Journal of Agricultural Science and Technology ›› 2023, Vol. 25 ›› Issue (10): 221-233.DOI: 10.13304/j.nykjdb.2022.0498
• BIO-MANUFACTURING & RESOURCE AND ECOLOGY • Previous Articles
Yunxin SHEN1,2(), Zhufeng SHI2(
), Tianhua HAN3, Xudong ZHOU1,2, Biao HE3, Wenshan ZHAO3, Qiang HE3, Bin MA3, Qibin CHEN1(
), Peiwen YANG2(
)
Received:
2022-06-14
Accepted:
2022-11-10
Online:
2023-10-15
Published:
2023-10-27
Contact:
Qibin CHEN,Peiwen YANG
申云鑫1,2(), 施竹凤2(
), 韩天华3, 周旭东1,2, 贺彪3, 赵文山3, 和强3, 马斌3, 陈齐斌1(
), 杨佩文2(
)
通讯作者:
陈齐斌,杨佩文
作者简介:
申云鑫 E-mail:1437466844@qq.com基金资助:
CLC Number:
Yunxin SHEN, Zhufeng SHI, Tianhua HAN, Xudong ZHOU, Biao HE, Wenshan ZHAO, Qiang HE, Bin MA, Qibin CHEN, Peiwen YANG. Responses of Soil Microbial Diversity to Input of Organic Carbon Source Materials[J]. Journal of Agricultural Science and Technology, 2023, 25(10): 221-233.
申云鑫, 施竹凤, 韩天华, 周旭东, 贺彪, 赵文山, 和强, 马斌, 陈齐斌, 杨佩文. 土壤微生物多样性对有机碳源物料输入的响应特征[J]. 中国农业科技导报, 2023, 25(10): 221-233.
Add to citation manager EndNote|Ris|BibTeX
URL: https://nkdb.magtechjournal.com/EN/10.13304/j.nykjdb.2022.0498
指数 Index | 处理与对照 Treatment vs control | 模型 Model | 异质性检验Heterogeneity | 发表偏倚检验 Publication bias test | 数量 Number | ||
---|---|---|---|---|---|---|---|
Q | P | 潜在值 Potential size | 临界值 Critical size | ||||
Shannon指数 Shannon index | AM vs NF | 随机效应模型 Random effect model | 83.063 | 0.000 01 | 36 658.9 | 280 | 54 |
AM vs IF | 随机效应模型 Random effect model | 118.620 | 0.000 06 | 56 517.5 | 340 | 66 | |
Chao l指数 Chao l index | AM vs NF | 随机效应模型 Random effect model | 76.189 | 0.000 69 | 25 495.6 | 220 | 42 |
AM vs IF | 随机效应模型 Random effect model | 79.615 | 0.002 08 | 45 977.9 | 250 | 48 |
Table 1 Heterogeneity and normality test of Shannon and Chao l index after application of animal manure
指数 Index | 处理与对照 Treatment vs control | 模型 Model | 异质性检验Heterogeneity | 发表偏倚检验 Publication bias test | 数量 Number | ||
---|---|---|---|---|---|---|---|
Q | P | 潜在值 Potential size | 临界值 Critical size | ||||
Shannon指数 Shannon index | AM vs NF | 随机效应模型 Random effect model | 83.063 | 0.000 01 | 36 658.9 | 280 | 54 |
AM vs IF | 随机效应模型 Random effect model | 118.620 | 0.000 06 | 56 517.5 | 340 | 66 | |
Chao l指数 Chao l index | AM vs NF | 随机效应模型 Random effect model | 76.189 | 0.000 69 | 25 495.6 | 220 | 42 |
AM vs IF | 随机效应模型 Random effect model | 79.615 | 0.002 08 | 45 977.9 | 250 | 48 |
Fig. 1 Effect of manure application on soil bacterial diversity indexNote: The value of the horizontal axis corresponding to the diamond points in the figure represents the effect value (lnR++); the upper and lower bound of the horizontal line represents the 95% confidence interval; the numbers in the brackets on the right are data statistics.
Fig. 2 Effects of animal manure application on soil bacterial diversity index under different crop typesNote: The value of the horizontal axis corresponding to the diamond points in the figure represents the effect value (lnR++); the upper and lower bound of the horizontal line represents the 95% confidence interval; the numbers in the brackets on the right are data statistics.
Fig. 4 Effects of animal manure application on soil bacterial diversity index in different areasNote: The value of the horizontal axis corresponding to the diamond points in the figure represents the effect value (lnR++); the upper and lower bound of the horizontal line represents the 95% confidence interval; the numbers in the brackets on the right are data statistics.
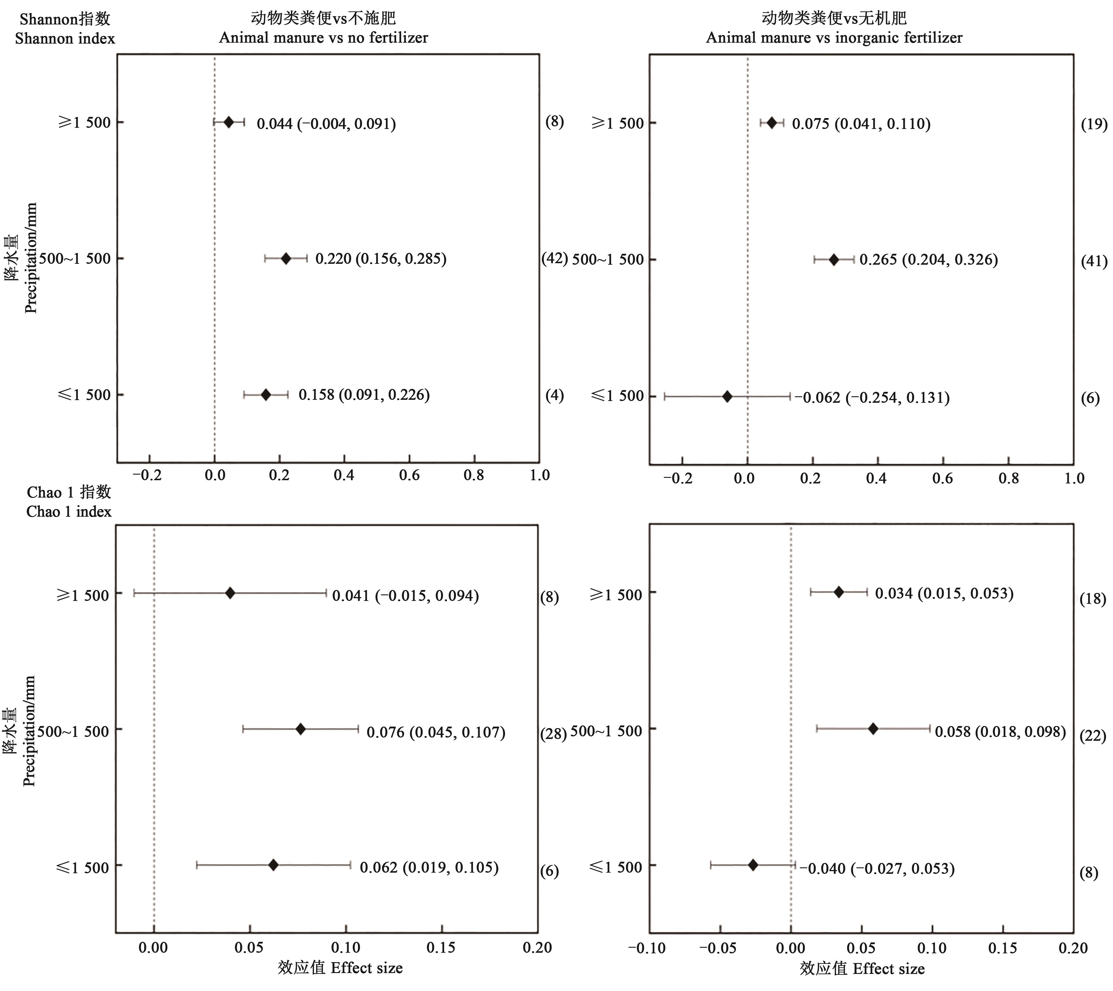
Fig. 5 effect of animal manure application on soil bacterial diversity index under different precipitationNote:The value of the horizontal axis corresponding to the diamond points in the figure represents the effect value (lnR++);the upper and lower bound of the horizontal line represents the 95% confidence interval; the numbers in the brackets on the right are data statistics.
