Journal of Agricultural Science and Technology ›› 2024, Vol. 26 ›› Issue (7): 166-173.DOI: 10.13304/j.nykjdb.2022.1075
• BIO-MANUFACTURING & RESOURCE AND ECOLOGY • Previous Articles Next Articles
Chongtao LIU1(), Tong LI1(
), Yangyang LI2, Zhuangzhuang LIU2, Yangyang CAI2, Jianchao SONG1, Wantong ZHANG1, Bin SHANG2, Xiuping TAO1
Received:
2022-12-08
Accepted:
2023-02-13
Online:
2024-07-15
Published:
2024-07-12
Contact:
Tong LI
刘崇涛1(), 李同1(
), 李洋洋2, 刘壮壮2, 蔡阳扬2, 宋建超1, 张万通1, 尚斌2, 陶秀萍1
通讯作者:
李同
作者简介:
刘崇涛 E-mail:82101221072@caas.cn;
基金资助:
CLC Number:
Chongtao LIU, Tong LI, Yangyang LI, Zhuangzhuang LIU, Yangyang CAI, Jianchao SONG, Wantong ZHANG, Bin SHANG, Xiuping TAO. Study on Antifungal Effect and Composition of Ultraviolet on Nutritional Wastewater[J]. Journal of Agricultural Science and Technology, 2024, 26(7): 166-173.
刘崇涛, 李同, 李洋洋, 刘壮壮, 蔡阳扬, 宋建超, 张万通, 尚斌, 陶秀萍. 紫外线对栽培营养废液的抑菌效应及营养成分影响研究[J]. 中国农业科技导报, 2024, 26(7): 166-173.
Add to citation manager EndNote|Ris|BibTeX
URL: https://nkdb.magtechjournal.com/EN/10.13304/j.nykjdb.2022.1075
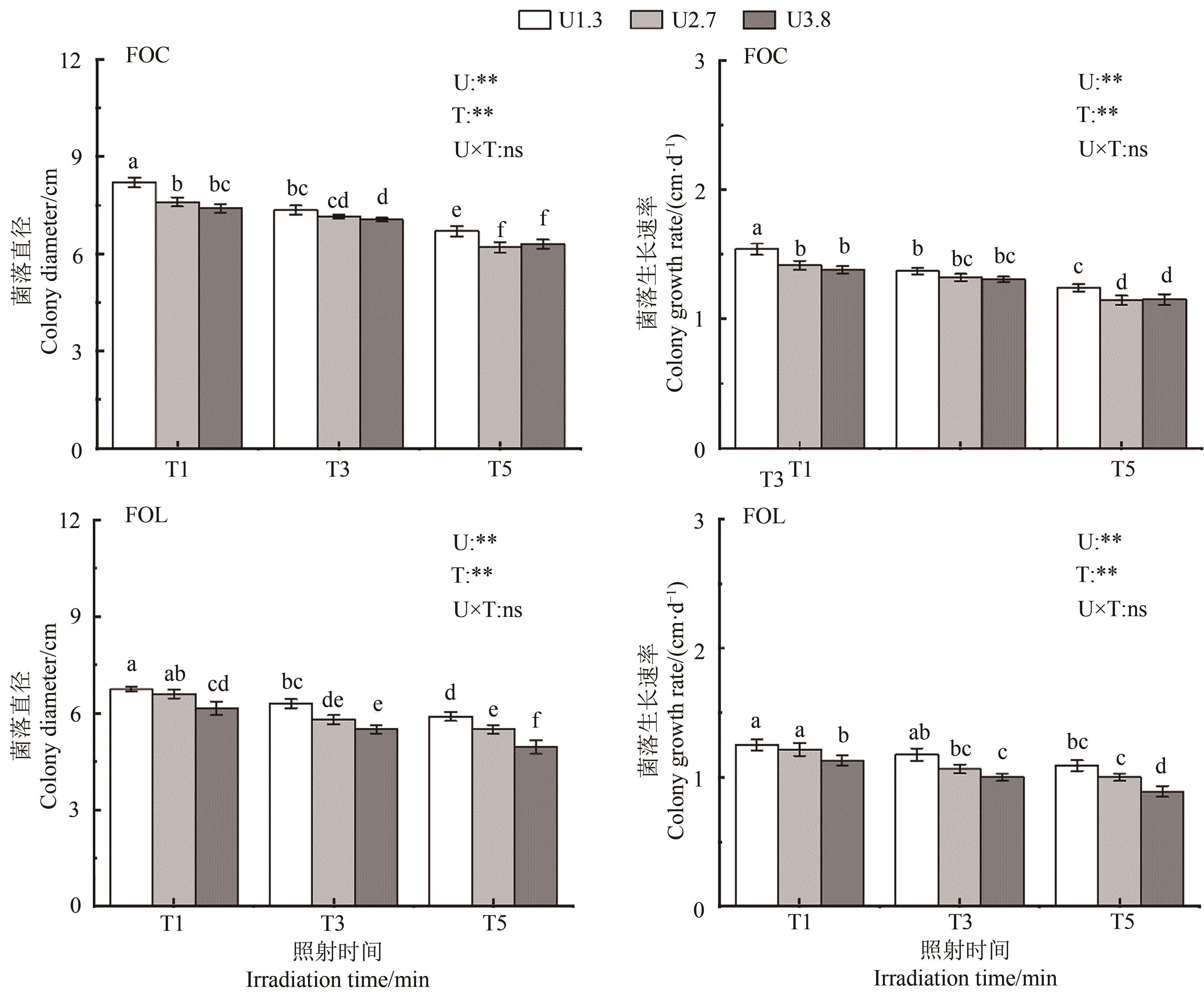
Fig. 2 Colony diameter and growth rate of FOC and FOL under ultraviolet irradiationNote: Different lowercase letters in same time indicate significant differences at P<0.05 level; ** indicates significant difference at P<0.01 level, and ns indicates no significant difference.
紫外强度 Ultraviolet intensity/(mW·cm-2) | 照射时间 Irradiation time/min | 产孢量 Sporulation yield/(103 CFU·mL-1) | 孢子萌发率 Spore germination rate/% |
---|---|---|---|
U1.3 | T1 | 12.62 a | 82.5 a |
T3 | 9.71 b | 57.8 b | |
T5 | 4.85 d | 30.7 c | |
U2.7 | T1 | 9.51 b | 62.0 b |
T3 | 5.65 cd | 27.3 c | |
T5 | 0.46 e | 2.2 d | |
U3.8 | T1 | 5.82 c | 33.3 c |
T3 | 0.84 e | 0.8 d | |
T5 | 0.00 e | 0.0 d | |
紫外强度U | ** | ** | |
照射时间T | ** | ** | |
紫外强度×照射时间 U×T | ** | ** |
Table 1 Spore germination ofFOC under ultraviolet irradiation
紫外强度 Ultraviolet intensity/(mW·cm-2) | 照射时间 Irradiation time/min | 产孢量 Sporulation yield/(103 CFU·mL-1) | 孢子萌发率 Spore germination rate/% |
---|---|---|---|
U1.3 | T1 | 12.62 a | 82.5 a |
T3 | 9.71 b | 57.8 b | |
T5 | 4.85 d | 30.7 c | |
U2.7 | T1 | 9.51 b | 62.0 b |
T3 | 5.65 cd | 27.3 c | |
T5 | 0.46 e | 2.2 d | |
U3.8 | T1 | 5.82 c | 33.3 c |
T3 | 0.84 e | 0.8 d | |
T5 | 0.00 e | 0.0 d | |
紫外强度U | ** | ** | |
照射时间T | ** | ** | |
紫外强度×照射时间 U×T | ** | ** |
紫外强度 Ultraviolet intensity/(mW·cm-2) | 照射时间 Irradiation time/min | 产孢量 Sporulation yield/(103 CFU·mL-1) | 孢子萌发率 Spore germination rate/% |
---|---|---|---|
U1.3 | T1 | 13.35 a | 88.5 a |
T3 | 10.75 b | 61.3 b | |
T5 | 6.63 e | 30.3 cd | |
U2.7 | T1 | 11.50 b | 65.0 b |
T3 | 7.95 d | 27.9 d | |
T5 | 1.17 f | 6.1 e | |
U3.8 | T1 | 8.95 c | 35.1 c |
T3 | 1.41 f | 3.3 ef | |
T5 | 0.00 g | 0.0 f | |
紫外强度U | ** | ** | |
照射时间T | ** | ** | |
紫外强度×照射时间 U×T | ** | ** |
Table 2 Spore germination ofFOL under ultraviolet irradiation
紫外强度 Ultraviolet intensity/(mW·cm-2) | 照射时间 Irradiation time/min | 产孢量 Sporulation yield/(103 CFU·mL-1) | 孢子萌发率 Spore germination rate/% |
---|---|---|---|
U1.3 | T1 | 13.35 a | 88.5 a |
T3 | 10.75 b | 61.3 b | |
T5 | 6.63 e | 30.3 cd | |
U2.7 | T1 | 11.50 b | 65.0 b |
T3 | 7.95 d | 27.9 d | |
T5 | 1.17 f | 6.1 e | |
U3.8 | T1 | 8.95 c | 35.1 c |
T3 | 1.41 f | 3.3 ef | |
T5 | 0.00 g | 0.0 f | |
紫外强度U | ** | ** | |
照射时间T | ** | ** | |
紫外强度×照射时间 U×T | ** | ** |
紫外强度 Ultraviolet intensity/(mW·cm-2) | 照射时间 Irradiation time/min | 产孢量 Sporulation yield/(CFU·mL-1) | 抑菌率 Inhibition rate/% |
---|---|---|---|
U1.3 | T1 | 842.1 a | 29.8 g |
T3 | 531.5 c | 55.7 e | |
T5 | 190.0 f | 84.2 b | |
U2.7 | T1 | 683.3 b | 43.1 f |
T3 | 296.0 e | 75.3 c | |
T5 | 125.5 fg | 89.6 ab | |
U3.8 | T1 | 425.7 d | 64.6 d |
T3 | 136.6 fg | 88.7 ab | |
T5 | 10.2 g | 99.2 a | |
紫外强度U | ** | ** | |
照射时间T | ** | ** | |
紫外强度×照射时间 U×T | ** | ** |
Table 3 Effect of ultraviolet irradiation on FOC in nutrient solution
紫外强度 Ultraviolet intensity/(mW·cm-2) | 照射时间 Irradiation time/min | 产孢量 Sporulation yield/(CFU·mL-1) | 抑菌率 Inhibition rate/% |
---|---|---|---|
U1.3 | T1 | 842.1 a | 29.8 g |
T3 | 531.5 c | 55.7 e | |
T5 | 190.0 f | 84.2 b | |
U2.7 | T1 | 683.3 b | 43.1 f |
T3 | 296.0 e | 75.3 c | |
T5 | 125.5 fg | 89.6 ab | |
U3.8 | T1 | 425.7 d | 64.6 d |
T3 | 136.6 fg | 88.7 ab | |
T5 | 10.2 g | 99.2 a | |
紫外强度U | ** | ** | |
照射时间T | ** | ** | |
紫外强度×照射时间 U×T | ** | ** |
紫外强度 Ultraviolet intensity/(mW·cm-2) | 照射时间 Irradiation time/min | 产孢量 Sporulation yield/(CFU·mL-1) | 抑菌率 Inhibition rate/% |
---|---|---|---|
U1.3 | T1 | 1 242.5 a | 10.3 f |
T3 | 899.4 c | 35.1 d | |
T5 | 684.0 d | 50.6 c | |
U2.7 | T1 | 1 021.6 b | 26.2 e |
T3 | 659.1 d | 52.4 c | |
T5 | 332.3 e | 76.0 b | |
U3.8 | T1 | 840.2 c | 39.3 d |
T3 | 301.3 e | 78.2 b | |
T5 | 62.4 f | 95.5 a | |
紫外强度U | ** | ** | |
照射时间T | ** | ** | |
紫外强度×照射时间 U×T | * | * |
Table 4 Effect of ultraviolet irradiation on FOL in nutrient solution
紫外强度 Ultraviolet intensity/(mW·cm-2) | 照射时间 Irradiation time/min | 产孢量 Sporulation yield/(CFU·mL-1) | 抑菌率 Inhibition rate/% |
---|---|---|---|
U1.3 | T1 | 1 242.5 a | 10.3 f |
T3 | 899.4 c | 35.1 d | |
T5 | 684.0 d | 50.6 c | |
U2.7 | T1 | 1 021.6 b | 26.2 e |
T3 | 659.1 d | 52.4 c | |
T5 | 332.3 e | 76.0 b | |
U3.8 | T1 | 840.2 c | 39.3 d |
T3 | 301.3 e | 78.2 b | |
T5 | 62.4 f | 95.5 a | |
紫外强度U | ** | ** | |
照射时间T | ** | ** | |
紫外强度×照射时间 U×T | * | * |
Fig. 3 Contents of total nitrogen, total phosphorus and organic matter in FOC and FOL nutrient solution under ultraviolet irradiationNote: Different lowercase letters in same time indicate significant differences at P<0.05 level; ** indicates significant difference at P<0.01 level, and ns indicates no significant difference.
1 | 李东星,田真,王浚峰,等.植物工厂营养液循环再利用装备的研究应用[J].农业工程,2011,1(1):46-51. |
LI D X, TIAN Z, WANG J F, et al.. Research and application on a nutrient recycle equipment [J]. Agric. Eng., 2011,1(1):46-51. | |
2 | 陈磊夫,刘志雄,吴金平,等.蔬菜无土栽培营养液灭菌除藻研究进展[J].中国蔬菜,2020(7):24-29. |
CHEN L F, LIU Z X, WU J P, et al.. Research progress on disinfection and algae removing by nutrient solution in soilless vegetable culture [J]. China Veget., 2020(7): 24-29. | |
3 | 刘向辉,刘芬,周立刚,等.紫外线杀灭营养液中黄瓜枯萎病病菌试验研究[J].中国农学通报,2005,21(3):268-271. |
LIU X H, LIU F, ZHOU L G, et al.. UV disinfection of fusarium oxysporium f.sp.cucumerinum in drain water from closed system [J]. Chin. Agric. Sci. Bull., 2005,21(3): 268-271. | |
4 | DEAN R, VAN KAN J A, PRETORIUS Z A, et al.. The top 10 fungal pathogens in molecular plant pathology [J]. Mol. Plant Pathol., 2012,13(4): 414-430. |
5 | 高晓敏,王琚钢,马立国,等.尖孢镰刀菌致病机理和化感作用研究进展[J].微生物学通报,2014,41(10):2143-2148. |
GAO X M, WANG J G, MA L G, et al.. Research advances on the mechanism of pathogenesis and allelopathy of Fusarium oxysporium [J]. Microbiol. China, 2014,41(10): 2143-2148. | |
6 | MA L J, GEISER D M, PROCTOR R H, et al.. Fusarium pathogenomics [J]. Annu. Rev. Microbiol., 2013,67(1): 399-416. |
7 | RUNIA W T, AMSING J J. Disinfection of recirculation water from closed cultivation systems by heat treatment [J]. Acta Hortic., 2001,548(1): 215-222. |
8 | 徐燕,赵春燕,孙军德.臭氧对无土栽培营养液的消毒作用研究[J].微生物学杂志,2004,24(6):60-61. |
XU Y, ZHAO C Y, SUN J D. Sterilization of nutritive solution for soilless cultivation by ozone [J]. J. Microbiol., 2004,24(6): 60-61. | |
9 | 宋卫堂,孙广明,刘芬,等.臭氧杀灭循环营养液中三种士传病原菌的试验[J].农业工程学报, 2007,23(6): 189-193. |
SONG W T, SUN G M, LIU F, et al.. Ozone disinfection of three soilborne pathogens in nutrient solution [J]. Trans. Chin. Soc. Agric. Eng., 2007,23(6): 189-193. | |
10 | 刘超,宋卫堂,杨琪,等.灌溉臭氧水对生菜抗性生理的影响[J].山西农业大学学报(自然科学版),2016,36(5):327-331. |
LIU C, SONG W T, YANG Q, et al.. The effects of ozone water irrigation on the resistant physiology of lettuce [J]. J. Shanxi Agric. Univ. (Nat. Sci.), 2016,36(5): 327-331. | |
11 | 宋卫堂,袁小艳,王冬华,等.营养液加热消毒机的设计与灭菌性能试验[J].农业工程学报,2007,23(5):111-115. |
SONG W T, YUAN X Y, WANG D H, et al.. Design and disinfection performance test of a heating installation for nutrient solution from closed system [J]. Trans. Chin. Soc. Agric. Eng., 2007,23(5): 111-115. | |
12 | GÓMEZ M, PLAZA F, GARRALÓN G, et al.. A comparative study of tertiary wastewater treatment by physico-chemical-UV process and macrofiltration-ultrafiltration technologies [J]. Desalination, 2007,202(1-3): 369-376. |
13 | SANZ E N, DÁVILA I S, BALAO J A, et al.. Modelling of reactivation after UV disinfection: effect of UV-C dose on subsequent photoreactivation and dark repair [J]. Water Res., 2007,41(14): 3141-3151. |
