Journal of Agricultural Science and Technology ›› 2022, Vol. 24 ›› Issue (5): 157-169.DOI: 10.13304/j.nykjdb.2021.0107
• BIO-MANUFACTURING & RESOURCE AND ECOLOGY • Previous Articles Next Articles
Zhenjia HE1,2(), Tongle SHI1,3, Yuliang FU4(
), Liangjun FEI5
Received:
2021-01-29
Accepted:
2021-04-15
Online:
2022-05-15
Published:
2022-06-06
Contact:
Yuliang FU
何振嘉1,2(), 史仝乐1,3, 傅渝亮4(
), 费良军5
通讯作者:
傅渝亮
作者简介:
何振嘉 E-mail:471128226@qq.com;
基金资助:
CLC Number:
Zhenjia HE, Tongle SHI, Yuliang FU, Liangjun FEI. Effect of Emitter Spacing on Nitrogen Transport Characteristics of Intersecting Two Point Sources in Bubbled-root Irrigation[J]. Journal of Agricultural Science and Technology, 2022, 24(5): 157-169.
何振嘉, 史仝乐, 傅渝亮, 费良军. 灌水器间距对涌泉根灌双点源交汇入渗水氮运移特性影响研究[J]. 中国农业科技导报, 2022, 24(5): 157-169.
Add to citation manager EndNote|Ris|BibTeX
URL: https://nkdb.magtechjournal.com/EN/10.13304/j.nykjdb.2021.0107
灌水器间距 Irrigation device spacing/cm | K | α | R² |
---|---|---|---|
40 | 2.826 | 0.716 | 0.962** |
50 | 2.581 | 0.738 | 0.947** |
60 | 2.341 | 0.769 | 0.953** |
Table 1 The fitting parameters for cumulative infiltration
灌水器间距 Irrigation device spacing/cm | K | α | R² |
---|---|---|---|
40 | 2.826 | 0.716 | 0.962** |
50 | 2.581 | 0.738 | 0.947** |
60 | 2.341 | 0.769 | 0.953** |
灌水器间距 Irrigation device spacing/cm | 竖直向上 Vertically upward | 竖直向下 Vertically downward | ||||
---|---|---|---|---|---|---|
a | b | R² | a | b | R² | |
40 | 2.628 | 0.468 | 0.973** | 2.222 | 0.534 | 0.936** |
50 | 2.056 | 0.517 | 0.950** | 1.731 | 0.580 | 0.964** |
60 | 1.716 | 0.550 | 0.952** | 1.419 | 0.606 | 0.955** |
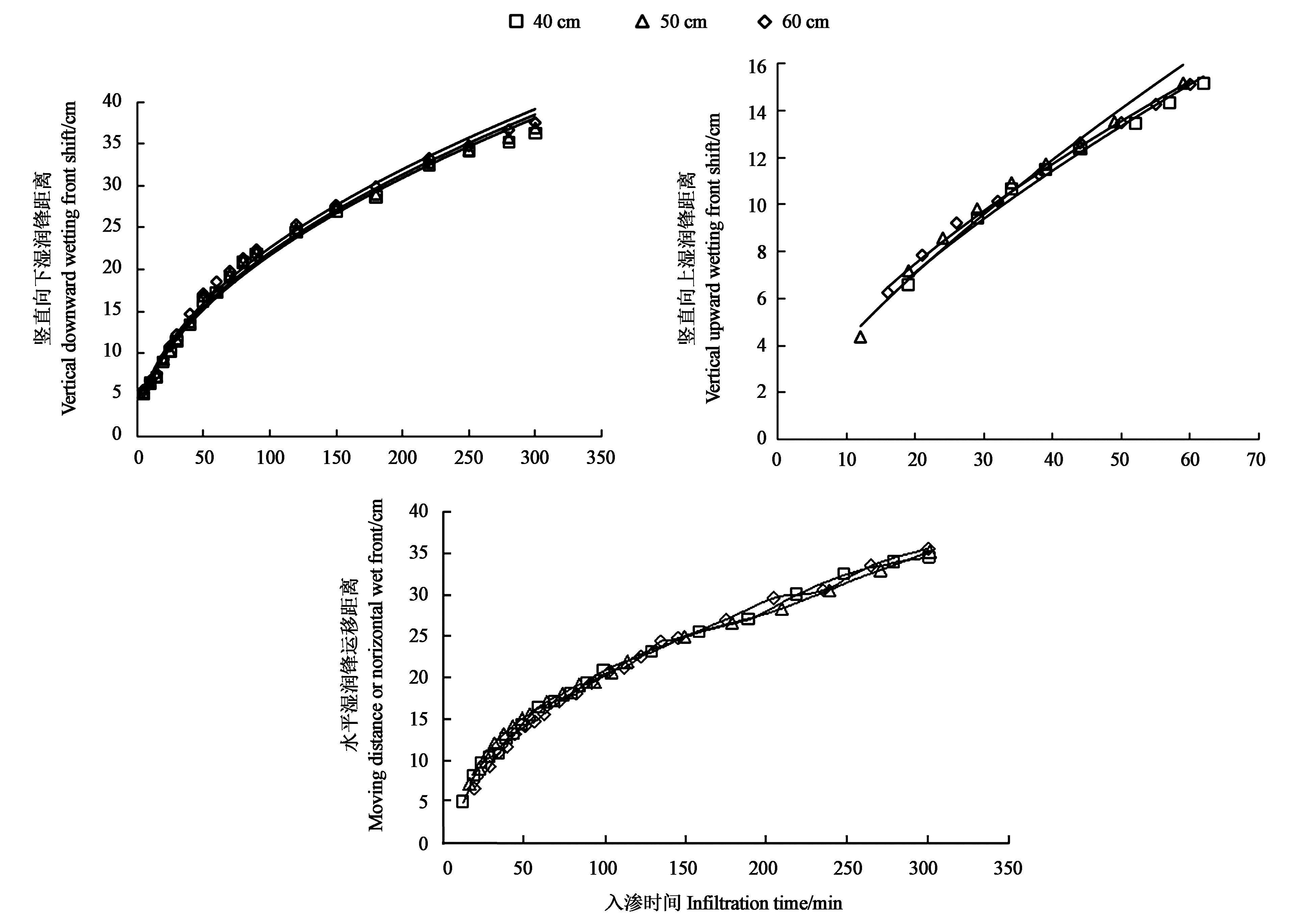
Table 2 Wet front transfer distance fitting result at the intersection
灌水器间距 Irrigation device spacing/cm | 竖直向上 Vertically upward | 竖直向下 Vertically downward | ||||
---|---|---|---|---|---|---|
a | b | R² | a | b | R² | |
40 | 2.628 | 0.468 | 0.973** | 2.222 | 0.534 | 0.936** |
50 | 2.056 | 0.517 | 0.950** | 1.731 | 0.580 | 0.964** |