Fig. 6 Effects of animal manure application on soil bacterial diversity index at different annual temperaturesNote:The value of the horizontal axis corresponding to the diamond points in the figure represents the effect value (lnR++);the upper and lower bound of the horizontal line represents the 95% confidence interval; the numbers in the brackets on the right are data statistics.
1 | RANVA S, SINGH Y V, JAIN N, et al.. Impact of safe rock® minerals, mineral fertilizers, and manure on the quantity and quality of the wheat yield in the rice-wheat cropping system [J]. Plants, 2022, 11(2): 183-198. |
2 | 赵秀东,陈晓芳,袁自然, 等. 有机肥替代对土壤养分的影响[J].中国农学通报,2022,38(16):74-80. |
ZHAO X D, CHEN X F, YUAN Z R, et al.. Organic fertilizer substitution: effects on soil nutrients [J]. Chin. Agric. Sci. Bull.,2022,38(16):74-80. | |
3 | 安祥瑞,江尚焘,谢昶琰, 等. 减施化肥配施有机肥对荔枝园土壤微生物区系的影响[J].应用生态学报,2022,33(4):1099-1108. |
AN X R, JIANG S T, XIE C Y, et al.. Effects of reducing chemical fertilizers combined with organic fertilizers on soil microbial community in litchi orchards [J]. Chin. J. Appl. Ecol., 2022,33( 4):1099-1108. | |
4 | SCHLOTER M, DILLY O, MUNCH J C. Indicators for evaluating soil quality [J]. Agric. Ecosyst. Environ., 2003, 98(1-3): 255-262. |
5 | 李玉林,徐承昱,胡雪, 等. 有机和常规施肥模式的土壤养分特征及对不同食味型粳稻产量和品质的影响[J]. 核农学报,2022,36(2):445-455. |
LI Y L, XU C Y, HU X, et al.. Soil nutrition characteristic of organic and conventional fertilization models and effects on yields and qualities of japonica rice of different palatability types [J]. Acta Agric. Nucl. Sin., 2022,36(2):445-455. | |
6 | 郝海婷, 王若愚, 赵霞, 等. 基于高通量测序技术的堆肥对兰州百合根际微生物多样性的影响 [J]. 西北农业学报, 2017, 26(3): 437-447. |
HAO H T, WANG R Y, ZHAO X, et al.. Effect of compost on rhizosphere microbial community of Lanzhou-Lily based on high throughput sequencing [J]. Acta Agric. Bor-Occid. Sin., 2017, 26(3): 437-447. | |
7 | GEISSELER D, SCOW K M. Long-term effects of mineral fertilizers on soil microorganisms–a review [J]. Soil Biol. Biochem., 2014, 75: 54-63. |
8 | STEWART W M, DIBB D W, JOHNSTON A E, et al.. The contribution of commercial fertilizer nutrients to food production [J]. Agron. J., 2005, 97(1): 1-6. |
9 | 李琳,向丹,武亚芬, 等. 长期不同施肥方式对日光温室番茄土壤养分和微生物群落结构的影响 [J].应用生态学报,2022,33(2):415-422. |
LI L, XIANG D, WU Y F, et al.. Effects of long-term different fertilization patterns on soil nutrients and microbial community structure of tomato in a solar greenhouse [J]. Chin. J. Appl. Ecol., 2022, 33(2):415-422 | |
10 | 张慧,余端,卢文才, 等. 不同减氮施肥模式对水稻土壤养分及可培养微生物数量的影响[J].农学学报,2021,11(9):33-37. |
ZHANG H, YU D, LU W C, et al.. Effects of different nitrogen reduction fertilization models on rice soil nutrients and the number of cultivable microorganism [J]. J. Agric. Sci., 2021,11(9):33-37. | |
11 | NADA R S, ASHMAWI A E, MADY E, et al.. Effect of organic manure and plant growth promoting microbes on yield, quality and essential oil constituents of fennel bulb (Foeniculum vulgare Mill.) [J]. J. Ecol. Eng., 2022, 23(5): 149-164. |
12 | MI W, CHEN C, MA Y, et al.. The combined application of mineral fertilizer and organic amendments improved the stability of soil water-stable aggregates and C and N accumulation [J/OL]. Agronomy, 2022, 12(2): 469 [2022-05-12]. . |
13 | 郭雨浓,刘宝玉,郑直, 等. 不同施肥对河套灌区瓜田土壤养分及甜瓜生长和养分利用的影响[J].水土保持学报,2021,35(4):230-236. |
GUO Y N, LIU B Y, ZHENG Z, et al.. Effects of different fertilizations on soil nutrients and muskmelon growth and nutrient utilization in the Hetao irrigation district [J]. J. Soil Water Conserv., 2021,35(4):230-236. | |
14 | BOUHIA Y, HAFIDI M, OUHDOUCH Y, et al.. Conversion of waste into organo-mineral fertilizers: current technological trends and prospects [J]. Rev. Environ. Sci. Biotechnol., 2022, 21: 425-446. |
15 | 刘强,穆兴民,王新民, 等. 长期不同施肥方式对旱地轮作土壤养分和作物产量的影响[J].干旱地区农业研究,2021,39(3):122-128. |
LIU Q, MU X M, WANG X M, et al.. Effects of different long-term fertilization on crop yield and soil nutrients under rotation planting in arid region [J]. Agric. Res. Arid Areas,2021,39(3):122-128. | |
16 | ZHOU J, GUAN D, ZHOU B, et al.. Influence of 34-years of fertilization on bacterial communities in an intensively cultivated black soil in northeast China [J]. Soil Biol. Biochem., 2015, 90: 42-51. |
17 | 再吐尼古丽·库尔班, 吐尔逊·吐尔洪, 山其米克, 等. 施肥对不同生育期甜高粱土壤养分含量的影响[J]. 草地学报,2021,29(1):103-113. |
Kuerban Zaituniguli, Tuerhong Tuerxun, Shanqimike, et al.. Study on the change of soil nutrient content in the growth period of sweet sorghum under different fertilization [J]. Acta Agrestia Sin., 2021,29(1):103-113. | |
18 | BEBBER D P, RICHARDS V R. A meta-analysis of the effect of organic and mineral fertilizers on soil microbial diversity [JOL]. Appl. Soil Ecol., 2022, 175: 104450 [2022-05-12]. . |
19 | BORENSTEIN M, HEDGES L V, HIGGINS J P T, et al.. Introduction to Meta-analysis [M]. New York:John Wiley & Sons, 2021:1-452. |
20 | WANG C, LIU D, BAI E. Decreasing soil microbial diversity is associated with decreasing microbial biomass under nitrogen addition [J]. Soil Biol. Biochem., 2018, 120: 126-133. |
21 | WANG S, AUGÉ R M, TOLER H D. Arbuscular mycorrhiza formation and its function under elevated atmospheric O3: a meta-analysis [J]. Environ. Pollut., 2017, 226: 104-117. |
22 | TRESEDER K K. Nitrogen additions and microbial biomass: a Meta-analysis of ecosystem studies [J]. Ecol. Lett., 2008, 11(10): 1111-1120. |
23 | WITTIG V E, AINSWORTH E A, NAIDU S L, et al.. Quantifying the impact of current and future tropospheric ozone on tree biomass, growth, physiology and biochemistry: a quantitative Meta-analysis [J]. Glob. Chang. Biol., 2009, 15(2): 396-424. |
24 | ZHANG H Y, LÜ X T, HARTMANN H, et al.. Foliar nutrient resorption differs between arbuscular mycorrhizal and ectomycorrhizal trees at local and global scales [J]. Glob. Ecol. Biogeogr., 2018, 27(7): 875-885. |
25 | 王晓娇, 张仁陟, 齐鹏, 等. Meta 分析有机肥施用对中国北方农田土壤CO2排放的影响[J]. 农业工程学报, 2019,35(10):99-107. |
WANG X J, ZHANG R S, QI P, et al.. Meta-analysis on farmland soil CO2 emission in Northern China affected by organic fertilizer [J]. Trans. Chin. Soc. Agric. Eng., 2019, 35(10): 99 -107. | |
26 | ROSENBERG M S, ADAMS D C, GUREVITCH J. MetaWin: Statistical Software for Meta-analysis with Resampling Tests [M]. Sunderland :Sinauer Associates, 1997. |
