Journal of Agricultural Science and Technology ›› 2024, Vol. 26 ›› Issue (2): 216-225.DOI: 10.13304/j.nykjdb.2022.0706

• BIO-MANUFACTURING & RESOURCE AND ECOLOGY • Previous Articles     Next Articles

Effects of Shading Cultivation on Leaf Uniformity of Cigar-wrapper Tobacco (Nicotiana tabacum

Hao GUO1(), Ronglei TAN1(), Jinpeng YANG2, Jun YU2, Wenchang HUANG2, Jiuhong YANG3, Baoming QIAO2, Ruiwei YANG2, Fangsen XU1, Chunlei YANG2(), Guangda DING1()   

  1. 1.Microelement Research Center; College of Resources and Environment,Huazhong Agricultural University,Wuhan 430070,China
    2.Academy of Tobacco Science of Hubei Province,Wuhan 430030,China
    3.Hubei Branch of China National Tobacco Corparation,Wuhan 430040,China
  • Received:2022-08-24 Accepted:2022-12-15 Online:2024-02-15 Published:2024-02-04
  • Contact: Chunlei YANG,Guangda DING

遮阴栽培对雪茄茄衣烟叶叶面均匀性的影响

郭昊1(), 谭荣雷1(), 杨锦鹏2, 余君2, 黄文昌2, 杨久红3, 乔保明2, 杨瑞玮2, 徐芳森1, 杨春雷2(), 丁广大1()   

  1. 1.华中农业大学资源与环境学院,微量元素研究中心,武汉 430070
    2.湖北省烟草科学研究院,武汉 430030
    3.中国烟草总公司湖北省公司烟叶管理处,武汉 430030
  • 通讯作者: 杨春雷,丁广大
  • 作者简介:郭昊 E-mail: hao.guo@webmail.hzau.edu.cn
    谭荣雷 E-mail: RLTan@webmail.hzau.edu.cn第一联系人:郭昊和谭荣雷为共同第一作者。
  • 基金资助:
    中国烟草总公司重大专项项目[110202101013(XJ-05),110202201035(XJ-06)]

Abstract:

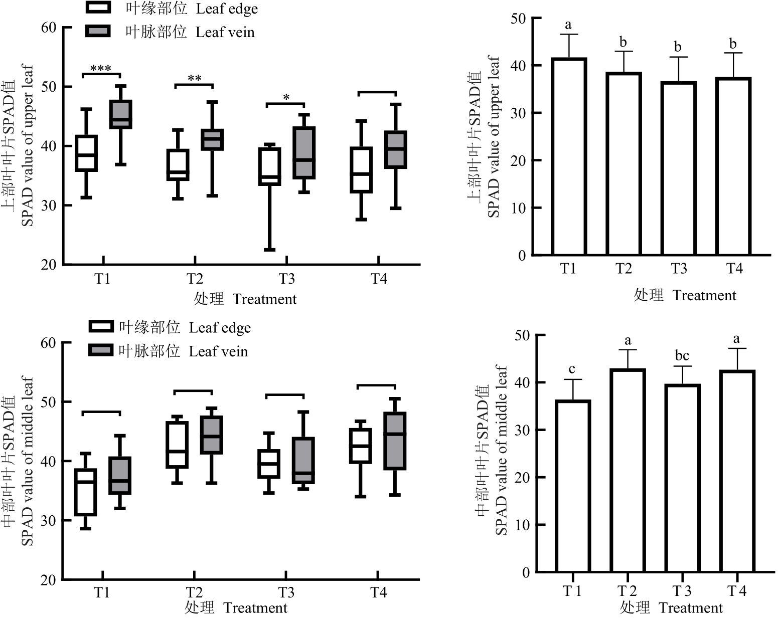
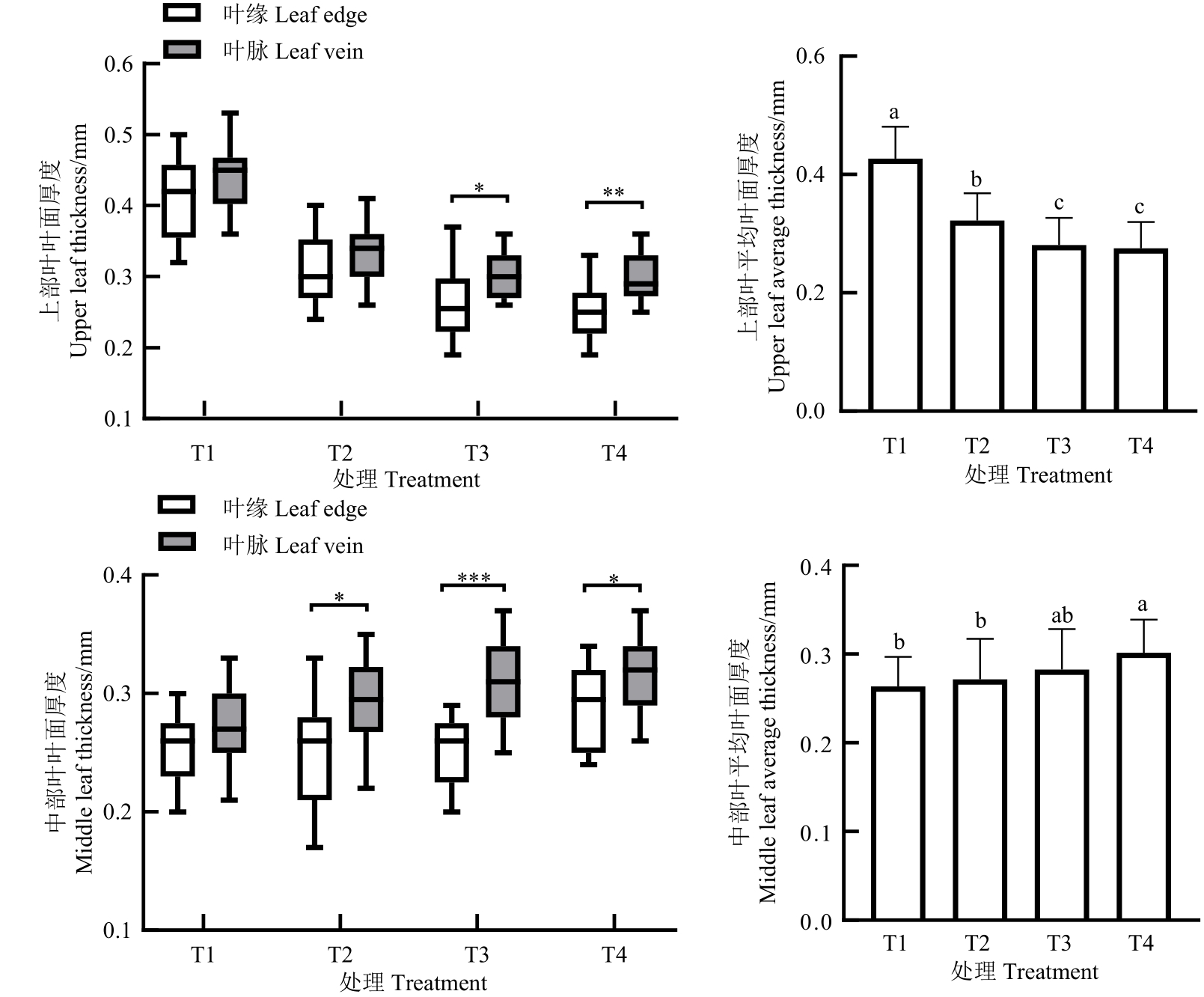
In order to explore the influence of shading cultivation on the leaf uniformity of cigar-wrapper tobacco, a cultivar‘Chuxue 26’ (CX-26) was used as material to conduct different shading treatments in the field, and the leaf thickness, leaf flatness, leaf density, main and branch vein thickness, proportion of leaf vein to leaf dry weight, and SPAD value of the upper and middle leaves at maturity were analyzed. The results showed that the leaf thickness, leaf density and SPAD value of upper leaves decreased gradually with the increase of shading degree. When the light transmittance was 70%, the leaf thickness and leaf density decreased by 35.5% and 33.3%, respectively,compared with the treatment without shading, while they increased gradually in middle leaves. Shade cultivation significantly increased the leaf flatness of upper leaves, but decreased the leaf flatness of middle leaves. When the light transmittance was 70%, the leaf flatness of the upper leaves reached the maximum, which was 0.98. In addition, shading cultivation increased the proportion of the main branches in the upper leaves to the leaf dry matter, and the influence on the proportion of the main branches in the middle leaves to the leaf dry matter showed a downward trend with the increase of shading degree, but no significant difference was observed. Moreover, shading cultivation had no effect on the thickness of the main branches of the middle leaves, but it made the main branches of the upper leaves thinner. Above results provided a theoretical basis for shading cultivation techniques of domestic cigar tobacco.

Key words: cigar tobacco, shading cultivation, light transmittance, leaf uniformity

摘要:

为探究遮阴栽培对雪茄茄衣品种叶面均匀性的影响,以雪茄茄衣品种‘楚雪26号’(CX-26)为研究对象,在大田试验条件下进行不同程度的遮阴处理,分析其成熟期上部叶和中部叶的叶面厚度、叶面平展度、叶片密度、主支脉粗细、主支脉占叶片干物质量比例以及SPAD值等的差异。结果表明,随着遮阴程度的增加,上部叶的叶面厚度、叶片密度以及叶片SPAD值均逐渐下降;当透光率为70%时,叶面厚度、叶片密度与不遮阴处理相比分别下降35.5%和33.3%,而中部叶中各性状则逐渐上升。遮阴栽培显著增加上部叶的叶面平展度,但降低了中部叶的叶面平展度;在透光率为70%时,上部叶的叶面平展度达到最大,为0.98;遮阴栽培增加上部叶主支脉占叶片干物质量比例,对中部叶主支脉占叶片干物质量比例的影响随遮阴程度的增加呈下降趋势,但差异不显著。遮阴栽培对中部叶主支脉的粗细程度无影响,但使上部叶的主支脉变细。以上研究结果为国产雪茄茄衣烟叶遮阴栽培技术提供理论基础。

关键词: 雪茄烟, 遮阴栽培, 透光率, 叶面均匀性

CLC Number: