Journal of Agricultural Science and Technology ›› 2024, Vol. 26 ›› Issue (10): 145-157.DOI: 10.13304/j.nykjdb.2023.0163
• INTELLIGENT AGRICULTURE & AGRICULTURAL MACHINERY • Previous Articles Next Articles
Tianjun TANG1(), Yang CHEN1(
), Jun HU2, Haotian JIANG2
Received:
2023-03-06
Accepted:
2023-08-01
Online:
2024-10-15
Published:
2024-10-18
Contact:
Yang CHEN
通讯作者:
陈洋
作者简介:
唐天君E-mail: 453389814@qq.com;
基金资助:
CLC Number:
Tianjun TANG, Yang CHEN, Jun HU, Haotian JIANG. Research on Tobacco Precise Recognition Method Based on UAV Image Data[J]. Journal of Agricultural Science and Technology, 2024, 26(10): 145-157.
唐天君, 陈洋, 胡军, 江浩田. 基于无人机影像数据的烟草精准识别方法研究[J]. 中国农业科技导报, 2024, 26(10): 145-157.
Add to citation manager EndNote|Ris|BibTeX
URL: https://nkdb.magtechjournal.com/EN/10.13304/j.nykjdb.2023.0163
样方 Quadrat | 地物 Surface feature | DNR | DNG | DNB | |||
---|---|---|---|---|---|---|---|
平均Mean | 标准差SD | 平均Mean | 标准差SD | 平均Mean | 标准差SD | ||
1 | 烟草Tobacco | 141.47 | 15.17 | 201.85 | 13.65 | 135.54 | 17.77 |
裸土Soil | 142.04 | 18.75 | 141.77 | 18.64 | 120.92 | 18.13 | |
杂草Weeds | 106.42 | 17.48 | 143.78 | 17.11 | 82.99 | 16.28 | |
2 | 烟草Tobacco | 140.22 | 17.60 | 203.82 | 17.10 | 127.34 | 18.62 |
裸土Soil | 190.36 | 26.42 | 191.03 | 26.75 | 130.91 | 25.46 | |
杂草Weeds | 83.99 | 22.12 | 146.08 | 23.35 | 72.54 | 18.81 | |
3 | 烟草Tobacco | 140.83 | 20.34 | 202.25 | 19.60 | 130.18 | 19.83 |
裸土Soil | 194.22 | 41.62 | 192.49 | 42.83 | 171.92 | 46.33 | |
杂草Weeds | 114.37 | 28.55 | 150.73 | 30.38 | 96.27 | 22.84 | |
4 | 烟草Tobacco | 142.74 | 17.88 | 208.72 | 17.90 | 126.81 | 17.15 |
裸土Soil | 166.65 | 50.38 | 163.45 | 49.52 | 141.90 | 48.21 | |
杂草Weeds | 78.63 | 24.80 | 130.89 | 24.96 | 64.52 | 19.29 |
Table 1 Pixel characteristics of main ground features in different plots in the red, green, and blue bands
样方 Quadrat | 地物 Surface feature | DNR | DNG | DNB | |||
---|---|---|---|---|---|---|---|
平均Mean | 标准差SD | 平均Mean | 标准差SD | 平均Mean | 标准差SD | ||
1 | 烟草Tobacco | 141.47 | 15.17 | 201.85 | 13.65 | 135.54 | 17.77 |
裸土Soil | 142.04 | 18.75 | 141.77 | 18.64 | 120.92 | 18.13 | |
杂草Weeds | 106.42 | 17.48 | 143.78 | 17.11 | 82.99 | 16.28 | |
2 | 烟草Tobacco | 140.22 | 17.60 | 203.82 | 17.10 | 127.34 | 18.62 |
裸土Soil | 190.36 | 26.42 | 191.03 | 26.75 | 130.91 | 25.46 | |
杂草Weeds | 83.99 | 22.12 | 146.08 | 23.35 | 72.54 | 18.81 | |
3 | 烟草Tobacco | 140.83 | 20.34 | 202.25 | 19.60 | 130.18 | 19.83 |
裸土Soil | 194.22 | 41.62 | 192.49 | 42.83 | 171.92 | 46.33 | |