27 | QIU M, ZHANG R, XUE C, et al.. Application of bio-organic fertilizer can control fusarium wilt of cucumber plants by regulating microbial community of rhizosphere soil [J]. Biol. Fert. Soils, 2012, 48(7): 807-816. |
28 | 申云鑫,沈广材,包玲凤, 等. 烟草青枯病病株根际土壤可培养细菌多样性特征分析[J]. 西南农业学报, 2022, 35(4):871-878. |
SHEN Y X, SHEN G C, BAO L F,et al.. Diversity of culturable bacteria in rhizosphere soil of tobacco with bacterial wilt disease [J]. Southwest China J. Agric. Sci., 2022, 35(4):871-878. | |
29 | 王明友,张红,张桂祥.鸡粪配施尿素对扁豆根际微环境特征及产量、品质的影响[J].水土保持通报,2017,37(6):101-105, 112. |
WANG M Y, ZHANG H, ZHANG G X, et al.. Effect of chicken manure co-applied with urea on rhizospheric characteristics and yield, quality of Lablab Purpureus [J]. Bull. Soil Water Conserv., 2017,37(6):101-105, 112. | |
30 | 郭莹,王一明,巫攀, 等. 长期施用粪肥对水稻土中微生物群落功能多样性的影响[J].应用与环境生物学报,2019,25(3):593-602. |
GUO Y, WANG Y M, WU P, et al.. Influence of long-term manure application in paddy soil on the functional diversity of microbial community [J]. Chin. J. Appl. Environ., 2019, 25(3): 593-602. | |
31 | 付修勇,井大炜,段晓尘, 等. 不同施肥措施对德州市农田土壤生物学性状的影响[J].水土保持通报,2017,37(5):76-80, 85. |
FU X Y, JIN D W, DUAN X C, et al.. Effect of different fertilization measures on soil biological characteristics in farmland of Dezhou city [J]. Bull. Soil Water Conserv., 2017, 37(5):76-80, 85. | |
32 | CAI F, PANG G, LI R X, et al.. Bioorganic fertilizer maintains a more stable soil microbiome than chemical fertilizer for monocropping [J]. Biol. Fert. Soils, 2017, 53(8): 861-872. |
33 | 李焕苓,查晋燕,魏志远, 等. 化肥减施对荔枝园土壤微生物功能多样性的影响[J].中国土壤与肥料,2022(2):25-33. |
LI H L, ZHA J Y, WEI Z Y, et al.. Effects of chemical fertilizer reduction on the function diversity of soil microbial community in litchi orchard [J]. China Soils Fert., 2022(2):25-33. | |
34 | SHEN Z, WANG D, RUAN Y, et al.. Deep 16S rRNA pyrosequencing reveals a bacterial community associated with banana fusarium wilt disease suppression induced by bio-organic fertilizer application [J/OL]. PLoS One, 2014, 9(5): e98420 [2022-05-12] .. |
35 | CHANG H, ZHU X, JIE W U, et al.. Dynamics of microbial diversity during the composting of agricultural straw [J]. J. Integr. Agric., 2021, 20(5): 1121-1136. |
36 | 孔云, 张婷, 李刚, 等. 不同施肥措施对华北潮土区玉米田土壤线虫群落的影响[J]. 华北农学报, 2018, 33(6): 205-211. |
KONG Y, ZHANG T, LI G, et al.. Effects of different fertilization regimes on maize field nematode community in fluvo-aquic soil in North China [J]. Acta Agric. Boreali-Sin., 2018, 33(6): 205-211. | |
37 | 刘振香, 刘鹏, 贾绪存, 等. 不同水肥处理对夏玉米田土壤微生物特性的影响[J]. 应用生态学报, 2015, 26(1): 113-121. |
LIU Z X, LIU P, JIA X C, et al.. Effects of irrigation and fertilization on soil microbial properties in summer maize field [J]. Chin. J. Appl. Ecol., 2015, 26(1): 113-121. | |
38 | 李江涛, 罗甜甜, 杜满聪, 等. 畜禽粪肥添加及干湿交替强度对土壤微生物功能多样性的影响 [J]. 广东农业科学, 2018, 45(6): 68-77. |
LI J T, LUO T T, DU M C, et al.. Effects of livestock and poultry manure amendment and wetting-drying cycle on functional diversity of soil microbial community [J]. Guangdong Agric. Sci., 2018, 45(6): 68-77. | |
39 | WU L, CHEN J, WU H, et al.. Insights into the regulation of rhizosphere bacterial communities by application of bio-organic fertilizer in Pseudostellaria heterophylla monoculture regime [J/OL]. Front. Microbiol., 2016, 7: 1788[2022-05-12]. . |
