








Journal of Agricultural Science and Technology ›› 2022, Vol. 24 ›› Issue (8): 55-64.DOI: 10.13304/j.nykjdb.2021.0610
• BIOTECHNOLOGY & LIFE SCIENCE • Previous Articles Next Articles
Xiongfei JIAO(
), Jin YU, Leyong FENG, Yaodong GUO, Lisheng FAN
Received:2021-07-23
Accepted:2021-11-04
Online:2022-08-15
Published:2022-08-22
作者简介:焦雄飞E-mail:moon413@163.com
基金资助:CLC Number:
Xiongfei JIAO, Jin YU, Leyong FENG, Yaodong GUO, Lisheng FAN. Effect of Different Sowing Dates on the Expression of Grain DUS Testing Characteristics[J]. Journal of Agricultural Science and Technology, 2022, 24(8): 55-64.
焦雄飞, 于晋, 冯乐勇, 郭耀东, 樊丽生. 不同播期对谷子DUS测试性状的影响[J]. 中国农业科技导报, 2022, 24(8): 55-64.
Add to citation manager EndNote|Ris|BibTeX
URL: https://nkdb.magtechjournal.com/EN/10.13304/j.nykjdb.2021.0610
| 春谷 Spring foxtail millet | 品种来源 Source of variety | 夏谷 Summer foxtail millet | 品种来源 Source of variety | 杂交谷 Hybrid foxtail millet | 品种来源 Sourc of variety |
|---|---|---|---|---|---|
晋谷21号 Jingu 21 | 山西农业大学经济作物研究所 Institute of Cash Crops, Shanxi Agricultural University | 济糯谷2号 Jinuogu 2 | 山东省农业科学院 Shandong Academy of Agricultural Sciences | 张杂3号 Zhangza 3 | 张家口市农业科学院 Zhangjiakou Academy of Agricultural Sciences |
晋谷35号 Jingu 35 | 山西农业大学谷子研究所 Millet Research Institute, Shanxi Agricultural University | 济谷17 Jigu 17 | 山东省农业科学院 Shandong Academy of Agricultural Science | 张杂5号 Zhangza 5 | 张家口市农业科学院 Zhangjiakou Academy of Agricultural Sciences |
长农39号 Changnong 39 | 山西农业大学谷子研究所 Millet Research Institute, Shanxi Agricultural University | 济谷19 Jigu 19 | 山东省农业科学院 Shandong Academy of Agricultural Sciences | 张杂6号 Zhangza 6 | 张家口市农业科学院 Zhangjiakou Academy of Agricultural Sciences |
农大8号 Nongda 8 | 山西农业大学 Shanxi Agricultural University | 济谷20 Jigu 20 | 山东省农业科学院 Shandong Academy of Agricultural Sciences | 张杂10号 Zhangza 10 | 张家口市农业科学院 Zhangjiakou Academy of Agricultural Sciences |
公矮2号 Gongai 2 | 吉林省农业科学院作物研究所 Crop Research Institute, Jilin Academy of Agricultural Sciences | 济谷21 Jigu 21 | 山东省农业科学院 Shandong Academy of Agricultural Sciences | 张杂13号 Zhangza 13 | 张家口市农业科学院 Zhangjiakou Academy of Agricultural Sciences |
Table 1 Materials of this study
| 春谷 Spring foxtail millet | 品种来源 Source of variety | 夏谷 Summer foxtail millet | 品种来源 Source of variety | 杂交谷 Hybrid foxtail millet | 品种来源 Sourc of variety |
|---|---|---|---|---|---|
晋谷21号 Jingu 21 | 山西农业大学经济作物研究所 Institute of Cash Crops, Shanxi Agricultural University | 济糯谷2号 Jinuogu 2 | 山东省农业科学院 Shandong Academy of Agricultural Sciences | 张杂3号 Zhangza 3 | 张家口市农业科学院 Zhangjiakou Academy of Agricultural Sciences |
晋谷35号 Jingu 35 | 山西农业大学谷子研究所 Millet Research Institute, Shanxi Agricultural University | 济谷17 Jigu 17 | 山东省农业科学院 Shandong Academy of Agricultural Science | 张杂5号 Zhangza 5 | 张家口市农业科学院 Zhangjiakou Academy of Agricultural Sciences |
长农39号 Changnong 39 | 山西农业大学谷子研究所 Millet Research Institute, Shanxi Agricultural University | 济谷19 Jigu 19 | 山东省农业科学院 Shandong Academy of Agricultural Sciences | 张杂6号 Zhangza 6 | 张家口市农业科学院 Zhangjiakou Academy of Agricultural Sciences |
农大8号 Nongda 8 | 山西农业大学 Shanxi Agricultural University | 济谷20 Jigu 20 | 山东省农业科学院 Shandong Academy of Agricultural Sciences | 张杂10号 Zhangza 10 | 张家口市农业科学院 Zhangjiakou Academy of Agricultural Sciences |
公矮2号 Gongai 2 | 吉林省农业科学院作物研究所 Crop Research Institute, Jilin Academy of Agricultural Sciences | 济谷21 Jigu 21 | 山东省农业科学院 Shandong Academy of Agricultural Sciences | 张杂13号 Zhangza 13 | 张家口市农业科学院 Zhangjiakou Academy of Agricultural Sciences |
| 序号No. | 性状 Character | 类型 Type | 序号No. | 性状 Character | 类型 Type |
|---|---|---|---|---|---|
| 1 | 幼苗:猫耳叶顶端形状 Seedlings: the top shape of the cat’s ear leaves | PQ | 12 | 叶片:倒2叶宽度 Leaf:pour two leaves to width | QN |
| 2 | 幼苗:叶片颜色 Seedlings: leaf color | PQ | 13 | 穗:护颖颜色 Spike:strile lemma color | PQ |
| 3 | 幼苗:叶鞘颜色 Seedlings:leaf sheath color | PQ | 14 | 茎秆:长度 Stem:length | QN |
| 4 | 幼苗:叶姿 Seedlings:leaf shape | PQ | 15 | 茎秆:粗度 Stem:width | QN |
| 5 | 幼苗:叶枕花青甙显色 Seedlings: leaf pillow cyan | QN | 16 | 植株:颜色 Plant:color | PQ |
| 6 | 抽穗期 Heading period | QN | 17 | 植株:伸长节节间数 Plant:number of elongation internodes | QN |
| 7 | 植株:叶姿 Plant:leaf shape | PQ | 18 | 植株:成穗茎数 Plant:number of spike | QN |
| 8 | 穗:刚毛长度 Spike:bristle length | QN | 19 | 穗颈:姿态 Nack of spike:shape | PQ |
| 9 | 穗:刚毛颜色 Spike:bristle color | PQ | 20 | 穗颈:长度 Nack of spike:length | QN |
| 10 | 颖花:花药颜色 Flower:anther color | PQ | 21 | 穗:形状 Spike:shape | PQ |
| 11 | 叶片:倒2叶长度 Leaf:pour two leaves to length | QN | 22 | 穗:长度 Spike:length | QN |
Table 2 Observed character in this experiment
| 序号No. | 性状 Character | 类型 Type | 序号No. | 性状 Character | 类型 Type |
|---|---|---|---|---|---|
| 1 | 幼苗:猫耳叶顶端形状 Seedlings: the top shape of the cat’s ear leaves | PQ | 12 | 叶片:倒2叶宽度 Leaf:pour two leaves to width | QN |
| 2 | 幼苗:叶片颜色 Seedlings: leaf color | PQ | 13 | 穗:护颖颜色 Spike:strile lemma color | PQ |
| 3 | 幼苗:叶鞘颜色 Seedlings:leaf sheath color | PQ | 14 | 茎秆:长度 Stem:length | QN |
| 4 | 幼苗:叶姿 Seedlings:leaf shape | PQ | 15 | 茎秆:粗度 Stem:width | QN |
| 5 | 幼苗:叶枕花青甙显色 Seedlings: leaf pillow cyan | QN | 16 | 植株:颜色 Plant:color | PQ |
| 6 | 抽穗期 Heading period | QN | 17 | 植株:伸长节节间数 Plant:number of elongation internodes | QN |
| 7 | 植株:叶姿 Plant:leaf shape | PQ | 18 | 植株:成穗茎数 Plant:number of spike | QN |
| 8 | 穗:刚毛长度 Spike:bristle length | QN | 19 | 穗颈:姿态 Nack of spike:shape | PQ |
| 9 | 穗:刚毛颜色 Spike:bristle color | PQ | 20 | 穗颈:长度 Nack of spike:length | QN |
| 10 | 颖花:花药颜色 Flower:anther color | PQ | 21 | 穗:形状 Spike:shape | PQ |
| 11 | 叶片:倒2叶长度 Leaf:pour two leaves to length | QN | 22 | 穗:长度 Spike:length | QN |
| 序号No. | 性状 Character | 类型 Type | 序号No. | 性状 Character | 类型 Type |
|---|---|---|---|---|---|
| 23 | 穗:粗度 Spike:width | QN | 28 | 籽粒:千粒重 Grain:thousand seed weight | QN |
| 24 | 穗:穗码密度 Spike:grain density | QN | 29 | 籽粒:形状 Grain:shape | PQ |
| 25 | 穗:单码籽粒数 Spike:number of single grain | QN | 30 | 籽粒:颜色 Grain:color | PQ |
| 26 | 穗:单穗重 Spike:weight | QN | 31 | 颖果:颜色 Caryopsis:color | PQ |
| 27 | 穗:出谷率 Spike:the rate of the grain | QN | 32 | 籽粒:胚乳类型 Grain:endosperm type | QL |
Table 2 Observed character in this experiment
| 序号No. | 性状 Character | 类型 Type | 序号No. | 性状 Character | 类型 Type |
|---|---|---|---|---|---|
| 23 | 穗:粗度 Spike:width | QN | 28 | 籽粒:千粒重 Grain:thousand seed weight | QN |
| 24 | 穗:穗码密度 Spike:grain density | QN | 29 | 籽粒:形状 Grain:shape | PQ |
| 25 | 穗:单码籽粒数 Spike:number of single grain | QN | 30 | 籽粒:颜色 Grain:color | PQ |
| 26 | 穗:单穗重 Spike:weight | QN | 31 | 颖果:颜色 Caryopsis:color | PQ |
| 27 | 穗:出谷率 Spike:the rate of the grain | QN | 32 | 籽粒:胚乳类型 Grain:endosperm type | QL |
Fig. 2 Variation of visual observation characteristics of 15 varieties under different sowing datesNote:a—Jingu 21; b—Jingu 35; c—Changnong 39; d—Nongda 8; e—Gongai 2; f—Jinuogu 2; g—Jigu 17; h—Jigu 19; i—Jigu 20; j—Jigu 21; k—Zhangza 3; l—Zhangza 5; m—Zhangza 6;n—Zhangza 10; o—Zhangza 13.
Fig. 3 Coefficient of variation of the quantitative traits of 15 varieties under different sowing datesNote:a—Jingu 21; b—Jingu 35; c—Changnong 39; d—Nongda 8; e—Gongai 2; f—Jinuogu 2; g—Jigu 17; h—Jigu 19; i—Jigu 20; j—Jigu 21; k—Zhangza 3; l—Zhangza 5; m—Zhangza 6;n—Zhangza 10; o—Zhangza 13.
Fig. 4 Effects of sowing dates on the quantitative characteristics of the leaves of the milletNote:a—Jingu 21; b—Jingu 35; c—Changnong 39; d—Nongda 8; e—Gongai 2; f—Jinuogu 2; g—Jigu 17; h—Jigu 19; i—Jigu 20; j—Jigu 21; k—Zhangza 3; l—Zhangza 5; m—Zhangza 6;n—Zhangza 10; o—Zhangza 13. * and ** indicate significant differences at P<0.05 and P<0.01 levels, respectively.
Fig. 5 Effects of sowing dates on the quantitative traits of the grain stemsNote:a—Jingu 21; b—Jingu 35; c—Changnong 39; d—Nongda 8; e—Gongai 2; f—Jinuogu 2; g—Jigu 17; h—Jigu 19; i—Jigu 20; j—Jigu 21; k—Zhangza 3; l—Zhangza 5; m—Zhangza 6;n—Zhangza 10; o—Zhangza 13. * and ** indicate significant differences at P<0.05 and P<0.01 levels, respectively.
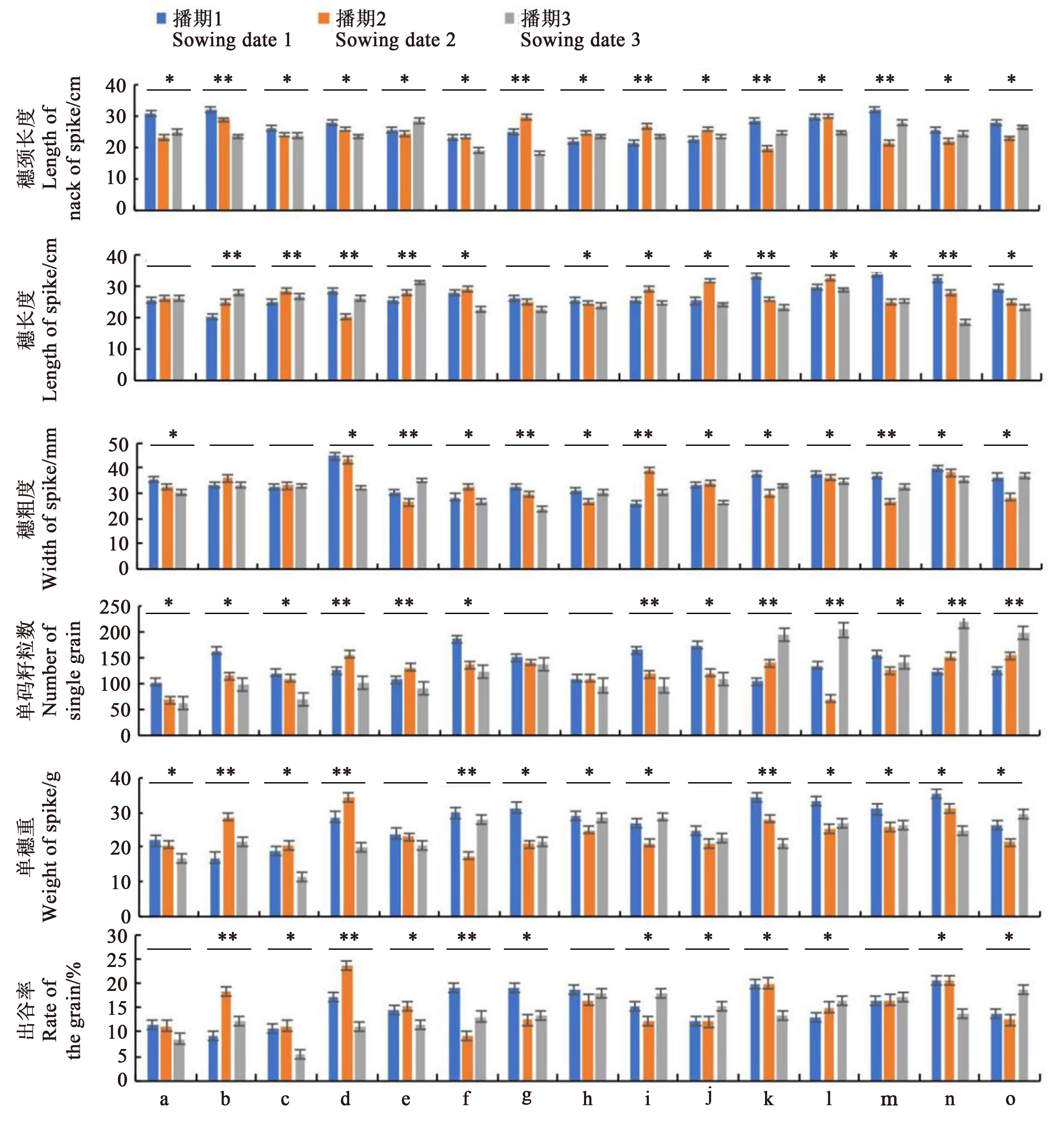
Fig. 6 Effects of sowing dates on the characteristics of grain spikesNote:a—Jingu 21; b—Jingu 35; c—Changnong 39; d—Nongda 8; e—Gongai 2; f—Jinuogu 2; g—Jigu 17; h—Jigu 19; i—Jigu 20; j—Jigu 21; k—Zhangza 3; l—Zhangza 5; m—Zhangza 6;n—Zhangza 10; o—Zhangza 13. * and ** indicate significant differences at P<0.05 and P<0.01 levels, respectively.
| 1 | 李志江,马金丰,李延东,等.东北春谷区近年来谷子育成品种的评价[J].中国农业科学, 2017, 50(23): 4507-4516. |
| LI Z J, MA J F, LI Y D, et al.. Evaluation of foxtail millet cultivars developed in Northeast China spring-sowing region in recent years [J]. Sci. Agric. Sin., 2017, 50(23): 4507-4516. | |
| 2 | 张野,王显瑞,赵禹凯,等.覆膜对谷子农艺性状、产量及土壤物理性质的影响[J].作物杂志, 2012(5): 153-158. |
| ZHANG Y, WANG X R, ZHAO Y K, et al.. The impacts of plastic film mulching on foxtail millet agronomic traits,yield and soil physical properties [J]. Crops, 2012(5): 153-158. | |
| 3 | 张锦鹏,王茅雁,白云凤,等.谷子品种抗旱性的苗期快速鉴定[J].植物遗传资源学报, 2005, 6(1): 59-62. |
| ZHANG J P, WANG M Y, BAI Y F, et al.. Rapid evaluation on drought tolerance of foxtail millet at seedling stage [J]. J. Plant Genetic Resour., 2005, 6(1): 59-62. | |
| 4 | 吕晓飞,王宏富,邢静熠,等.不均衡种植方式对谷子农艺性状及光合参数的影响[J].核农学报, 2016, 30(6): 1196-1203. |
| LYU X F, WANG H F, XING J Y, et al.. Effect of uneven planting on agronomic characters and photosynthetic characteristics of foxtail millet [J]. J. Nucl. Agric. Sci., 2016, 30(6): 1196-1203. | |
| 5 | 杨江龙,李硕碧,杜联盟,等.玉米DUS测试性状在春播与夏播间的表达差异研究[J].玉米科学, 2015, 23(4): 43-47. |
| YANG J L, LI S B, DU L M, et al.. Expression differences of maize DUS characteristics in spring sowing and summer sowing [J]. J. Maize. Sci., 2015, 23(4): 43-47. | |
| 6 | 付国庆,纪军建,霍阿红,等.国内谷子DUS测试中存在问题及建议[J].中国种业, 2020(6): 37-39. |
| 7 | 张艾英,刁现民,郭二虎,等.西北春谷早熟区谷子品种十五年变化趋势及主要性状分析[J]. 中国农业科学, 2017, 50(23): 4496-4506. |
| ZHANG A Y, DIAO X M, GUO E H, et al.. Research progress and major traits of foxtail millet cultivars developed in the early-mature spring-sowing region in the past 15 years [J]. Sci. Agric. Sin., 2017, 50(23): 4496-4506. | |
| 8 | 王天宇,赵治海,闫洪波,等.谷子抗除草剂基因从栽培种向其近缘野生种漂移的研究[J].作物学报, 2001, 27(6): 681-687. |
| WANG T Y, ZHAO Z H, YAN H B, et al.. Gene flow from cultivated herbicide-resistant foxtail millet to its wild relatives: a basis for risk assessment of the release of transgenic millet [J]. Acta Agron. Sin., 2001, 27(6): 681-687. | |
| 9 | 牛玉红,黎裕,石云素,等. 谷子抗除草剂“拿捕净”基因的AFLP标记[J].作物学报, 2002, 28(3): 359-362. |
| NIU Y H, LI Y, SHI Y S, et al.. AFLP Mapping for the gene conferring sethoxydim resistance in foxtail millet (Setaria italica (L.) Beauv.) [J]. Sci. Agric. Sin., 2002, 28(3): 359-362. | |
| 10 | 程璐, 陈鑫, 张涵, 等. 低氮胁迫对不同品种谷子生长及产量的影响[J]. 山东农业科学, 2016, 48(10): 103-106. |
| CHENG L, CHEN X, ZHANG H, et al.. Effects of low nitrogen stress on growth and yield of different cultivars of foxtail millet [J]. Shandong Agric. Sci., 2016, 48(10): 103-106. | |
| 11 | 何继红,杨天育,吴国忠. 肃省谷子地方品种营养品质的分析与评价[J].植物遗传资源科学, 2002, 3(1): 41-44. |
| HE J H, YANG T Y, WU G Z. Evaluation on nutritive quality of local varieties for foxtail millet in Gansu province [J]. J. Plant Genetic Resour., 2002, 3(1): 41-44. | |
| 12 | 张爱霞,刘晓东,王桂荣,等.谷子主要营养品质性状遗传差异与选择研究[J].中国农学通报, 2012, 28(21): 58-62. |
| ZHANG A X, LIU X D, WANG G R, et al.. Studies on genetic effects and selection of important nutrient quality characters in millet [J]. China Agric. Sci. Bull., 2012, 28(21): 58-62. | |
| 13 | 刁现民,李伟,赵治海,等. 植物品种特异性、一致性和稳定性测试指南 谷子: [S].北京:中国农业出版社, 2013. |
| 14 | 刘迪发,徐丽,张如莲,等.设施栽培对玉米DUS测试性状及产量相关性状表达的影响[J]. 中国农学通报, 2014, 30(27): 192-197. |
| LIU D F, XU L, ZHANG R L, et al.. The influence of facility cultivation on the expression of related characteristics in DUS testing and yield of Zea mays L. [J]. China Agric. Sci. Bull., 2014, 30(27): 192-197. | |
| 15 | 陈海荣,杨华,王加红,等.基于DUS测试性状的玉米标准品种形态多样性分析[J].玉米科学, 2015, 23(2): 46-51. |
| CHEN H R, YANG H, WANG J H, et al.. Diversity analysis on morphological characteristics of the example varieties based on maize DUS testing [J]. J. Maize Sci., 2015, 23(2): 46-51. | |
| 16 | 刘杨.主要农作物品种审定办法[EB/OL]. (2016-07-14)[2021-08-23]. . |
| [1] | Wen HU, Pengpeng ZHANG, Liping ZHUANG, Pengli WANG, Yangjun ZOU. Effects of Clover Mulch on Soil Physical and Chemical Properties and Leaf Physiological Characteristics in Dryland Apple Orchards [J]. Journal of Agricultural Science and Technology, 2025, 27(9): 193-203. |
| [2] | Yishuai YANG, Lin TAN, Li NIU, Ping SHU, Zihan SHI, Jie FANG, Qiulong HU. Biological Characteristics and Fungicides Screening in Laboratory of Fusarium cugenangense Causing Camellia sinensis Root Rot [J]. Journal of Agricultural Science and Technology, 2025, 27(7): 133-141. |
| [3] | Ran ZHANG, Yong GAO, Yumei LIANG, Xiaohong DANG, Miaomiao GAO, Hongyi LIU, Xueqin GAO. Effects of Two Aerial Plants on Soil Particle Composition and Organic Matter in Crust Soil [J]. Journal of Agricultural Science and Technology, 2025, 27(7): 172-181. |
| [4] | Weiming WANG, Xin PAN, Deping KONG, Yu AN, Shuang GUO, Zhimei SUN, Cheng XUE, Rongjun SUN, Wenqi MA, Huasen XU. Spatiotemporal Characteristics and Their Influencing Factors of Crop Diversification in China [J]. Journal of Agricultural Science and Technology, 2025, 27(6): 16-27. |
| [5] | Xinwei XUE, Dan LIU, Shi ZHANG, Wenyu HAN, Ankang MU, Zhikun YU, Fan YANG, Yahui WEN, Jialin ZHANG, Yongping ZHANG, Xianrui WANG. Comprehensive Evaluation and Screening of Drought Resistance of 86 Millet Germplasm Resources During Germination Period [J]. Journal of Agricultural Science and Technology, 2025, 27(6): 39-51. |
| [6] | Jianglin LAN, Rongfeng XIAO, Jieping WANG, Haifeng ZHANG, Bo LIU. Effects of Integrated Microbiome Agent on Tomato Plant Growth and Rhizosphere Bacterial Community Diversity [J]. Journal of Agricultural Science and Technology, 2025, 27(5): 173-181. |