14 | 马万征,但琼鹏,马万敏,等.温室营养液循环利用装置及消毒效果研究[J].东北农业科学,2019,44(1):52-56. |
MA W Z, DAN Q P, MA W M, et al.. Research on the recycling device and disinfection effect of greenhouse nutrient solution [J]. J. Northeast Agric. Sci., 2019,44(1): 52-56. | |
15 | 宋卫堂,王成,侯文龙.紫外线-臭氧组合式营养液消毒机的设计及灭菌性能试验[J].农业工程学报,2011,27(2):360-365. |
SONG W T, WANG C, HOU W L. Development and test of nutrient solution disinfection machine by combining UV with ozone [J]. Trans. Chin. Soc. Agric. Eng., 2011,27(2): 360-365. | |
16 | TSUNEDOMI A, MIYAWAKI K, MASAMURA A, et al.. UVA‐LED device to disinfect hydroponic nutrient solution [J]. J. Med. Invest., 2018,65(3.4): 171-176. |
17 | 贾沛莉,陈诗雯,代瑞华.紫外线辐照技术去除藻类的研究进展[J].水资源保护,2017,33(5):138-144. |
JIA P L, CHEN S W, DAI R H. Research progress of removing algae by ultraviolet irradiation [J]. Water Resour. Prot., 2017,33(5): 138-144. | |
18 | SAKAI H, OGUMA K, KATAYAMA H, et al.. Effects of low or medium-pressure UV irradiation on the release of intracellular microcystin [J]. Water Res., 2007,41(15): 3458-3464. |
19 | 郭美婷,胡洪营,刘文君.复活光照强度对再生水紫外线消毒后大肠杆菌和粪大肠杆菌光复活的影响[J].环境科学,2008,29(9):2576-2579. |
GUO M T, HU H Y, LIU W J. Effect of photoreactivating light intensity on photoreactivation of Escherichia coli and Fecal coliform in the tertiary effluent disinfected by UV [J]. Environ. Sci., 2008,29(9): 2576-2579. | |
20 | 郑荣进,向坤,朱松明.紫外线对水产养殖循环水的杀菌效果[J].农业工程学报, 2011,27(11):257-262. |
ZHENG R J, XIANG K, ZHU S M. Bacterial inactivation effect of UV in aquaculture recirculating water [J]. Trans. Chin. Soc. Agric. Eng., 2011,27(11): 257-262. | |
21 | 张玮,肖梦婷,黄敏,等.短波紫外线辐照对灰葡萄孢抑菌机理的影响[J].北方园艺,2020(18):7-13. |
ZHANG W, XIAO M T, HUANG M, et al.. Effects of UV-C irradiation on antifungal mechanism of Botrytis cinerea [J]. Northern Hortic., 2020(18): 7-13. | |
22 | 刘玲,王旭,张培光,等.大蓟总黄酮对尖孢镰刀菌甜瓜专化型生长、生理的影响及其田间防治效果[J].植物保护学报,2020,47(3):628-636. |
LIU L, WANG X, ZHANG P G, et al.. Inhibition of total flavonoids in Cirsium japonicum DC on growth physiological indexes and control effect of Fusarium oxysporum f. sp. melonis in field [J]. J. Plant Prot., 2020, 47(3): 628-636. | |
23 | 宗兆锋,王汝贤,杨之为,等.紫外线对非致病尖孢镰刀菌的诱变作用[J].西北农林科技大学学报(自然科学版), 1996,24(2): 99-101. |
ZONG Z F, WANG R X, YANG Z W, et al.. Mutagenic effect of UV light on nonpathogenic Fusarium oxysporum [J]. J. Northwest A & F Univ. (Nat. Sci.), 1996,24(2): 99-101. | |
24 | HAO K Y, ZHANG N, LI Y W, et al.. Effect of ultraviolet radiation on nitrogen and phosphorus removal from sewage in plateau environment [J]. Desalin. Water Treat., 2021,216(1): 232-238. |
25 | 姜妍,蒋林时,苗时雨,等.紫外-Fenton法处理高盐有机废水[J].环境工程学报,2016,10(5):2349-2354. |
JIANG Y, JIANG L S, MIAO S Y, et al.. Treatment of high-salinity organic wastewater by ultraviolet-Fenton process [J]. Chin. J. Environ. Eng., 2016,10(5): 2349-2354. | |