40 | LIU Z, GUO Q, FENG Z, et al.. Long-term organic fertilization improves the productivity of kiwifruit (Actinidia chinensis Planch.) through increasing rhizosphere microbial diversity and network complexity [J/OL]. Appl. Soil Ecol., 2020, 147: 103426 [2022-05-12]. . |
41 | ZHAO J, LIU J, LIANG H, et al.. Manipulation of the rhizosphere microbial community through application of a new bio-organic fertilizer improves watermelon quality and health [J/OL]. PloS One, 2018, 13(2): e0192967 [2022-05-12]. . |
42 | CHEN X, LI Z, LIU M, et al.. Microbial community and functional diversity associated with different aggregate fractions of a paddy soil fertilized with organic manure and/or NPK fertilizer for 20 years [J]. J. Soils Sediments, 2015, 15(2): 292-301. |
43 | 张超, 周旭, 张海, 等. 苹果专用肥对旱地果园土壤酶活性以及微生物多样性的影响[J]. 生态学杂志, 2017, 36(12): 3485-3492. |
ZHANG C, ZHOU X, ZHANG H, et al.. Effect of apple special fertilizer on soil enzyme activities and functional diversity of microbial community in a non-irrigated apple orchard [J]. Chin. J. Ecol., 2017, 36(12): 3485-3492. | |
44 | QIU M, ZHANG R, XUE C, et al.. Application of bio-organic fertilizer can control fusarium wilt of cucumber plants by regulating microbial community of rhizosphere soil [J]. Biol. Fert. Soils, 2012, 48(7): 807-816. |
45 | ZHAOXIANG W, HUIHU L, QIAOLI L, et al.. Application of bio-organic fertilizer, not biochar, in degraded red soil improves soil nutrients and plant growth [J/OL]. Rhizosphere, 2020, 16: 100264 [2022-05-12]. . |
46 | ZHU L, JIA X, LI M, et al.. Associative effectiveness of bio-organic fertilizer and soil conditioners derived from the fermentation of food waste applied to greenhouse saline soil in Shandong province, China [J/OL]. Appl. Soil Ecol., 2021, 167: 104006 [2022-05-12]. . |
47 | LI W, ZHANG F, CUI G, et al.. Effects of bio-organic fertilizer on soil fertility, microbial community composition, and potato growth [J/OL]. Sci. Asia, 2021, 47: 347 [2022-05-12]. . |
48 | TRIPATHI B M, STEGEN J C, KIM M, et al.. Soil pH mediates the balance between stochastic and deterministic assembly of bacteria [J]. ISME J., 2018, 12(4): 1072-1083. |
49 | LIU S, WANG Z, NIU J, et al.. Changes in physicochemical properties, enzymatic activities, and the microbial community of soil significantly influence the continuous cropping of Panax quinquefolius L. (American ginseng) [J]. Plant Soil, 2021, 463(1): 427-446. |
50 | WU L, NING D, ZHANG B, et al.. Global diversity and biogeography of bacterial communities in wastewater treatment plants [J]. Nat. Microbiol., 2019, 4(7): 1183-1195. |
51 | BURNS R G, DEFOREST J L, MARXSEN J, et al.. Soil enzymes in a changing environment: current knowledge and future directions [J]. Soil Biol. Biochem., 2013, 58: 216-234. |
52 | 井大炜, 王明友, 张红, 等. 蚯蚓粪配施尿素对豇豆根系特征与根际土腐殖质的影响[J]. 农业机械学报, 2017, 48(1): 212-219. |
JING D W, WANG M Y, ZHANG H, et al.. Effects of vermicompost co-applied with urea on root characteristics and humus in rhizosphere soil of cowpea [J]. Trans. Chin. Soc. Agric. Mach., 2017, 48(1): 212-219. | |
