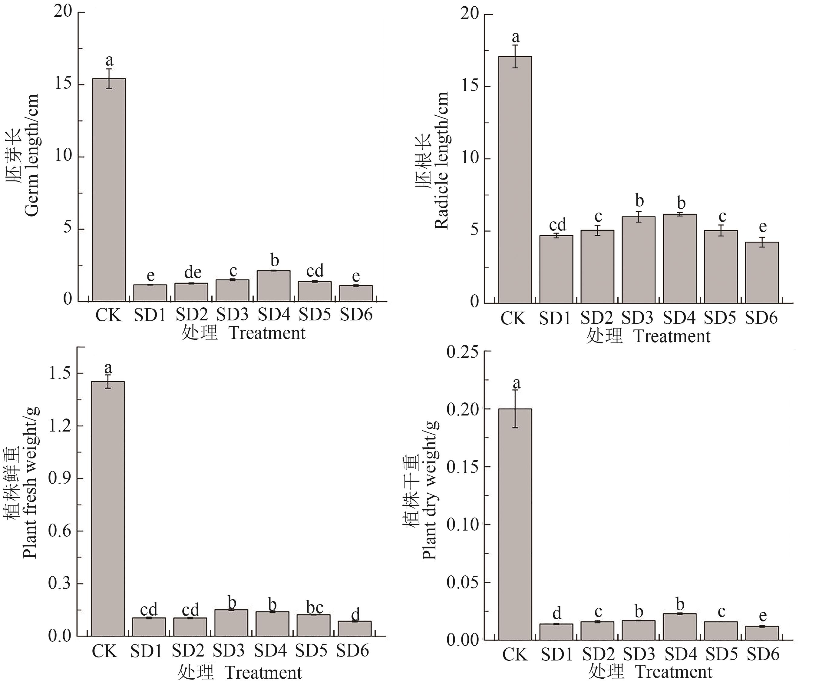
Fig. 2 Germ length, radicle length and plant dry and fresh weight of C. esculentus seedlings under different treatmentsNote: Different lowercase letters indicate significant differences between different treatments at P<0.05 level.
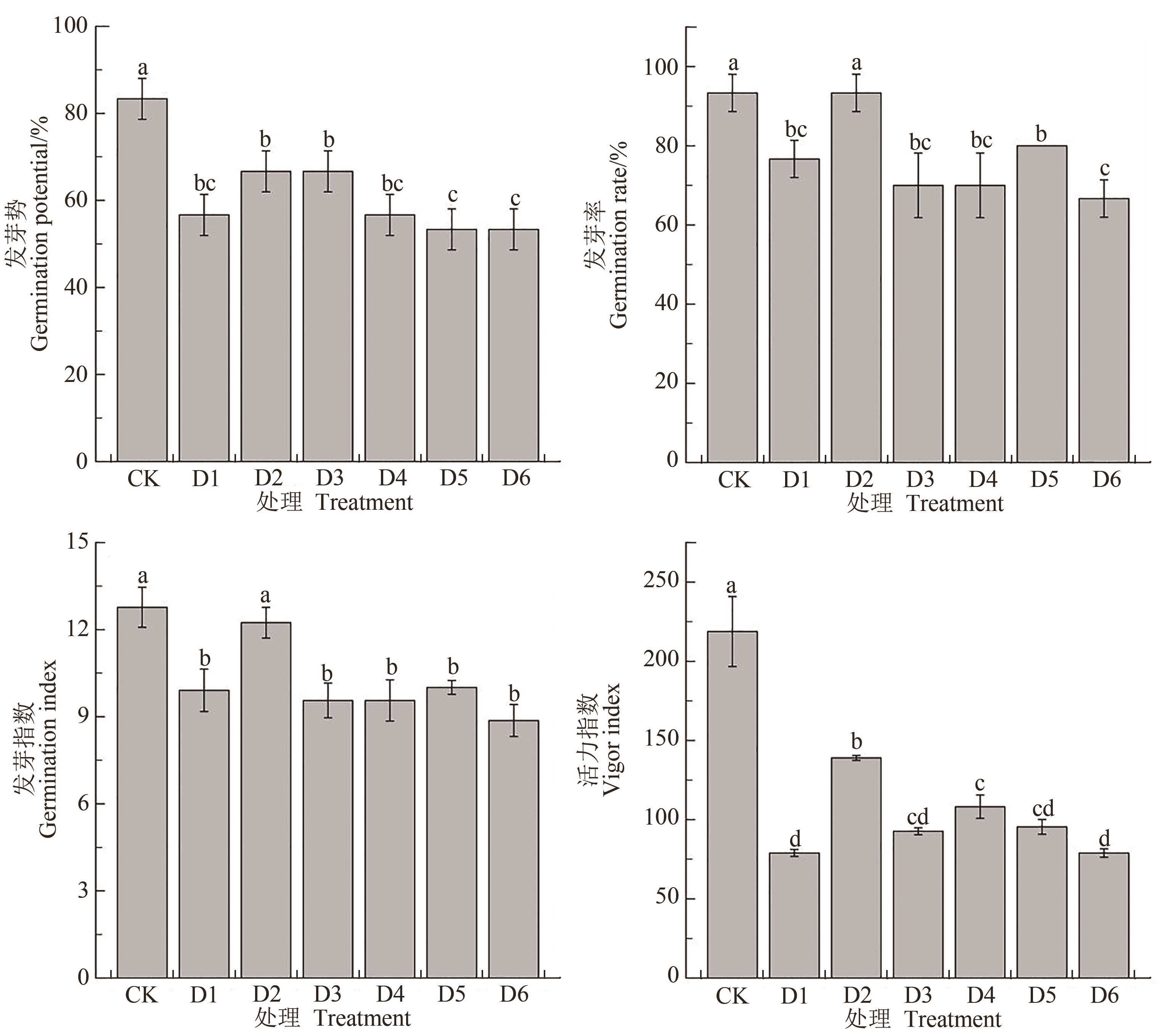
Fig. 3 Germination characteristics of C. esculentus seeds under different treatmentsNote: Different lowercase letters indicate significant differences between different treatments at P<0.05 level.
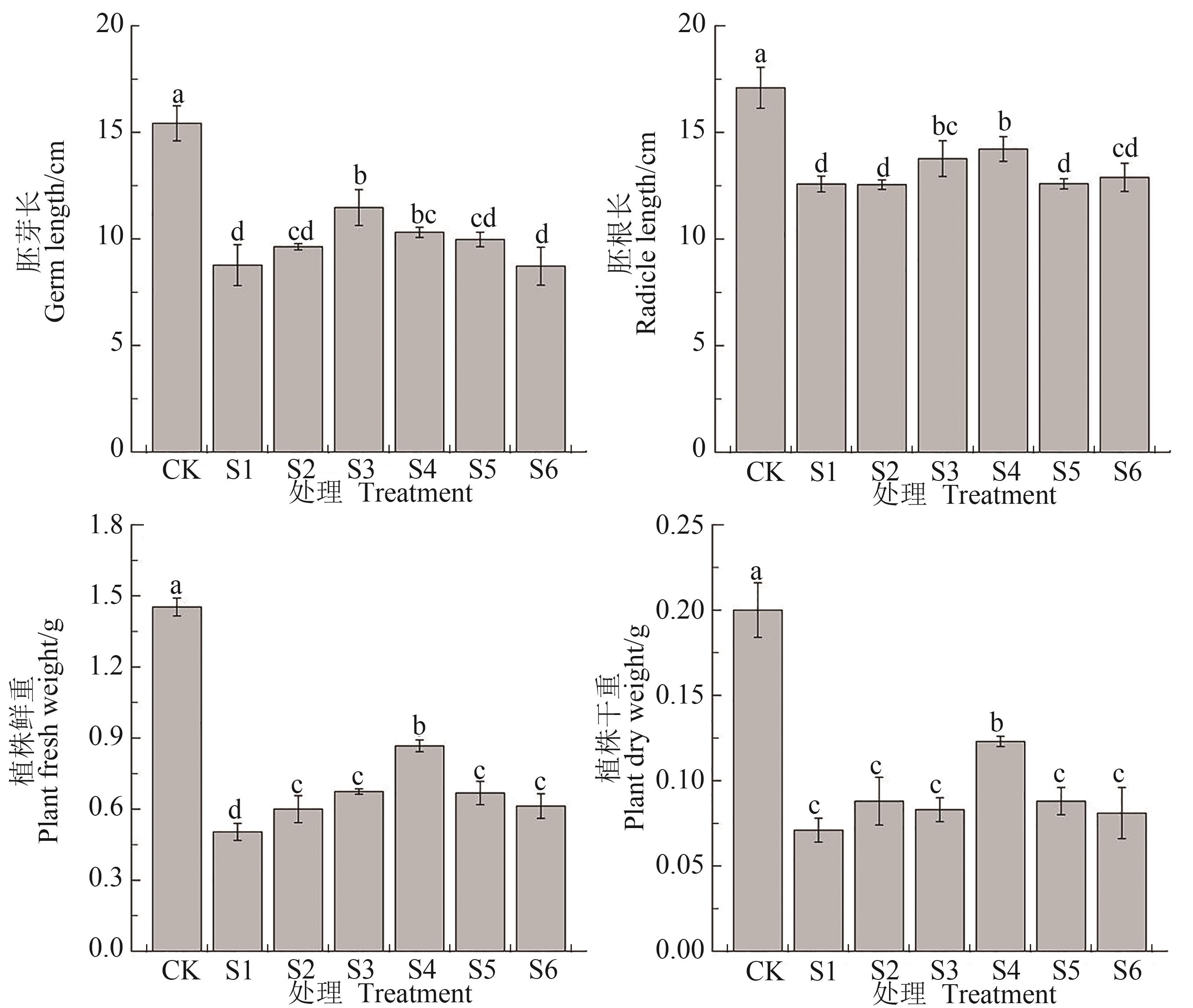
Fig. 4 Germ length, radicle length and plant dry and fresh weight of C. esculentus seedlings under different treatmentsNote: Different lowercase letters indicate significant differences between different treatments at P<0.05 level.
Fig. 5 Germination characteristics of C. esculentus seeds under different treatmentsNote: Different lowercase letters indicate significant differences between different treatments at P<0.05 level.
Fig. 6 Germ length, radicle length and plant dry and fresh weight of C. esculentus seedlings under different treatmentsNote: Different lowercase letters indicate significant differences between different treatments at P<0.05 level.
指标 Index | 盐胁迫+褪黑素S+MT | 旱胁迫+褪黑素D+MT | 盐旱胁迫+褪黑素SD+MT | ||||||
---|---|---|---|---|---|---|---|---|---|
平方和 Sum of squares | 占比 Proportion/% | F值 F value | 平方和 Sum of squares | 占比 Proportion/% | F值 F value | 平方和 Sum of squares | 占比 Proportion/% | F值 F value | |
发芽势 Germination energy | 1 983.33 | 49.88 | 8.19** | 3 600.00 | 27.48 | 14.87** | 1 633.33 | 22.63 | 40.48** |
发芽率 Germination rate | 1 341.67 | 58.57 | 5.54** | 1 908.33 | 41.18 | 7.88** | 8.33 | 0.26 | 0.20 |
发芽指数 Germination index | 299.12 | 47.88 | 90.09** | 309.95 | 46.21 | 93.35** | 38.22 | 5.90 | 69.07** |
活力指数 Vigor index | 11 286.45 | 74.01 | 17.26** | 46 105.51 | 18.12 | 70.50** | 4 907.01 | 7.88 | 45.02** |
胚芽长 Germ length | 364.28 | 32.26 | 238.73** | 763.10 | 67.58 | 500.09** | 1.86 | 0.17 | 7.31** |
胚根长 Radicle length | 225.29 | 24.68 | 137.15** | 686.54 | 75.21 | 417.92** | 1.05 | 0.12 | 3.82 |
植株鲜重 Plant fresh weight | 1.73 | 27.24 | 253.52** | 4.21 | 66.29 | 617.09** | 0.41 | 6.47 | 361.26** |
植株干重 Plant dry weight | 0.032 | 27.59 | 76.06** | 0.077 | 66.38 | 181.23** | 0.007 | 6.03 | 94.99** |
Table 2 ANOVA analysis of the effect of salt-drought cross-stress on the germination index of C. esculentus seeds under melatonin treatment
指标 Index | 盐胁迫+褪黑素S+MT | 旱胁迫+褪黑素D+MT | 盐旱胁迫+褪黑素SD+MT | ||||||
---|---|---|---|---|---|---|---|---|---|
平方和 Sum of squares | 占比 Proportion/% | F值 F value | 平方和 Sum of squares | 占比 Proportion/% | F值 F value | 平方和 Sum of squares | 占比 Proportion/% | F值 F value | |
发芽势 Germination energy | 1 983.33 | 49.88 | 8.19** | 3 600.00 | 27.48 | 14.87** | 1 633.33 | 22.63 | 40.48** |
发芽率 Germination rate | 1 341.67 | 58.57 | 5.54** | 1 908.33 | 41.18 | 7.88** | 8.33 | 0.26 | 0.20 |
发芽指数 Germination index | 299.12 | 47.88 | 90.09** | 309.95 | 46.21 | 93.35** | 38.22 | 5.90 | 69.07** |
活力指数 Vigor index | 11 286.45 | 74.01 | 17.26** | 46 105.51 | 18.12 | 70.50** | 4 907.01 | 7.88 | 45.02** |
胚芽长 Germ length | 364.28 | 32.26 | 238.73** | 763.10 | 67.58 | 500.09** | 1.86 | 0.17 | 7.31** |
胚根长 Radicle length | 225.29 | 24.68 | 137.15** | 686.54 | 75.21 | 417.92** | 1.05 | 0.12 | 3.82 |
植株鲜重 Plant fresh weight | 1.73 | 27.24 | 253.52** | 4.21 | 66.29 | 617.09** | 0.41 | 6.47 | 361.26** |
植株干重 Plant dry weight | 0.032 | 27.59 | 76.06** | 0.077 | 66.38 | 181.23** | 0.007 | 6.03 | 94.99** |
Fig. 7 Correlation analysis of of C. esculentus seeds and seedlings indexesNote: GP—Germination potential; GR—Germination rate; GI—Germination index; VI—Vitality index; GL—Long germ; RL—Radicle long; P-FW—Plant fresh weight; P-DW—Plan dry weight; *, ** and *** indicate significant correlations at P<0.05, P<0.01 and P<0.001 levels, respectively.