杂草Weeds | 114.37 | 28.55 | 150.73 | 30.38 | 96.27 | 22.84 | |
4 | 烟草Tobacco | 142.74 | 17.88 | 208.72 | 17.90 | 126.81 | 17.15 |
裸土Soil | 166.65 | 50.38 | 163.45 | 49.52 | 141.90 | 48.21 | |
杂草Weeds | 78.63 | 24.80 | 130.89 | 24.96 | 64.52 | 19.29 |
地物 Surface feature | DNR | DNG | DNB | |||
---|---|---|---|---|---|---|
平均Mean | 标准差SD | 平均Mean | 标准差SD | 平均Mean | 标准差SD | |
烟草Tobacco | 134.14 | 18.77 | 200.86 | 18.32 | 144.00 | 18.41 |
杂草Weeds | 71.77 | 14.21 | 136.36 | 19.40 | 81.00 | 20.33 |
Table 2 Comprehensive pixel characteristics of tobacco and weeds
地物 Surface feature | DNR | DNG | DNB | |||
---|---|---|---|---|---|---|
平均Mean | 标准差SD | 平均Mean | 标准差SD | 平均Mean | 标准差SD | |
烟草Tobacco | 134.14 | 18.77 | 200.86 | 18.32 | 144.00 | 18.41 |
杂草Weeds | 71.77 | 14.21 | 136.36 | 19.40 | 81.00 | 20.33 |
样方Quadrat | 颜色指数Colour index | 杂草Weeds | 烟草Tobcco | ||
---|---|---|---|---|---|
平均Mean | 标准差SD | 平均Mean | 标准差SD | ||
1 | CRDVI | 0.62 | 0.13 | 0.93 | 0.04 |
VDVI | 0.42 | 0.08 | 0.41 | 0.05 | |
ExG | 0.55 | 0.07 | 0.75 | 0.06 | |
MGRVI | 0.51 | 0.07 | 0.57 | 0.04 | |
2 | CRDVI | 0.46 | 0.06 | 0.61 | 0.03 |
VDVI | 0.65 | 0.03 | 0.60 | 0.01 | |
ExG | 0.70 | 0.04 | 0.81 | 0.02 | |
MGRVI | 0.75 | 0.04 | 0.67 | 0.02 | |
3 | CRDVI | 0.61 | 0.14 | 0.88 | 0.07 |
VDVI | 0.22 | 0.06 | 0.25 | 0.03 | |
ExG | 0.55 | 0.15 | 0.82 | 0.05 | |
MGRVI | 0.37 | 0.09 | 0.44 | 0.04 | |
4 | CRDVI | 0.55 | 0.11 | 0.91 | 0.06 |
VDVI | 0.31 | 0.06 | 0.21 | 0.02 | |
ExG | 0.64 | 0.06 | 0.79 | 0.06 | |
MGRVI | 0.53 | 0.09 | 0.49 | 0.03 |
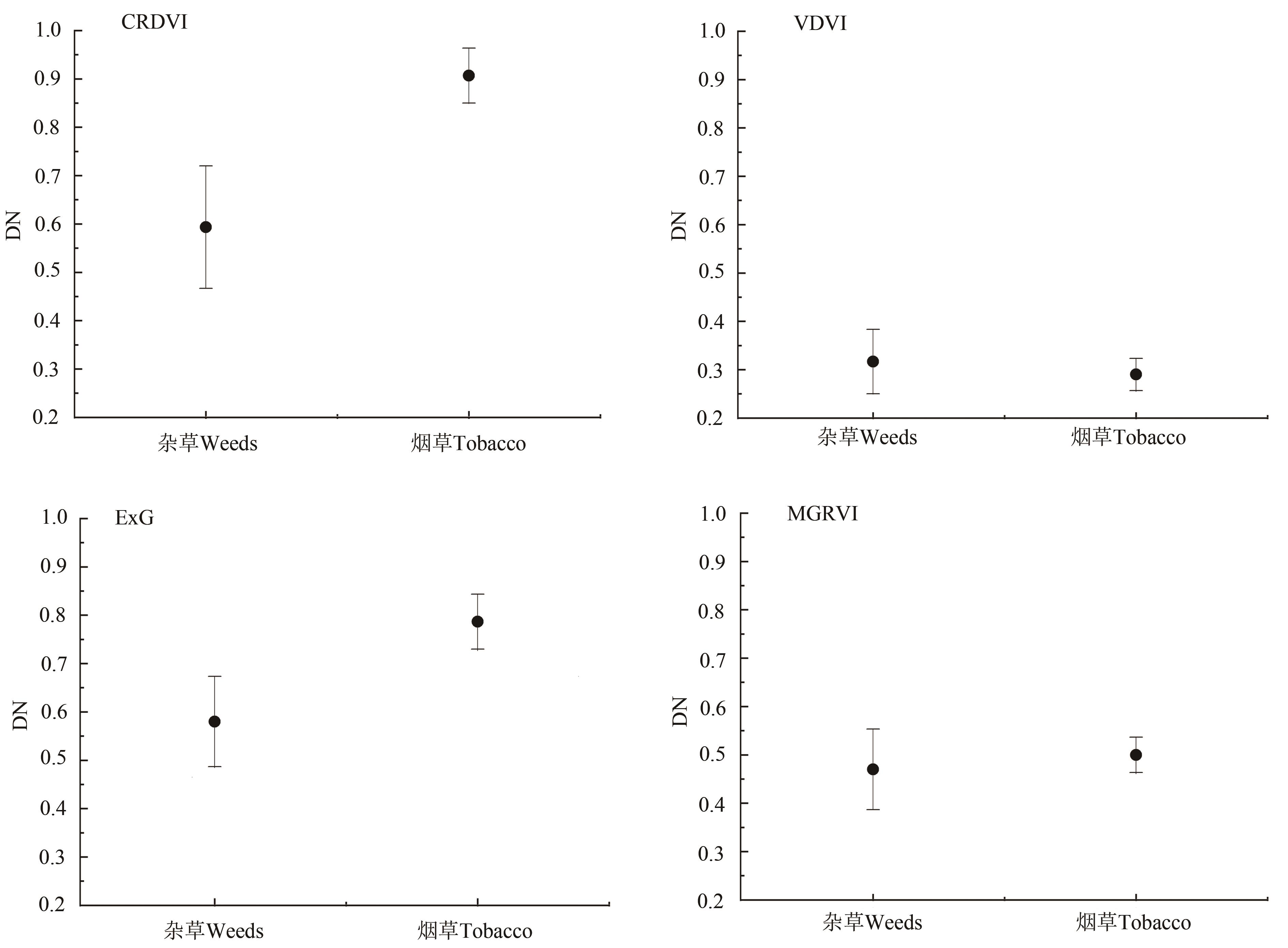
Table 3 Surface pixel characteristics under different vegetation indices
样方Quadrat | 颜色指数Colour index | 杂草Weeds | 烟草Tobcco | ||
---|---|---|---|---|---|
平均Mean | 标准差SD | 平均Mean | 标准差SD | ||
1 | CRDVI | 0.62 | 0.13 | 0.93 | 0.04 |
VDVI | 0.42 | 0.08 | 0.41 | 0.05 | |
ExG | 0.55 | 0.07 | 0.75 | 0.06 | |
MGRVI | 0.51 | 0.07 | 0.57 | 0.04 | |
2 | CRDVI | 0.46 | 0.06 | 0.61 | 0.03 |
VDVI | 0.65 | 0.03 | 0.60 | 0.01 | |
ExG | 0.70 | 0.04 | 0.81 | 0.02 | |
MGRVI | 0.75 | 0.04 | 0.67 | 0.02 | |
3 | CRDVI | 0.61 | 0.14 | 0.88 | 0.07 |
VDVI | 0.22 | 0.06 | 0.25 | 0.03 | |
ExG | 0.55 | 0.15 | 0.82 | 0.05 | |
MGRVI | 0.37 | 0.09 | 0.44 | 0.04 | |
4 | CRDVI | 0.55 | 0.11 | 0.91 | 0.06 |
VDVI | 0.31 | 0.06 | 0.21 | 0.02 | |
ExG | 0.64 | 0.06 | 0.79 | 0.06 | |
MGRVI | 0.53 | 0.09 | 0.49 | 0.03 |
指数Index | 样方1 Quadrat 1 | 样方2 Quadrat 2 | 样方3 Quadrat 3 | 样方4 Quadrat 4 |
---|---|---|---|---|
CRDVI | [0.72,1] | [0.55,1] | [0.75,1] | [0.76,1] |
ExG | [0.53,1] | [0.70,1] | [0.38,1] | [0.69,1] |
Table 4 Tobacco segmentation threshold range of individual vegetation indices based on OTSU
指数Index | 样方1 Quadrat 1 | 样方2 Quadrat 2 | 样方3 Quadrat 3 | 样方4 Quadrat 4 |
---|---|---|---|---|
CRDVI | [0.72,1] | [0.55,1] | [0.75,1] | [0.76,1] |
ExG | [0.53,1] | [0.70,1] | [0.38,1] | [0.69,1] |
样方Quadrat | 方法Method | 真实株数/TN | 漏识别/FN | 错误识别/FP | 正确识别/TP | 分支因子 BF | 检测率 DP/% | 完整性 QP/% |
---|---|---|---|---|---|---|---|---|
1 | CRVDI | 103 | 2 | 9 | 94 | 0.09 | 97.91 | 89.52 |
ExG | 103 | 3 | 11 | 93 | 0.11 | 96.87 | 86.92 | |
2 | CRVDI | 95 | 1 | 2 | 94 | 0.02 | 98.95 | 96.91 |
ExG | 95 | 0 | 14 | 87 | 0.16 | 86.13 | 86.13 | |
3 | CRVDI | 102 | 1 | 10 | 101 | 0.09 | 99.02 | 90.18 |
ExG | 102 | 2 | 13 | 94 | 0.13 | 97.92 | 86.24 | |
4 | CRVDI | 113 | 1 | 2 | 113 | 0.01 | 99.12 | 97.41 |
ExG | 113 | 4 | 3 | 106 | 0.02 | 96.36 | 93.81 |
Table 5 Evaluation of identification accuracy of various vegetation indices
样方Quadrat | 方法Method | 真实株数/TN | 漏识别/FN | 错误识别/FP | 正确识别/TP | 分支因子 BF | 检测率 DP/% | 完整性 QP/% |
---|---|---|---|---|---|---|---|---|
1 | CRVDI | 103 | 2 | 9 | 94 | 0.09 | 97.91 | 89.52 |
ExG | 103 | 3 | 11 | 93 | 0.11 | 96.87 | 86.92 | |
2 | CRVDI | 95 | 1 | 2 | 94 | 0.02 | 98.95 | 96.91 |
ExG | 95 | 0 | 14 | 87 | 0.16 | 86.13 | 86.13 | |
3 | CRVDI | 102 | 1 | 10 | 101 | 0.09 | 99.02 | 90.18 |
ExG | 102 | 2 | 13 | 94 | 0.13 | 97.92 | 86.24 | |
4 | CRVDI | 113 | 1 | 2 | 113 | 0.01 | 99.12 | 97.41 |
ExG | 113 | 4 | 3 | 106 | 0.02 | 96.36 | 93.81 |
1 | 尹林江. 喀斯特山地作物超低空遥感特征构建与识别研究[D].贵阳:贵州师范大学,2021. |
YIN L J. Study on the construction and recognition of crop ultra lowaltitude remote sensing features in karst mountain area—take pitaya as an example [D]. Guiyang: Guizhou Normal University,2021. | |
2 | 邱小雷,张羽,张小虎,等.从植保无人机经验探析我国精确农业发展路径[J].江苏农业科学, 2019, 47(16):30-33. |
QIU X L, ZHANG Y, ZHANG X H, et al.. Exploring the development path of precision ariculture in China from the experience of plant protection drones [J]. Jiangsu Agric. Sci., 2019, 47(16):30-33. | |
3 | 我国农业精准作业实用化技术和创新性产品取得重要突破[J].中国农业科技导报, 2016,18(5):216. |
4 | 李淑芳.中国精准农业推广对策研究[J].科学管理研究, 2019, 37(4):125-130. |
LI S F. Research on China’s precision agriculture ppromotion ccountermeasures [J]. Sci. Manage. Res., 2019, 37(4):125-130. | |
5 | STAFFORD J V. Implementing precision agriculture in the 21st century [J]. J. Agric. Eng. Res., 2000, 76(3):267-275. |
6 | 张超,刘佳佳,苏伟,等.基于小波包变换的农作物分类无人机遥感影像适宜尺度筛选[J].农业工程学报, 2016, 32(21): 95-101. |