53 | NEMERGUT D R, COSTELLO E K, MEYER A F, et al.. Structure and function of alpine and arctic soil microbial communities [J]. Res. Microbiol., 2005, 156(7): 775-784. |
54 | 侯萌,陈一民,焦晓光, 等. 两种气候条件下不同有机质含量农田黑土真菌群落结构特征[J].微生物学通报,2020,47(9):2822-2832. |
HOU M, CHEN Y M, JIAO X G, et al.. Characteristics of fungal community structure in arable mollisols with different organic matter content under two climatic conditions [J]. Mocrobiology, 2020,47(9):2822-2832. |
[1] | Yuefeng WANG, Chenyang ZHANG, Zhengming LUO, Jianhua LI, Ran LI, Nan SUN, Minggang XU. Effect of Adding Organic Materials on Microbial Residues in Farmland in China: A Meta-analysis [J]. Journal of Agricultural Science and Technology, 2025, 27(2): 180-191. |
[2] | Limin GAO, Zechen GU, Xuefei GONG, Lianming CUI, Dongsen GUO, Ying ZHOU, Lin WANG, Qishun WEI. Effects of Grass Growing on the Productivity of Orchard-Soil System in China: A Meta-Analysis [J]. Journal of Agricultural Science and Technology, 2024, 26(4): 184-194. |
[3] | Yongjin LIANG, Ruixuan ZHU, Beilei WEI, Xiaomai YUAN, Wuyang CHENG, Bo PENG, Ziting WANG, Jianyu WEI. Effect of Combined Application of Organic Fertilizer on Tobacco Leaf Quality in China: a Meta-analysis [J]. Journal of Agricultural Science and Technology, 2024, 26(12): 164-175. |
[4] | Jing GAO, Minggang XU, Ran LI, Zejiang CAI, Nan SUN, Qiang ZHANG, Lei ZHENG. Effects of Biochar Application on Soil pH: A Meta-Analysis [J]. Journal of Agricultural Science and Technology, 2023, 25(9): 186-196. |
[5] | Chenyang ZHANG, Minggang XU, Fei WANG, Ran LI, Nan SUN. Effects of Manure Application on Soybean Yield and Soil Nutrients in China [J]. Journal of Agricultural Science and Technology, 2023, 25(8): 148-156. |
[6] | Wenjun YANG, Yuting ZHU, Jie ZHANG, Kaixiang XU, Congmin WEI, Quanjia CHEN. Meta-analysis of QTL for Salt Tolerance-related Traits at Seeding Stage in Cotton [J]. Journal of Agricultural Science and Technology, 2023, 25(12): 26-34. |
[7] | WANG Haibin1,2, ZHANG Qingxu1, CHEN Xiaoting1, MA Xiaomao1, ZHAO Hu1,YE Jianghua2,3, KONG Xianghai1. Effect of Animal Manure on Soil Acidity and Microbe of Tea Tree Rhizosphere [J]. Journal of Agricultural Science and Technology, 2017, 19(5): 115-122. |
[8] | YIN Fu-bin1, JI Chao2, DONG Hong-min1*, TAO Xiu-ping1, CHEN Yong-xing1. Research Progress on Effect of Antibiotic on Anaerobic Digestion Treatment in Animal Manure [J]. Journal of Agricultural Science and Technology, 2016, 18(5): 171-177. |
[9] | LIU Yue1, MENG Hai-bo1*, SHEN Yu-jun1, CHENG Hong-sheng1, HOU Yue-qing1, LIU Hon. Studies on Resource Distribution and Gross Control of Animal and Poultry Manure in Hainan Province [J]. , 2015, 17(4): 114-121. |
[10] | MA Rui-juan1, DONG Hong-min1,2. Research Status about Main Factors Affecting Gas Emissions in Liquid Manure Storage [J]. , 2010, 12(3): 56-61. |
[11] | HUANG Ye-fei, DONG Hong-min, ZHU Zhi-ping, TAO Xiu-ping, HUANG Hong-kun . A Review on Thermo-Chemistry Conversion of Animal Manure [J]. , 2008, 10(4): 22-27. |
[12] | Tu De-yu, Dong Hong-min, Ding Wei-min, Shang Bin. Review of China Agricultural Science and Technology [J]. , 2007, 9(1): 59-63. |
Viewed | ||||||
Full text |
|
|||||
Abstract |
|
|||||