处理 Treatment | 因子得分 Factor score | 综合得分 Comprehensive score | 排名 Ranking | |||||||
---|---|---|---|---|---|---|---|---|---|---|
发芽势GP | 发芽率GR | 发芽指数GI | 活力指数VI | 胚芽长GL | 胚根长RL | 植株鲜重P-FW | 植株干重P-DW | |||
CK | 1.000 | 1.000 | 1.000 | 1.000 | 1.000 | 1.000 | 1.000 | 1.000 | 8.00 | 1 |
SD1 | 6.500 | 6.500 | 6.000 | 6.000 | 6.000 | 6.000 | 5.000 | 6.000 | 48.00 | 6 |
SD2 | 2.000 | 2.000 | 2.000 | 2.000 | 5.000 | 4.000 | 6.000 | 4.000 | 27.00 | 4 |
SD3 | 3.500 | 3.500 | 3.000 | 3.000 | 3.000 | 3.000 | 2.000 | 3.000 | 24.00 | 3 |
SD4 | 3.500 | 3.500 | 4.000 | 4.000 | 2.000 | 2.000 | 3.000 | 2.000 | 24.00 | 2 |
SD5 | 5.000 | 5.000 | 5.000 | 5.000 | 4.000 | 5.000 | 4.000 | 5.000 | 38.00 | 5 |
SD6 | 6.500 | 6.500 | 7.000 | 7.000 | 7.000 | 7.000 | 7.000 | 7.000 | 55.00 | 7 |
Table 3 Comprehensive score ranking of different melatonin treatments under salt and drought stress in C. esculentus
处理 Treatment | 因子得分 Factor score | 综合得分 Comprehensive score | 排名 Ranking | |||||||
---|---|---|---|---|---|---|---|---|---|---|
发芽势GP | 发芽率GR | 发芽指数GI | 活力指数VI | 胚芽长GL | 胚根长RL | 植株鲜重P-FW | 植株干重P-DW | |||
CK | 1.000 | 1.000 | 1.000 | 1.000 | 1.000 | 1.000 | 1.000 | 1.000 | 8.00 | 1 |
SD1 | 6.500 | 6.500 | 6.000 | 6.000 | 6.000 | 6.000 | 5.000 | 6.000 | 48.00 | 6 |
SD2 | 2.000 | 2.000 | 2.000 | 2.000 | 5.000 | 4.000 | 6.000 | 4.000 | 27.00 | 4 |
SD3 | 3.500 | 3.500 | 3.000 | 3.000 | 3.000 | 3.000 | 2.000 | 3.000 | 24.00 | 3 |
SD4 | 3.500 | 3.500 | 4.000 | 4.000 | 2.000 | 2.000 | 3.000 | 2.000 | 24.00 | 2 |
SD5 | 5.000 | 5.000 | 5.000 | 5.000 | 4.000 | 5.000 | 4.000 | 5.000 | 38.00 | 5 |
SD6 | 6.500 | 6.500 | 7.000 | 7.000 | 7.000 | 7.000 | 7.000 | 7.000 | 55.00 | 7 |
1 | 王瑞元,王晓松,相海,等.一种多用途的新兴油料作物——油莎豆[J].中国油脂,2019,44(1):1-4. |
2 | 阳振乐.油莎豆的特性及其研究进展[J].北方园艺,2017(17):192-201. |
YANG Z L. Characteristics and research progress of Cyperus esculent [J]. Northern Hortic., 2017(17):192-201. | |
3 | 张喜成,徐长春,宋佳,等.基于遥感DSI的新疆干旱特征分析[J].江苏农业科学,2020,48(2):239-246. |