ZHANG C, LIU J J, SU W, et al.. Optimal scale of crop classification using unmanned aerial vehicle remotesensing imagery based on wavelet packet transform [J]. Trans. Chin. Soc. Agric. Eng., 2016, 32(21): 95-101. | |
7 | 宋坤良,王新兴,蓝凯.基于改进YOLOv4模型的无人机影像烟草株数统计[J].测绘技术装备,2022,24(4):78-82. |
SONG K L, WANG X X, LAN K. Tobacco plants number statistics of UAV images based on improved YOLOv4 model [J]. Geomatics Technol. Equip., 2022,24(4):78-82. | |
8 | 付必环,黄亮.基于深度语义分割的无人机影像烟草种植面积提取[J].通信技术,2022,55(2):181 -186. |
FU B H, HUANG L. Extraction of tobacco planting area from UAVimages based on deep semantic segmentation [J]. Commun. Technol., 2022,55(2):181 -186. | |
9 | 罗贞宝,陆妍如,高知灵,等.基于GF-1/2影像数据的烟草种植区信息遥感监测[J].中国烟草科学,2022,43(4):87-95, 103. |
LUO Z B, LU Y R, GAO Z L, et al.. Remote sensing monitoring of tobacco growing areas based on GF-1/2lmage data [J]. Chin. Tobacco Sci., 2022,43(4):87-95, 103. | |
10 | 薛宇飞,张军,张萍,等.基于Sentinel-2遥感影像的烟草种植信息精准提取[J].中国烟草科学,2022,43(1):96-106. |
XUE Y F, ZHANG J, ZHANG P, et al.. Object-oriented accurate extraction of tobacco information based on Sentinel-2 remote sensing images [J]. Chin. Tob. Sci., 2022,43(1):96-106. | |
11 | 吕小艳,竞霞,薛琳,等.遥感技术在烟草长势监测及估产中的应用进展[J].中国农学通报,2020,36(25):137-141. |
LYU X Y, JING X, XUE L, et al.. Remote sensing technology applied in growth monitoring and yield estimation of tobacco: a review [J]. Chin. Agric. Sci. Bull., 2020,36(25): 137-141. | |
12 | 尹林江,周忠发,黄登红,等.基于无人机影像匹配点云数据的喀斯特峡谷区火龙果单株提取研究[J].浙江农业学报,2020,32(6):1092-1102. |
YIN L J, ZHOU Z F, HUANG D H, et al.. Extraction of individual plant of pitaya in Karst canyon area based on point cloud data of UAV image matching [J]. Acta Agric. Zhejiangensis,2020,32(6):1092-1102. | |
13 | 高姻燕,孙义,李葆春.基于无人机RGB影像估测田间小麦穗数[J].中国农业科技导报,2022,24(3):103-110. |
GAO Y Y, SUN Y, LI B C. Estimating of wheat ears number in field based on RGB images using unmanned aerial vehicle [J]. J. Agric. Sci. Technol., 2022,24(3):103-110. | |
14 | 胡宜娜,安如,艾泽天,等.基于无人机高光谱影像的三江源草种精细识别研究[J].遥感技术与应用,2021,36(4):926-935. |
HU Y N, AN R, AI Z T, et al.. Researches on grass species fine identification based on UAV hyperspectral lmages in Three-River source region [J]. Remote Sensing Technol. Appl., 2021,36(4):926-935. | |
15 | 杨龙,孙中宇,唐光良,等.基于微型无人机遥感的亚热带林冠物种识别[J].热带地理, 2016, 36(5): 833-839. |
YANG L, SUN Z Y, TANG G L, et al.. Identifying canopy species of subtropical forest by lightweight unmanned aerial vehicle remote sensing [J]. Tropical Geography, 2016, 36 ( 5 ): 833-839. | |
