Journal of Agricultural Science and Technology ›› 2022, Vol. 24 ›› Issue (4): 85-92.DOI: 10.13304/j.nykjdb.2021.0676
• BIOTECHNOLOGY & LIFE SCIENCE • Previous Articles Next Articles
Ailin DAI(), Yonggang ZHANG(
), Qiang AI, Xichao TENG, Limin YANG(
)
Received:
2021-08-09
Accepted:
2021-10-20
Online:
2022-04-15
Published:
2022-04-19
Contact:
Yonggang ZHANG,Limin YANG
通讯作者:
张永刚,杨利民
作者简介:
代艾林 E-mail:1418896555@qq.com
基金资助:
CLC Number:
Ailin DAI, Yonggang ZHANG, Qiang AI, Xichao TENG, Limin YANG. Effects of Different Light Qualities on Growth, Physiological Characteristics and Flavonoids Accumulation of Epimedium koreanum[J]. Journal of Agricultural Science and Technology, 2022, 24(4): 85-92.
代艾林, 张永刚, 艾强, 滕熙超, 杨利民. 不同光质对朝鲜淫羊藿生长、生理和黄酮类成分积累的影响[J]. 中国农业科技导报, 2022, 24(4): 85-92.
Add to citation manager EndNote|Ris|BibTeX
URL: https://nkdb.magtechjournal.com/EN/10.13304/j.nykjdb.2021.0676
处理 Treatment | 株高 Plant height/cm | 茎粗 Stem diameter/mm | 叶面积 Leaf area/cm2 | 叶鲜重 Leaf fresh weight/g | 叶干重 Leaf dry weight/g |
---|---|---|---|---|---|
白光White light | 9.63±0.15 a | 4.83±0.31 a | 73.03±2.57 ab | 5.45±0.29 b | 2.08±0.10 c |
红光Red light | 10.17±0.35 a | 4.43±0.40 a | 70.03±2.72 b | 5.94±0.11 a | 2.19±0.15 bc |
黄光Yellow light | 10.43±0.50 a | 4.30±0.40 a | 75.75±3.72 a | 6.26±0.16 a | 2.62±0.08 a |
蓝光Blue light | 10.10±0.60 a | 4.17±0.38 a | 77.60±1.73 a | 6.17±0.34 a | 2.37±0.07 b |
Table 1 Growth indexes of Epimedium koreanum under different light quality
处理 Treatment | 株高 Plant height/cm | 茎粗 Stem diameter/mm | 叶面积 Leaf area/cm2 | 叶鲜重 Leaf fresh weight/g | 叶干重 Leaf dry weight/g |
---|---|---|---|---|---|
白光White light | 9.63±0.15 a | 4.83±0.31 a | 73.03±2.57 ab | 5.45±0.29 b | 2.08±0.10 c |
红光Red light | 10.17±0.35 a | 4.43±0.40 a | 70.03±2.72 b | 5.94±0.11 a | 2.19±0.15 bc |
黄光Yellow light | 10.43±0.50 a | 4.30±0.40 a | 75.75±3.72 a | 6.26±0.16 a | 2.62±0.08 a |
蓝光Blue light | 10.10±0.60 a | 4.17±0.38 a | 77.60±1.73 a | 6.17±0.34 a | 2.37±0.07 b |
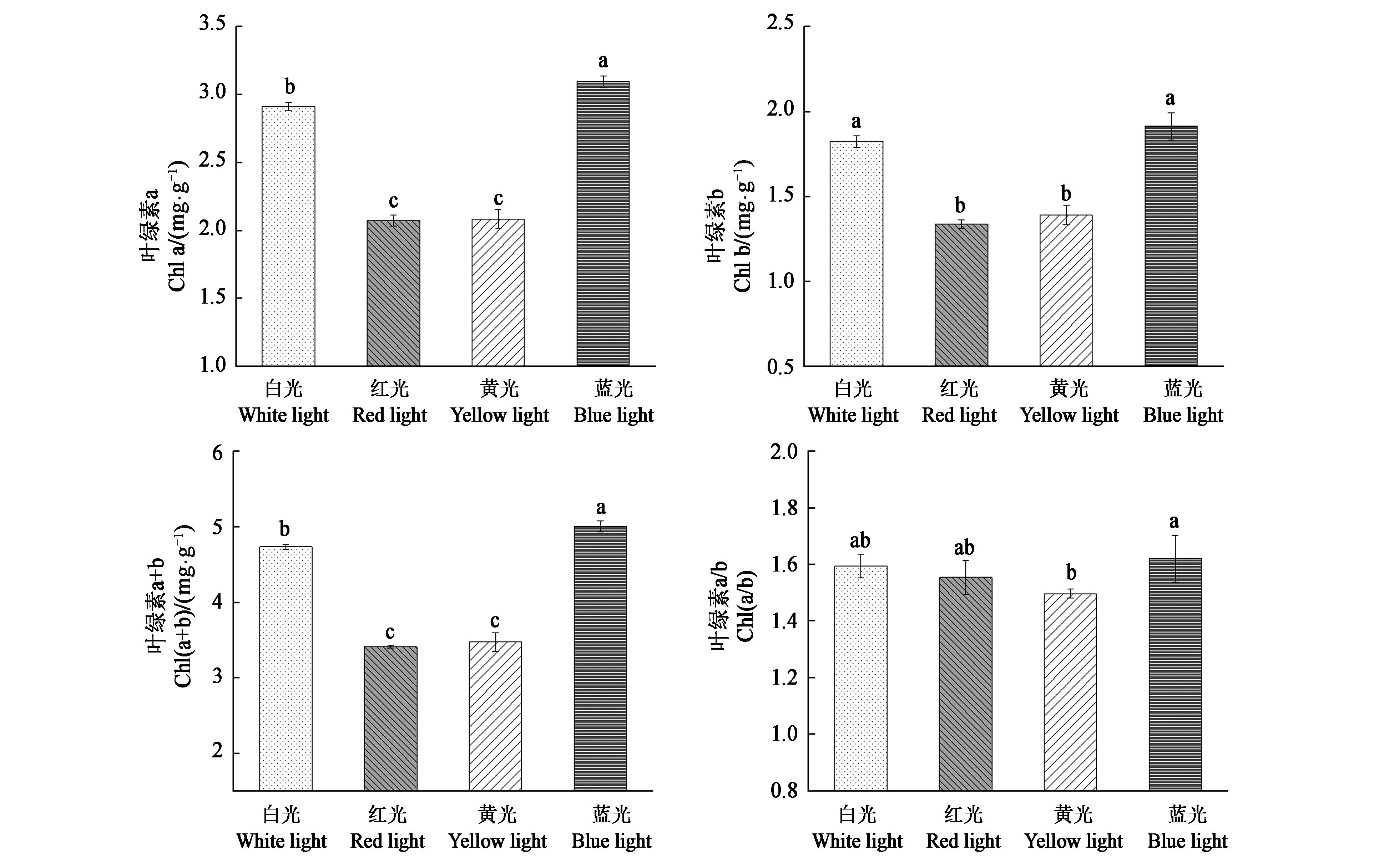
Fig. 1 Chlorophyll contents of Epimedium koreanum under different light qualityNote:Different lowercase letters indicate significant differences between different treatments at P<0.05 level.
Fig. 2 Photosynthetic parameters of Epimedium koreanum under different light qualityNote:Different lowercase letters indicate significant differences between different treatments at P<0.05 level.
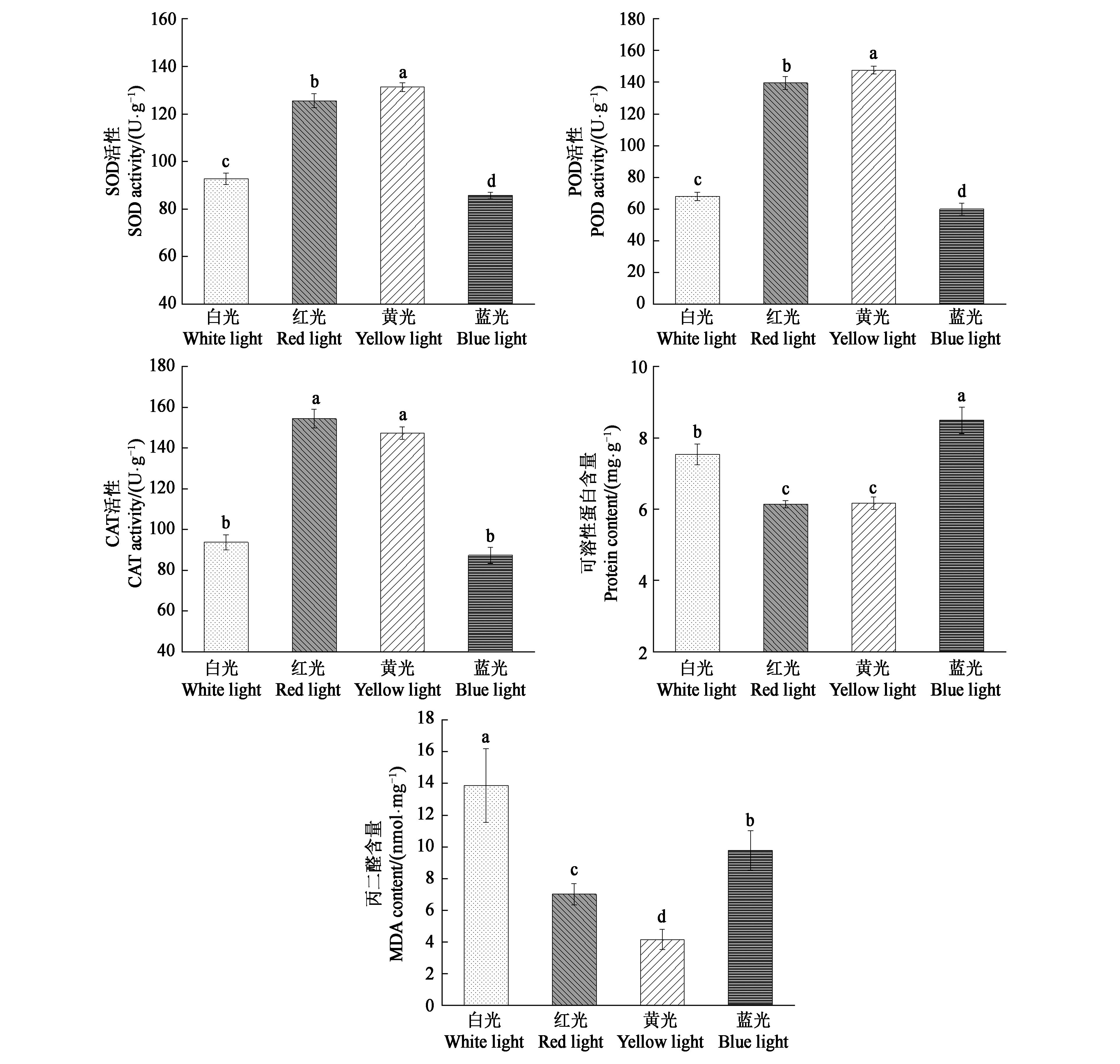
Fig. 3 Antioxidant enzyme activity, MDA and soluble protein content of Epimedium koreanum under different light qualityNote:Different lowercase letters indicate significant differences between different treatments at P<0.05 level.
处理 Treatment | 总黄酮 Total flavone/% | 朝藿定A Epimedin A/% | 朝藿定B Epimedin B/% | 朝藿定C Epimedin C/% | 淫羊藿苷 Icariin/% | 总黄酮醇苷 Total flavonol glycosides/% |
---|---|---|---|---|---|---|
白光White light | 18.223±0.096 b | 0.607±0.035 b | 0.659±0.025 c | 0.678±0.022 a | 0.767±0.045 b | 2.711±0.137 b |
红光Red light | 14.793±0.358 d | 0.447±0.025 c | 0.807±0.028 a | 0.453±0.035 b | 0.583±0.030 c | 2.290±0.204 c |
黄光Yellow light | 15.330±0.386 c | 0.440±0.036 c | 0.787±0.035 b | 0.387±0.039 c | 0.643±0.025 c | 2.257±0.065 c |
蓝光Blue light | 20.577±0.162 a | 0.727±0.021 a | 0.657±0.031 c | 0.683±0.031 a | 0.877±0.045 a | 2.944±0.052 a |
Table 2 Content of flavonoids in Epimedium koreanum under different light quality
处理 Treatment | 总黄酮 Total flavone/% | 朝藿定A Epimedin A/% | 朝藿定B Epimedin B/% | 朝藿定C Epimedin C/% | 淫羊藿苷 Icariin/% | 总黄酮醇苷 Total flavonol glycosides/% |
---|---|---|---|---|---|---|
白光White light | 18.223±0.096 b | 0.607±0.035 b | 0.659±0.025 c | 0.678±0.022 a | 0.767±0.045 b | 2.711±0.137 b |
红光Red light | 14.793±0.358 d | 0.447±0.025 c | 0.807±0.028 a | 0.453±0.035 b | 0.583±0.030 c | 2.290±0.204 c |
黄光Yellow light | 15.330±0.386 c | 0.440±0.036 c | 0.787±0.035 b | 0.387±0.039 c | 0.643±0.025 c | 2.257±0.065 c |
蓝光Blue light | 20.577±0.162 a | 0.727±0.021 a | 0.657±0.031 c | 0.683±0.031 a | 0.877±0.045 a | 2.944±0.052 a |
1 | 应俊生.淫羊藿属(小檗科)花瓣的演化和地理分布格局的研究[J].植物分类学报,2002,40(6):481-489. |
YING J S. Petal evolution and distribution patterns of Epimedium L. (Berberidaceae) [J]. Acta Phytotaxonomica Sin., 2002, 40(6):481-489. | |
2 | 国家药典委员会.中华人民共和国药典 (一部)[M].北京:中国医药科技出版社,2020:340-342. |
Chinese Pharmacopoeia Commission.Pharmacopoeia of the People′s Republic of China (VolumeⅠ) [M]. Beijing: China Medical Science Press, 2020:340-342. | |
3 | 张永刚,韩梅,韩忠明,等.不同生境朝鲜淫羊藿生长与光合特征[J].生态学报,2012,32(5):1442-1449. |
ZHANG Y G, HAN M, HAN Z M, et al.. Growth and photosynthetic characteristics of Epimedium koreanum Nakai in different habitats [J]. Acta Ecol. Sin., 2012, 32(5):1442-1449. | |
4 | 张玉彬,刘文科,杨其长,等.LED红蓝光对西洋参植株生长、产量和皂苷含量的影响[J].中国农业科技导报,2020,22(4):171-176. |
ZHANG Y B, LIU W K, YANG Q C, et al.. Effects of LED red and blue light on growth,yield and saponin content of american ginseng (Panax quinquefolius) [J]. J. Agric. Sci. Technol., 2020, 22(4):171-176. | |
5 | 冷平生,苏淑钗,王天华,等.光强与光质对银杏作用及黄酮苷与萜类内脂含量的影响[J].植物资源与环境学报,2002,11(1):1-4. |
LENG P S, SU S C, WANG T H, et al.. Effects of light intensity and light quality on photosynthesis, flavonol glycoside and terpene lactone contents of Ginkgo biloba L.seedlings [J]. J. Plant Resour. Environ., 2002, 11(1):1-4. | |
6 | YANG Q R, PAN J Q, SHEN G A, et al.. Yellow light promotes the growth and accumulation of bioactive flavonoids in Epimedium pseudowushanense [J]. J. Photochem. Photobiol. B, 2019, 197:111550-111556. |
7 | 罗燕,张永刚,杨利民,等.光照强度对朝鲜淫羊藿生长、光合和叶绿素荧光参数特征的影响[J].东北林业大学学报,2018,46(7):44-48, 58. |
LUO Y, ZHANG Y G, YANG L M, et al.. Effect of light intensity on growth,photosynthetic and fluorescence characteristics of Epimedium koreanum Nakai [J]. J. Northeast For.Univ., 2018, 46(7):44-48, 58. | |
8 | 刘蓬蓬,王晶,雷天莉,等.不同生长环境朝鲜淫羊藿结实及有效成分差异分析[J].沈阳药科大学学报,2014,31(6):488-492. |
LIU P P, WANG J, LEI T L, et al.. Difference analysis on fruiting characteristics and active components in the different habitats of Epimedium koreanum Nakai [J]. J. Shenyang Pharmaceutical Univ., 2014, 31(6):488-492. | |
9 | 高俊凤. 植物生理学实验指导[M].北京: 高等教育出版社,2006:1-287. |
10 | 梁宗锁,李倩,徐文晖.不同光质对丹参生长及有效成分积累和相关酶活性的影响[J].中国中药杂志,2012,37(12):2055-2060. |
LIANG Z S, LI Q, XU W H. Effects of different light quality on growth, active ingredients and enzymes activities of Salvia miltiorrhiza [J]. China J. Chin. Mat. Med., 2012, 37(12):2055-2060. | |
11 | 彭亮,赵停,杨冰月,等.不同光质光强对远志生长和相关酶活性及成分的影响[J].中草药,2018,49(21):5005-5009. |
PENG L, ZHAO T, YANG B Y, et al.. Effects of light quality and intensity on growth, related enzymes activity, and components of Polygala tenuifolia [J]. Chin. Trad. Herbal Drugs, 2018, 49(21):5005-5009. | |
12 | 谢德金,李静文,叶友杰,等.光质对草珊瑚幼苗生长及其生理生化基础的影响[J].草业学报,2020,29(8):104-115. |
XIE D J, LI J W, YE Y J, et al.. Effects of light quality on growth,and physiological and biochemical traits of Sarcandra glabra seedlings [J]. Acta Pratac. Sin., 2020, 29(8):104-115. | |
13 | 李小明,潘俊清,落艳娇,等.不同光强下光质对拟巫山淫羊藿生长发育和淫羊藿苷类黄酮含量的影响[J].中国中药杂志,2020,45(11):2502-2508. |
LI X M, PAN J Q, LUO Y J, et al.. Effects of light quality on growth and icariin flavonoid content of Epimedium pseudowushanense under different light intensity [J]. China J. Chin. Mat. Med., 2020, 45(11):2502-2508. | |
14 | JOHKAN M, SHOJI K, GOTO F, et al.. Blue light-emitting diode light irradiation of seedlings improves seedling quality and growth after transplanting in red leaf lettuce [J]. Hort. Sci., 2010, 45:1809-1814. |
15 | 张松勇.不同光质对紫苏光合特性的影响[J].热带作物学报,2017,38(3):444-449. |
ZHANG S Y. Effects of different led light qualities on photosynthetic characteristics of Basil [J]. Chin. J. Tropical Crops, 2017, 38(3):444-449. | |
16 | 程小燕,杨志玲,杨旭,等.不同光质对三叶崖爬藤生长及有效成分含量的影响[J].林业科学研究,2018,31(5):98-103. |
CHENG X Y, YANG Z L, YANG X, et al.. Effects of light quality on the growth and content of active ingredients of Tetrastigma hemsleyanum [J]. For. Res., 2018, 31(5):98-103. | |
17 | 卢素萍,赵铭钦,刘鹏飞,等.光质对烤烟叶片衰老过程中内源激素含量和膜脂过氧化的影响[J].中国农业科技导报,2016,18(6):44-51. |
LU S P, ZHAO M Q, LIU P F, et al.. Effect of light quality on endogenous hormone content and lipid peroxidation of membrane system during aging process of flue-cured tobacco leaf [J]. J. Agric. Sci. Technol., 2016, 18(6):44-51. | |
18 | 张鹏飞,刘亚令,梁建萍,等.不同光质处理对蒙古黄芪幼苗根系生物量及有效成分积累的影响[J].草地学报,2015,23(4):838-843. |