4 | 朱生堡,乌尔古丽·托尔逊,唐光木,等.新疆盐碱地变化及其治理措施研究进展[J].山东农业科学,2023,55(3):158-165. |
ZHU S B, Tuoerxun Wuerguli, TANG G M, et al.. Research progress on saline-alkali land changes and its treatment measures in Xinjiang [J]. Shandong Agric. Sci., 2023, 55(3):158-165. | |
5 | 杨晓旭,李梦娣,刘大军,等.外源褪黑素对低温胁迫下菜豆种子萌发及抗性的影响[J].中国农学通报,2022,38(33):34-38. |
YANG X X, LI M D, LIU D J, et al.. Exogenous melatonin affects the germination and resistance ability of common bean seeds under chilling stress [J]. Chin. Agric. Sci. Bull., 2022, 38(33):34-38. | |
6 | 雷新慧,万晨茜,陶金才,等.褪黑素与2,4-表油菜素内酯浸种对盐胁迫下荞麦发芽与幼苗生长的促进效应[J].作物学报,2022,48(5):1210-1221. |
LEI X H, WAN C Q, TAO J C, et al.. Effects of soaking seeds with MT and EBR on germination and seedling growth in buckwheat under salt stress [J]. Acta Agron. Sin., 2022, 48(5):1210-1221. | |
7 | ZHANG N, ZHAO B, ZHANG H J, et al.. Melatonin promotes water-stress tolerance, lateral root formation, and seed germination in cucumber (Cucumis sativus L.). [J]. J. Pineal Res., 2013, 54(1):15-23. |
8 | 王明瑶,曹亮,于奇,等.褪黑素浸种对盐碱胁迫下大豆种子萌发的影响[J].作物杂志,2019(6):195-202. |
WANG M Y, CAO L, YU Q, et al.. Effects of melatonin soaking on germination of soybean seeds under saline-alkali stress [J]. Crops, 2019(6):195-202. | |
9 | 王志恒,杨秀柳,邹芳,等.旱盐交叉胁迫对甜高粱种子萌发和生理特性的影响[J].中国农业科技导报,2021,23(2):37-49. |
WANG Z H, YANG X L, ZOU F, et al.. Effects of salt and drought cross stress on germination and physiological characteristics of sweet sorghum seeds [J]. J. Agric. Sci. Technol., 2021, 23(2):37-49. | |
10 | 塔伊尔·买买提江,马亚丽,兰海燕,等.盐旱耦合胁迫对费尔干猪毛菜种子萌发及其幼苗生长的影响[J].干旱区研究,2019,36(4):878-885. |
Maimaitijiang Tayier, MA Y L, LAN H Y, et al.. Effects of salt coupled with drought stress on seed germination and seedling growth of Salsola ferganica [J]. Arid Zone Res., 2019, 36(4):878-885. | |
11 | 余如刚,杜雪玲,陈楚,等.PEG胁迫对三种豆科牧草种子萌发及幼苗生理影响[J].干旱地区农业研究,2012,30(5):99-103. |