26 | 张淼,李文涛,连军锋,等.紫外/氯工艺去除煤化工高盐废水中有机物的研究[J].中国给水排水,2021,37(21):82-88. |
ZHANG M, LI W T, LIAN J F, et al.. UV/chlorination process for the removal of organics in high salinity wastewater from coal chemical industry [J]. China Water Wastewater, 2021,37(21): 82-88. | |
27 | 邹海明,王艳,李飞跃,等.臭氧紫外组合工艺协同深度处理染料废水实验研究[J].工业水处理,2014,34(9):61-63. |
ZOU H M, WANG Y, LI F Y, et al.. Experimental research on the ozone-ultraviolet combined process for the advanced treatment of dye wastewater [J]. Ind. Water Treat., 2014,34(9): 61-63. | |
28 | 尤俊豪,郭明哲,宗永臣,等.紫外线照射对高原污水处理的影响[J].环保科技,2022,28(3):14-19. |
YOU J H, GUO M Z, ZONG Y C, et al.. Impact of UV irradiation on highland wastewater treatment [J]. Environ. Prot. Technol., 2022,28(3): 14-19. | |
29 | 江映翔,孙珮石,刘安文,等.紫外线辐射对活性污泥除磷性能的增强作用[J].中国环境科学,2003,23(2):184-188. |
JIANG Y X, SUN P S, LIU A W, et al.. Enhancement of phosphorus removal property of activated sludge with UV ray irradiation [J]. China Environ. Sci., 2003,23(2): 184-188. |
[1] | Danrong YU, Ziqi SHANG, Shizuo QIU, Fengjing SONG, Zhihui YU, Xiaoyu ZHANG, Xiaoyan ZHANG. Comparative Analysis of Nutritional Composition and Functional Properties of Different Types of Bean Powder [J]. Journal of Agricultural Science and Technology, 2025, 27(8): 144-154. |
[2] | Xiaowei CHEN, Yuzhu SHA, Xiu LIU, Pengyang SHAO, Fanxiong WANG, Zhuanhui XIE, Wenxin YANG, Qianling CHEN, Min GAO, Wei HUANG. Analysis of Gene Expression Characteristics Associated with Quality, Nutrient Composition, and Meat Quality of Tibetan Sheep Meat During Different Phenological Stages [J]. Journal of Agricultural Science and Technology, 2025, 27(7): 161-171. |
[3] | Fei JIANG, Yonghai SHI, Jiabo XU, Yinlong YAN, Yongshi LIU, Xincheng YUAN. Analysis and Evaluation of Nutritional Composition in Muscle of Juvenile Alosa sapidissima Fed with Two Diets [J]. Journal of Agricultural Science and Technology, 2024, 26(5): 223-233. |
[4] | Yudan ZHANG, Weimin WANG, Bo NI, Xiaohan MA, Junling LI, Zicheng XU, Wei JIA, Jiuchang SHI. Extraction Optimization of Chlorogenic Acid from Tobacco Stalk and Its Antifungal Effect [J]. Journal of Agricultural Science and Technology, 2023, 25(1): 119-127. |
[5] | Jiahuan HUO, Xiaolei WEN, Shuangmin LI, Lina FENG, Shuhui LAN, Lixin DONG, Sirou GUO, Jianing LI, Jianhua WANG, Huixia QI. Identification and Biological Characteristics of the Pathogen Causing Root Rot of Atractylodes chinensis [J]. Journal of Agricultural Science and Technology, 2022, 24(5): 137-144. |
[6] | Dingyang ZHANG, Saifei QIU, Wenhua RAO, Xueping GUO, Fang CAO, Tianyun ZHAI, Xiong GUAN, Xiaohong PAN. Inhibitory Effect of Nano-Mg(OH)2 with Different Morphology on Pathogen Mango Phoma Leaf Spot [J]. Journal of Agricultural Science and Technology, 2022, 24(3): 140-147. |
Viewed | ||||||
Full text |
|
|||||
Abstract |
|
|||||