16 | 胡馨月.基于融合分水岭算法的无人机图像树木株数提取研究[D]. 哈尔滨市:东北林业大学,2021. |
HU X Y. Research on tree counts extraction from UAV imagery based on fusion watershed algorithm [D]. Harbin: Northeast Forestry University, 2021. | |
17 | 刘帅兵,杨贵军,周成全,等.基于无人机遥感影像的玉米苗期株数信息提取[J].农业工程学报,2018,34(22):69-77. |
LIU S B, YANG G J, ZHOU C Q, et al.. Extraction of maize seedling number information based on UAV imagery [J]. Trans. Chin. Soc. Agric. Eng., 2018, 34(22):69-77. | |
18 | 李金阳,张伟,康烨,等.基于无人机遥感技术的大豆苗数估算研究[J].中国农机化学报,2022,43(4):83-89. |
LI J Y, ZHANG W, KANG Y, et al.. Rcscarch on soybcan sccdling numbcr cstimation bascd on UAV rcmotc scnsing tcchnolog [J]. J. Chin. Agric. Mechan., 2022,43(4) :83-89. | |
19 | 董梅,苏建东,刘广玉,等.面向对象的无人机遥感影像烟草种植面提取和监测[J].测绘科学,2014,39(9):87-90. |
DONG M, SU J D, LIU G Y, et al.. Extraction of tobacco planting areas from UAV remote sensing imagery byobject-oriented classification method [J]. Sci. Surveying Mapping,2014,39(9):87-90. | |
20 | 何永秋,邓平,詹良,等.烟草病虫害无人机防控实施模式探析——以常宁市烟区无人机植保服务为例[J].现代农业科技,2022(13):72-75. |
HE Y Q, DENG P, ZHAN L, et al.. Exploration on the implementation mode of UAV for tobacco diseases and pests control:taking UAV plant protection service in changning tobacco area as an example [J]. Modern Agric. Sci. Technol., 2022(13):72-75. | |
21 | 赖佳政,叶协锋,张凯,等.基于无人机高光谱的烟田涝灾早期识别[J].中国烟草学报,2022,28(1):50-57. |
LAI J Z, YE X F, ZHANG K, et al.. Early identification of tobacco field waterlogging disaster based on UAV hyperspectral lmages [J]. Acta Tabacaria Sin., 2022,28(1):50-57. | |
22 | 王帅. 基于无人机多光谱遥感数据的烟草估产模型研究—以广东省始兴县为例[D]. 太原:山西农业大学,2021. |
WANG S. Tobacco yield estimation based on UAV multi-spectral remote sensing image—taking shixing county of guangdong province as an example [D]. Taiyu: Shanxi Agricultural University, 2021. | |
23 | 夏炎,黄亮,陈朋弟.模糊超像素分割算法的无人机影像烟株精细提取[J].国土资源遥感,2021,33(1):115-122. |
XIA Y, HUANG L, CHEN P D. Tobacco fine extraction from UAV mage based on fuzzy -superpixel segmentation algorithm [J]. Remote Sensing Land Resour. ,2021,33(1):115-122. | |
24 | 夏炎,黄亮,王枭轩,等.基于无人机影像的烟草精细提取[J].遥感技术与应用,2020,35(5):1158-1166. |
XIA Y, HUANG L, WANG X X, et al.. Fine extraction of tobacco based on UAV images [J]. Remote Sensing Technol. Appl., 2020,35(5):1158-1166. | |
25 | 李晓鹏,胡鹏程,徐照丽,等.基于四旋翼无人机快速获取大田植株图像的方法及其应用[J].中国农业大学学报,2017,22(12):131-137. |
LI X P, HU P C, XU Z L, et al.. Method for rapidly acquiring images of field-grown crops usinga quad-rotor UAV and its application [J]. J. China Agric. Univ., 2017,22(12):131-137. | |
26 | 饶雄飞,周龙宇,杨春雷,等.基于无人机多光谱影像和关键点检测的雪茄烟株数提取[J].农业机械学报,2023,54(3):266-273. |
RAO X F, ZHOU L Y, YANG C L, et al.. Counting cigar tobacco plants from UAV multispectral images via key points detection approach [J]. Trans. Chin. Soc. Agric. Mach., 2023,54(3):266-273. | |
27 | 王东胜,刘贯山,李章海. 烟草栽培学[M].北京:中国科学技术大学出版社, 2002. |
WANG D S, LIU G S, LI Z H. Tobacco Cultivation [M]. Beijing: University of Science and Technology of China Press, 2002. | |
28 | 周忠发,李坡,万能,等.合成孔径雷达山地农业应用——烟草种植监测[M].北京:科学出版社,2017:35-37. |
29 | 胡灵炆,周忠发,尹林江,等.基于无人机RGB影像的苗期油菜识别[J].中国农业科技导报,2022,24(9):116-128. |
HU L W, ZHOU Z F, YIN L J, et al.. Rape identification at seedling stage based on UAV RGB image [J]. J. Agric. Sci. Technol., 2022,24(9):116-128. | |
30 | 张引.基于空间分布的最大类间方差牌照图像二值化算法[J].浙江大学学报(工学版),2001(3):42-45, 50. |
ZHANG Y. Preprocessing methods for computer imagesof particle saltation [J]. J. Zhejiang Univ. (Eng. Sci.) ,2001(3):42-45, 50. | |
31 | GONZALEZ R C, WOODS R E. Digital Image Processing [M]. 3rd ed n. Beijing: Publishing House of Electronics Industry, 2017: 479-483. |
32 | 尹林江,周忠发,李韶慧,等.基于无人机可见光影像对喀斯特地区植被信息提取与覆盖度研究[J].草地学报,2020,28(6):1664-1672. |
YIN L J, ZHOU Z F, LI S H, et al.. Research on vegetation extraction and fractional vegetation cover of karst area based on visible light image of UAV [J]. Acta Agrestia Sin.,2020,28(6):1664-1672. | |
33 | BENDIG J, KANG Y, AASEN H, et al.. Combining UAV-based plant height from crop surface models, visible, and near infrared vegetation indices for biomass monitoring in barley [J]. Int. J. Appl,. Earth Observation Geoinform., 2015, 39(7): 79-87. |
34 | SHUFELT J A. Performance evaluation and analysis of monocular building extraction from aerial imagery [J]. IEEE Trans. Pattern Anal. Mach. Intell., 1999,21(4): 311-326. |
35 | 李青,李玉,王玉,等.利用格式塔的高分辨率遥感影像建筑物提取[J].中国图象图形学报,2017, 22(8): 1162-1174. |
LI Q, LI Y, WANG Y, et al.. Building extraction from high resolution remotesensing image by using gestalt [J]. J. Image Graphics, 2017, 22(8): 1162-1174. | |
36 | 汪小钦,王苗苗,王绍强,等.基于可见光波段无人机遥感的植被信息提取[J].农业工程学报,2015, 31(5): 152-159. |
WANG X Q, WANG M M, WANG S Q, et al.. Extraction of vegetation information from visible unmanned aerialvehicle images [J]. Trans. Chin. Soc. Agric. Eng., 2015, 31(5): 152-159. | |
37 | 王猛,隋学艳,梁守真,等.利用无人机遥感技术提取农作物植被覆盖度方法研究[J].作物杂志, 2020(3): 177-183. |
WANG M, SUI X Y, LIANG S Z, et al.. Research on the method of extracting crop vegetation coverage using UAV remote sensing technology [J]. Crops, 2020(3): 177-183. | |