YU R G, DU X L, CHEN C, et al.. Effect of PEG stress on seed germination and seeding physiology of three legumes [J]. Agric. Res. Arid Areas, 2012, 30(5):99-103. | |
12 | 张睿,封晓辉,吴玉洁,等.长穗偃麦草(Thinopyrum ponticum)幼苗对盐旱胁迫的生理响应[J].中国生态农业学报, 2022,30(11):1795-1806. |
ZHANG R, FENG X H, WU Y J, et al.. Interactive effects of drought and salt stresses on the growth and physiological characteristics of thinopyrum ponticum [J]. Chin. J. Eco-Agric., 2022, 30(11):1795-1806. | |
13 | 姚海梅,李永生,张同祯,等.旱-盐复合胁迫对玉米种子萌发和生理特性的影响[J].应用生态学报,2016,27(7):2301-2307. |
YAO H M, LI Y S, ZHANG T Z, et al.. Effects of combined drought and salinity stress on germination and physiological characteristics of maize (Zea mays) [J]. Chin. J. Appl. Ecol., 2016, 27(7):2301-2307. | |
14 | 梁龙飞,代胜,孙文涛,等.盐旱交互胁迫对多花黑麦草(Lolium multilorum)种子萌发及胚生长的影响[J].分子植物育种,2020,18(10):3410-3420. |
LIANG L F, DAI S, SUN W T, et al.. Effects of interactions between Ca2+-salt and drought stress on seed germination and embryo growth of Lolium multilorum [J]. Mol. Plant Breeding, 2020, 18(10):3410-3420. | |
15 | 聂必林,巫利梅,如马南木·尼合买提,等.外源褪黑素对复合盐碱胁迫下黑果枸杞种子萌发和幼苗生长的缓解效应[J]. 西北植物学报,2021,41(10):1711-1724. |
NIE B L, WU L M, Nihemaiti Rumananmu, et al.. Alleviating effects of exogenous melatonine on seed germination and seedling growth of Lycium ruthenicum under complex salt-alkali stress [J]. Acta Bot. Bor-Occid. Sin., 2021, 41(10):1711-1724. | |
16 | MENENDEZ-PELAEZ A, POEGGELER B, REITER R J, et al.. Nuclear localization of melatonin in different mammalian tissues: immunocytochemical and radioimmunoassay evidence [J]. J. Cellular Biochem., 1993, 53(4):373-382. |
17 | KOLODZIEJCZY K, IZABEL A, DZITK O, et al.. Exogenous melatonin expediently modifies proteome of maize (Zea mays L.) embryo during seed germination [J]. Acta Physiol. Plant, 2016, 38(6):1-18. |
18 | 赵丽娟,麻冬梅,王文静,等.外源褪黑素对盐胁迫下紫花苜蓿幼苗抗氧化能力以及光合作用效率的影响[J].西北植物学报,2021,41(8):1355-1363. |
ZHAO L J, MA D M, WANG W J, et al.. Effect of exogenous melatonin on antioxidant capacity and photosynthetic efficiency of alfalfa seedling under salt stress [J]. Acta Bot. Bor-Occid. Sin., 2021, 41(8):1355-1363. | |
19 | 董秋丽,王聪聪,郑川,等.褪黑素引发对达乌里胡枝子种子干旱萌发的影响[J].中国草地学报,2022,44(7):114-120. |
DONG Q L, WANG C C, ZHEN C, et al.. Effects of melatonin priming on germination of Lespedezad avurica seeds under drought stress [J]. Chin. J. Grass., 2022, 44(7):114-120. | |
20 | 李平平,张永清,张萌,等.褪黑素浸种对混合盐碱胁迫下藜麦生长及生理的影响[J].江苏农业学,2023,51(4):77-84. |
21 | 陈贤,杨勇,刘凤权,等.植物褪黑素的研究进展[J].江苏农业科学,2020,48(24):17-24. |
22 | 李平,谢淑芹,方璐斌,等.干旱胁迫下不同褪黑素浓度处理下谷子种子萌发特性[J].山西农业大学学报(自然科学版),2022,42(5):76-83. |
LI P, XIE S Q, FANG L B, et al.. Research on the impacts of melatonin at different concentrations on the germination of foxtail millet seeds under drought-stress conditions [J]. J. Shanxi Agric. Univ. (Nat. Sci.), 2022, 42(5):76-83. | |
23 | 赵燕,王东华,赵曦阳,等.植物中褪黑素的研究进展[J].西北植物学报,2014,34(1):196-205. |
ZHAO Y, WANG D H, ZHAO X Y, et al.. Recent advance on the melatonin in plant [J]. Acta Bot. Bor-Occid. Sin., 2014, 34(1):196-205. | |
24 | 李波,郝瑞婷,孙晶,等.植物褪黑素研究进展及未来展望[J].运城学院学报,2021,39(6):1-12. |
LI B, HAO R T, SUN J, et al.. Research progress and future prospects of plant melatonin [J]. J. Yuncheng Univ., 2021, 39(6):1-12. | |
25 | 张珂,李依,厉萌萌,等.外源褪黑素对镉胁迫下小麦幼苗生长生理特征及镉含量的影响[J].轻工学报,2022,37(4):111-117. |
ZHANG K, LI Y, LI M M, et al.. Effects of exogenous melatonin on growth and physiological characteristics and Cd content of wheat seedling under Cd stresses [J]. J. Light Ind., 2022, 37(4):111-117. | |
26 | LYU Y, PAN J J, WANG H P, et al.. Melatonin inhibits seed germination by crosstalk with abscisic acid, gibberellin, and auxin in Arabidopsis [J/OL]. J. Pineal Res., 2021, 70(4): e12736 [2023-03-15]. . |
27 | REITER R J, MAYO J C, TAN D X, et al.. Melatonin as an antioxidant: under promises but over delivers [J]. J. Pineal Res., 2016, 61(3):253-278. |