| [7] | Guangyao LI, Shenglong YANG, Tianfei CHENG, Xuesen CUI, Weifeng ZHOU, Shengmao ZHANG. Analysis of Environmental Characteristics and Forecast Status of Tuna Fisheries in Central and Western Pacific [J]. Journal of Agricultural Science and Technology, 2025, 27(5): 203-221. |
| [8] | Xiaodan WU, Li GAO, Tiangeng GONG, Xiangfeng KONG, Yuzhou JIANG, Guixia JIA. Effects of Microbial Fertilizer and Humic Acid Compound Fertilizer on Growth and Photosynthetic Characteristics of Lilium [J]. Journal of Agricultural Science and Technology, 2025, 27(4): 221-229. |
| [9] | ling QIN, Yanke WANG, Erying CHEN, Yanbing YANG, Feifei LI, Mengyuan ZHANG, Yanan GUAN. Analysis of Physiological Characteristics About ABA Alleviating Foxtail Millet Seedling Stage Under Drought Stress [J]. Journal of Agricultural Science and Technology, 2025, 27(4): 36-44. |
| [10] | Yanxia MA, Jingru CHEN, Xiaowei WANG, Yuxin ZHANG, Junfeng ZHANG, Jialin KUAI. Effects of Irrigation Lower Limit and Fertilizer Application Amount on Water Consumption and Photosynthetic Characteristics of Mini Chinese Cabbage Under Drip Irrigation [J]. Journal of Agricultural Science and Technology, 2025, 27(3): 239-249. |
| [11] | Shixu QU, Yu SUN, Yizhen SUO, Haipeng YUAN, Yuhong ZHANG. Effects of Exogenous Calcium on Physiological Characteristics and Secondary Metabolites of Cannabis sativa L. Under Salt Stress [J]. Journal of Agricultural Science and Technology, 2025, 27(2): 80-88. |
| [12] | Zhichao REN, Yaohui MU, Xuyang YAO, Shue LI, Yongfeng ZHANG, Tianbao REN, Guoshun LIU, Quanyu YIN. Physiological Response of Tobacco Infected by Phytophthora to Trichoderma harzianum Inoculation Sequence [J]. Journal of Agricultural Science and Technology, 2025, 27(1): 155-164. |
| [13] | Tingting LIU, Xiyu HAO, Hui WANG, Jingwen LENG, Shihang GONG, Wei LIU. Correlation Analysis Between Yield and Agronomical Traits of Different Foxtail Millet Varieties in Semi-arid Area of Western Jilin Province [J]. Journal of Agricultural Science and Technology, 2025, 27(1): 50-60. |
| [14] | Shifeng MU, Xiaolei WEN, Lina FENG, Dexuan ZHAO, Suhong GAO, Peng GAO, Huixia QI. Identification and Biological Characteristics of a Colletotrichum fructicola Causing Chestnut Internal Rot Disease [J]. Journal of Agricultural Science and Technology, 2024, 26(9): 122-128. |
| [15] | Ziqin LI, Jiaqiang WANG, Zhen LI, Deqiu ZOU, Xiaogong ZHANG, Xiaoyu LUO, Weiyang LIU. Estimation of Chlorophyll Density of Cotton Leaves Based on Spectral Index [J]. Journal of Agricultural Science and Technology, 2024, 26(8): 103-111. |
| Viewed | ||||||
|
Full text |
|
|||||
|
Abstract |
|
|||||
京公网安备11010802021197号