38 | 黄登红,周忠发,吴跃,等.基于无人机可见光影像的高原丘陵盆地区山药植株识别[J].热带地理,2019,39(4):571-582. |
HUANG D H, ZHOU Z F, WU Y, et al.. Identification of yam plants in karst plateau hill basin based on visible light images of an unmanned aerial vehicle [J]. Tropical Geography, 39 (4): 571-582. | |
39 | 赵晓伟,黄杨,汪永强,等.基于无人机多光谱数据的玉米苗株估算[J].自然资源遥感,2022,34(1):106-114. |
ZHAO X W, HUANG Y, WANG Y Q, et al.. Estimation of maize seedling number based on UAV multispectral data [J]. Remote Sensing for Nat. Resour., 2022,34(1) :106 -114. |
[1] | Zhenfei ZHANG, An YAN, Jing GUO, Yuhang ZHAO, Yilin YUAN, Peng LIU, Zuohao QU, Chuan YUAN. Research on Apple Yield Estimation Model Based on Unmanned Aerial Vehicle Remote Sensing [J]. Journal of Agricultural Science and Technology, 2025, 27(9): 110-119. |
[2] | Mingjun JIANG, Yanmin FAN, Hongqi WU, Hao ZHANG, Zhuo LIU, Dejun WANG. Remote Sensing Inversion Study of Relative Chlorophyll Content in Processing Tomato Based on Machine Learning [J]. Journal of Agricultural Science and Technology, 2025, 27(8): 89-99. |
[3] | Guotao YANG, Shijie ZHANG, Chao CHEN, Yun LIU, Chen HE, Yinghao NING, Qing ZHANG. Identification of 5 Common Pesticides Used in Flue-tobacco Field Production Based on Hyperspectral Technology [J]. Journal of Agricultural Science and Technology, 2025, 27(7): 122-132. |
[4] | Shenghao ZOU, Qiwei YU, Shuai HE, Xuewei ZHANG, Qian MA, Guankai MA, Feihu XI, Dongsheng LUO, Maoxian WANG, Zhenbao LUO, Yanqiu JING. Effect of Exogenous Chlorellavulgaris on Physiological Characteristics of Flue-cured Tobacco Seedlings Under Drought Stress [J]. Journal of Agricultural Science and Technology, 2025, 27(6): 64-71. |
[5] | Sile HU, Yulong BAO, Tubuxinbayaer, Jifeng TAO, Enliang GUO. Chlorophyll Content Inversion of Spring Wheat Based on Unmanned Aerial Vehicle Hyperspectral and Integrated Learning [J]. Journal of Agricultural Science and Technology, 2025, 27(6): 93-103. |
[6] | Junya DUAN, Yuanyuan ZHAO, Tingting WANG, Jianyu WEI, Zheng WANG, Dexun WANG, Juan LI, Hongzhi SHI. Effects of Nitrogen Reduction Combined with Polyaspartic Acid on Nitrogen Utilization, Yield and Quality of Flue-cured Tobacco [J]. Journal of Agricultural Science and Technology, 2025, 27(3): 227-238. |
[7] | Yilong DENG, Jianan WANG, Shaolong GU, Xiaoquan ZHANG, Xiaohui MIAO, Shoujie SHI, Weidong DUAN. Effect of Variable Temperature During Yellowing Stage on Synergistic Relationship Between Color Parameters and Pigment Contents of Upper leaves [J]. Journal of Agricultural Science and Technology, 2025, 27(2): 238-249. |