[1] | Yixin CHEN, Xiubo YANG, Shijun TIAN, Cong WANG, Zhiying BAI, Cundong LI, Ke ZHANG. Response of GhCOMT28 to Drought Stress in Gossypium hirsutum [J]. Journal of Agricultural Science and Technology, 2025, 27(4): 45-56. |
[2] | Qianya WEI, Xinqi LIN, Lamei LIANG, Zhongwei QIN, Yingzhi LI. Effects of Melatonin on Seed Germination and Seedling Growth of Chaotian Pepper Under Drought Stress [J]. Journal of Agricultural Science and Technology, 2024, 26(4): 46-57. |
[3] | Yuan HE, Xiaotong GU, Liqing FENG, Huijun DUAN, Yongsheng TAO. Screening and Evaluation of Drought Resistance Index for Maize Hybrids During Seedling and Germination Stages [J]. Journal of Agricultural Science and Technology, 2024, 26(10): 30-40. |
[4] | Lili SHAN. Effects of Low Temperature During Booting Stage on Rice Physiology and Alleviating Effect of Exogenous Melatonin [J]. Journal of Agricultural Science and Technology, 2023, 25(9): 23-33. |
[5] | Ying ZHOU, Jingyong LI, Linxiu DAI, Dicai AO, Ziyi LI, Fan YANG, Junwei GU, Qiang XU, Zhi DOU, Hui GAO. Effect of Melatonin Spraying on Rice Yield Formation and Lodging Resistance Under Rice-Crayfish Coculture Mode [J]. Journal of Agricultural Science and Technology, 2023, 25(9): 34-42. |
[6] | Xin PENG, Can FENG, Xiang MA, Hong LI, Yanqiong TANG, Juanjuan LI, Zhu LIU. Screening of Acidic Protease Producing Strains and Its Application in Seed Germination [J]. Journal of Agricultural Science and Technology, 2022, 24(9): 88-95. |
[7] | ZHANG Shengzhen, MA Yanzhi. Effects of CaCl2 on Seed Germination and Seedling Physiological Characteristics of Schizonepeta tenuifolia Briq. under Salt Stress [J]. Journal of Agricultural Science and Technology, 2021, 23(7): 65-71. |
[8] | WANG Zhiheng, YANG Xiuliu, ZOU Fang, HUANG Siqi, ZHOU Wuyan, XU Zhongwei, WEI Yuqing*. Effects of Salt and Drought Cross Stress on Germination and Physiological Characteristics of Sweet Sorghum Seeds [J]. Journal of Agricultural Science and Technology, 2021, 23(2): 37-49. |
[9] | WANG Zhiheng, HUANG Siqi, ZOU Fang, YANG Xiuliu, WEI Yuqing*. Effects of Temperature and NaCl on Seed Germination and Seedling Antioxidant Enzyme Activities of Sweet Sorghum [J]. Journal of Agricultural Science and Technology, 2020, 22(9): 42-51. |
[10] | ZHANG Jiawen, LU Shaohao, ZHAO Zhe, ZHAO Mingqin*. Influences of Exogenous Melatonin on Physiological Properties of Tobacco Seedlings Under Low Temperature Stress [J]. Journal of Agricultural Science and Technology, 2020, 22(9): 78-86. |
[11] | YANG Ying1, WANG Yuelin2, YAN Jingqiuzi1, LI Gangtie1*. Effects of Salt Stress on Seed Germination and Seedling Physiological Characteristics of Hemiptelea davidii [J]. Journal of Agricultural Science and Technology, 2020, 22(4): 53-60. |
[12] | HE Jiahao1, CHEN Jianzhong2, XU Jianqiang3, XIANG Jinyou4, YANG Yide4, ZHANG Xuewei5, NING Shanghui3, WANG Lin6, LIU Yuan7, YANG Yang4, JING Yanqiu1*, CHENG Yuyuan7*. Effects of Exogenous Melatonin on Physiological Mechanism of Drought Resistance of Tobacco Seedlings [J]. Journal of Agricultural Science and Technology, 2020, 22(2): 50-57. |
[13] | YAN Jingqiuzi1, LI Gangtie1*, WANG Yuelin2, MA Yunxia1, YANG Ying1. Effects of Salt Stress on Seed Germination and Seedling Physiological Characteristics of Morus mongolica [J]. Journal of Agricultural Science and Technology, 2020, 22(1): 28-37. |
[14] | LI Penghui1§, XIANG Jinyou2§, WANG Lin3, XU Jianqiang4, LI Changjun5, LEI Qiang6, YANG Yide2, ZHANG Xuewei7, LI Huaiqi8, ZHANG Qiming9, JING Yanqiu1*, XIONG Bin3*. Effects of Exogenous Melatonin on Physiological Characteristics of Tobacco Seedlings Under Drought Stress [J]. Journal of Agricultural Science and Technology, 2019, 21(5): 41-48. |
[15] | WANG Rui, ZHENG Weidong, LIU Duanmei, LIANG Li. Study on the Seed Germination and Seedling Growth Characteristics of Different Genotype Rapeseed Varieties [J]. Journal of Agricultural Science and Technology, 2019, 21(4): 25-34. |
Viewed | ||||||
Full text |
|
|||||
Abstract |
|
|||||