ZHANG P F, LIU Y L, LIANG J P, et al.. Effects of different light quality on growth and accumulation of active ingredient in Astragalus membranaceus [J]. Acta Pratac. Sin., 2015, 23(4):838-843. | |
19 | 赵德修,李茂寅,邢建民,等.光质、光强和光期对水母雪莲愈伤组织生长和黄酮生物合成的影响[J].植物生理学报,1999,25(2):127-132. |
ZHAO D X, LI M Y, XING J M, et al.. Effects of light on cell growth and flavonoids biosynthesis in callus cultures of Saussurea medusa Maxim [J]. Acta Phytophysiol. Sin., 1999, 25(2):127-132. | |
20 | GUO B, LIU Y G, YAN Q, et al.. Spectral composition of irradiation regulates the cell growth and flavonoids biosynthesis in callus cultures of Saussurea medusa Maxim [J]. Plant Growth Regul., 2007, 52:259-263. |
21 | THWE A A, KIM Y B, LI X, et al.. Effects of light-emitting diodes on expression of phenylpropanoid biosynthetic genes and accumulation of phenylpropanoids in Fagopyrum tataricum sprouts [J]. J. Agric. Food Chem., 2014, 62(21):4839-4845. |
22 | 潘俊倩,佟曦然,郭宝林,等.光对植物黄酮类化合物的影响研究进展[J].中国中药杂志,2016,41(20):3897-3903. |
PAN J Q, TONG X R, GUO B L, et al.. Progress of effects of light on plant flavonoids [J]. China J. Chin. Mat. Med., 2016, 41(20):3897-3903. | |
23 | 肖开前,赖荣才,林仁穗,等.不同培养方式对金线莲主要化学成分的影响[J].中药材,2014,37(4):553-556. |
XIAO K Q, LAI R C, LIN R S, et al.. Effects of different culture conditions on main chemical compositions of Anoectochilus roxburghii [J]. J. Chin. Med. Mat., 2014, 37(4):553-556. | |
24 | 刘洋,秦健,周明明,等.光质和基因型对青钱柳叶黄酮类化合物积累的影响[J].南京林业大学学报(自然科学版),2018,42(3):99-104. |
LIU Y, QIN J, ZHOU M M, et al.. Influence of light quality and genetype on flavonoid accumulation in the leaves of Cyclocarya paliurus [J]. J. Nanjing For. Univ. (Nat. Sci.), 2018, 42(3):99-104. |
[1] | Yanfang ZHU, Qiang CHANG, Yan HAO, Hailong CHEN. Effects of Reflective Film on Fruit Quality and Volatile Components of ‘Shine Muscat’ Grape [J]. Journal of Agricultural Science and Technology, 2025, 27(7): 72-82. |
[2] | Xin ZHAO, Zilong WU, Chao HAN, Hao ZHANG, Wei SONG, Ziyi LI. Effects of Arbuscular Mycorrhizal Fungi on Growth and Cadmium Enrichment of Setaria viridis Under Cadmium Stress [J]. Journal of Agricultural Science and Technology, 2025, 27(5): 193-202. |
[3] | Shuang LI, Aiying WANG, Zhen JIAO, Qing CHI, Hao SUN, Tao JIAO. Physiological and Chemical Characteristics and Transcriptome Analysis of Different Type of Wheat Seedlings Under Salt Stress [J]. Journal of Agricultural Science and Technology, 2024, 26(2): 20-32. |
[4] | Yu MIAO, Jie WANG, Yaoyao ZHAO, Lijia ZHANG, Meijun LIU. Study on Recovery Characteristics of Photosynthesis in Alfalfa Leaves After Low Temperature Stress [J]. Journal of Agricultural Science and Technology, 2024, 26(2): 80-89. |
[5] | Jingjuan GAO, Chenyu ZHU, Yuqin KE, Chaoyuan ZHENG, Chunying LI, Wenqing LI. Effects of Organic Fertilizer Application Period on Carbon and Nitrogen Metabolism in Flue-cured Tobacco Under Tobacco-Rice Rotation [J]. Journal of Agricultural Science and Technology, 2023, 25(9): 157-165. |
[6] | Xiaoting WANG, Pengpeng ZHANG. Phylogenic and Functional Profile of Ser/Thr Kinases in Synechocystis sp. PCC 6803 [J]. Journal of Agricultural Science and Technology, 2023, 25(5): 66-76. |
[7] | Lu MENG, Jingwen FAN, Xinyu SAI, Lusheng ZENG, Xiangyun SONG, Dejie CUI. Effects of Lime on Soil Improvement and Plant Growth in Apple Orchards [J]. Journal of Agricultural Science and Technology, 2023, 25(4): 197-204. |
[8] | MA Xingdong1, GUO Yehong1*, DU Tao2, LI Meiying3, XU Yingjie1, CHEN Xiaowei1, YAN Zongbang1, YANG Shaojie1, FENG Jinglu1. Effects of Nitrogen Application on Diurnal Variation of Photosynthesis and Yield of Two Lycium Species [J]. Journal of Agricultural Science and Technology, 2021, 23(4): 173-182. |
[9] | ZHANG Yubin, LIU Wenke, YANG Qichang, SHAO Mingjie, ZHA Lingyan, ZHOU Chengbo, LI Baoshi, WANG Qi. Effects of Different Ratios of LED Red and Blue Continuous Light on the Photosynthetic Characteristics, Yield and Quality of Lettuce Before Harvest [J]. Journal of Agricultural Science and Technology, 2021, 23(10): 66-73. |
[10] | HAO Zhenggang, ZHAO Huijun, WEI Yuqing*, ZENG Zhouqi, WANG Zhiheng. Physiological and Biochemical Responses of Sweet Sorghum to Cadmium Stress and Its Cadmium Accumulation [J]. Journal of Agricultural Science and Technology, 2021, 23(1): 30-42. |
[11] | YIN Yonggang, YUAN Junwei, LIU Changjiang, HAN Bin, LI Minmin, SUN Yan, JIA Nan, GUO Zijuan, ZHAO Shengjian*. Effects of NaCl Stress on Leaf Photosynthesis and Chlorophyll Fluorescence Parameters of Vitis sp. Rootstocks [J]. Journal of Agricultural Science and Technology, 2020, 22(8): 49-55. |
[12] | LIU Shidou1, ZHU Xinping1,2*, ZHAO Yi1, WANG Boyan1, HAN Yaoguang1, YANG Beibei1, LU Zhi1, JIA Hongtao1,2. Cotton Stalk Biochar Retarding Stress of Cadmium on Growth of Rice [J]. Journal of Agricultural Science and Technology, 2020, 22(4): 139-146. |
[13] | LI Meng, CHEN Dong, LI Xiuni, LI Linlin, WANG Ronghao, SHI Xiangdong*. Influenes of Exogenous Melatonin on Antioxidant and Photosynthetic Characteristics of Tobacco Seedlings Under Salt Stress [J]. Journal of Agricultural Science and Technology, 2019, 21(2): 141-147. |
[14] | WANG Jian, SHI Jing. Prediction Model of SVR Photosynthetic Rate Based on Chemotaxis-Improved Particle Swarm Optimization [J]. Journal of Agricultural Science and Technology, 2018, 20(12): 74-82. |
[15] | LIU Wenke. Research on Spectral Biology of Plant Factory with LED Lighting and Application Status [J]. Journal of Agricultural Science and Technology, 2018, 20(10): 9-14. |
Viewed | ||||||
Full text |
|
|||||
Abstract |
|
|||||