[8] | Shuyuan ZHENG, Jian DAO, Xuelin ZHANG, Shanshan LIU, Jianxiong WANG. Research on Green Vegetation Extraction Method Based on Visible Light Band [J]. Journal of Agricultural Science and Technology, 2025, 27(1): 107-117. |
[9] | Chengliang XIONG, Qingfu ZHANG, Weiyuan YAO, Tao XIA, Qingping XU, Xixin ZHOU, Yi ZHANG, Lijuan CHEN, Liu YANG. Effects of Different Types of Rice Straw Addition on Soil Microbial Communities Under Continuous Tobacco Cropping [J]. Journal of Agricultural Science and Technology, 2025, 27(1): 233-240. |
[10] | Zhuoran XING, Songshuang DING, Kai ZHANG, Ming MA, Wenlong GUO, Xudong LIU, Xiangdong SHI. Research Progress of Deep Learning and Computer Vision in Tobacco Leaf Production [J]. Journal of Agricultural Science and Technology, 2025, 27(1): 96-106. |
[11] | Xixin ZHOU, Shilin YUAN, Liu YANG, Tao XIA, Yi ZHANG, Wei FAN. Identification of Continuous Cropping Tobacco Root Exudates and Screening of Potential Allelopathic Substances [J]. Journal of Agricultural Science and Technology, 2024, 26(7): 136-146. |
[12] | Yue HUANG, Yanfen XIE, Xuanquan ZHU, Meng JIA, Ge WANG, Yuxiang BAI, Yu DU, Peng ZHOU, Yuting ZHAO, Hongqiong ZHU, Fan YANG, Zhiwen XIAO, Wenbo WANG, Zhipeng FANG, Jiabao HAN, Na WANG. Risk Assessment and Influencing Factors Analysis of Chlorine Content in Tobacco Leaves in Tobacco Planting Areas [J]. Journal of Agricultural Science and Technology, 2024, 26(6): 206-213. |
[13] | Yahong ZHAO, Qianyu HU, Rong XIA, Zhijiang WANG, Yonghui XIE, Xianwen YE, Lei YU, Ying QI, Shaowu YANG, Zhiqin XUE, Zhixing WU, Feiyan HUANG, Tianhua HAN. Effects of Biochar Fertilizer on Rhizosphere Flora and Physicochemical Properties of Flue-cured Tobacco Susceptible to Root Knot Nematode [J]. Journal of Agricultural Science and Technology, 2024, 26(4): 206-214. |
[14] | Xudong ZHOU, Tianhua HAN, Yunxin SHEN, Zhufeng SHI, Biao HE, Mingying YANG, Weihua PEI, Yonghong HE, Peiwen YANG. Response Characteristics of Soil Microecology in Long-term Continuous Cropping Tobacco Field Under 4 Rotation Patterns [J]. Journal of Agricultural Science and Technology, 2024, 26(3): 174-187. |
[15] | Wei WANG, Hongyu FU, Jianning LU, Yunkai YUE, Ruifang YANG, Guoxian CUI, Wei SHE. Research on Interpretation of Ramie Lodging Information Based on Unmanned Aerial Vehicles [J]. Journal of Agricultural Science and Technology, 2024, 26(3): 91-97. |
Viewed | ||||||
Full text |
|
|||||
Abstract |
|
|||||