60 | 1.716 | 0.550 | 0.952** | 1.419 | 0.606 | 0.955** |
入渗时间 Infiltration time/min | 竖直向下Vertically downward | 竖直向上 Vertically upward | ||||
---|---|---|---|---|---|---|
实测值 Measured value/mm | 拟合值 Simulated value/mm | 相对误差Relative error/% | 实测值 Measured value/mm | 拟合值 Simulated value/mm | 相对误差Relative error/% | |
5 | 4.5 | 4.36 | -3.13 | 4.6 | 4.72 | 2.61 |
10 | 6.5 | 6.49 | -0.15 | 7.2 | 6.73 | -6.53 |
15 | 7.9 | 8.19 | 3.67 | 8.1 | 8.28 | 2.22 |
21 | 10.0 | 9.93 | -0.70 | 9.7 | 9.83 | 1.34 |
28 | 12.2 | 11.71 | -4.02 | 11.5 | 11.39 | -0.96 |
33 | 14.0 | 12.87 | 8.07 | 13.0 | 12.39 | -4.69 |
39 | 14.5 | 14.17 | 2.27 | 13.8 | 13.50 | -2.17 |
44 | 15.3 | 15.18 | -0.78 | 14.5 | 14.36 | -0.96 |
49 | 16.5 | 16.15 | 2.12 | 15.0 | 15.17 | 1.13 |
54 | 17.3 | 17.08 | -1.27 | — | — | — |
62 | 19.2 | 18.49 | 3.69 | — | — | — |
67 | 19.8 | 19.33 | -2.37 | — | — | — |
72 | 21.2 | 20.14 | -5.00 | — | — | — |
80 | 21.8 | 21.40 | -1.83 | — | — | — |
85 | 22.2 | 22.15 | -0.22 | — | — | — |
Table 3 Measured value and the simulated value of the wet front transfer distance at the intersection
入渗时间 Infiltration time/min | 竖直向下Vertically downward | 竖直向上 Vertically upward | ||||
---|---|---|---|---|---|---|
实测值 Measured value/mm | 拟合值 Simulated value/mm | 相对误差Relative error/% | 实测值 Measured value/mm | 拟合值 Simulated value/mm | 相对误差Relative error/% | |
5 | 4.5 | 4.36 | -3.13 | 4.6 | 4.72 | 2.61 |
10 | 6.5 | 6.49 | -0.15 | 7.2 | 6.73 | -6.53 |
15 | 7.9 | 8.19 | 3.67 | 8.1 | 8.28 | 2.22 |
21 | 10.0 | 9.93 | -0.70 | 9.7 | 9.83 | 1.34 |
28 | 12.2 | 11.71 | -4.02 | 11.5 | 11.39 | -0.96 |
33 | 14.0 | 12.87 | 8.07 | 13.0 | 12.39 | -4.69 |
39 | 14.5 | 14.17 | 2.27 | 13.8 | 13.50 | -2.17 |
44 | 15.3 | 15.18 | -0.78 | 14.5 | 14.36 | -0.96 |
49 | 16.5 | 16.15 | 2.12 | 15.0 | 15.17 | 1.13 |
54 | 17.3 | 17.08 | -1.27 | — | — | — |
62 | 19.2 | 18.49 | 3.69 | — | — | — |
67 | 19.8 | 19.33 | -2.37 | — | — | — |
72 | 21.2 | 20.14 | -5.00 | — | — | — |
80 | 21.8 | 21.40 | -1.83 | — | — | — |
85 | 22.2 | 22.15 | -0.22 | — | — | — |
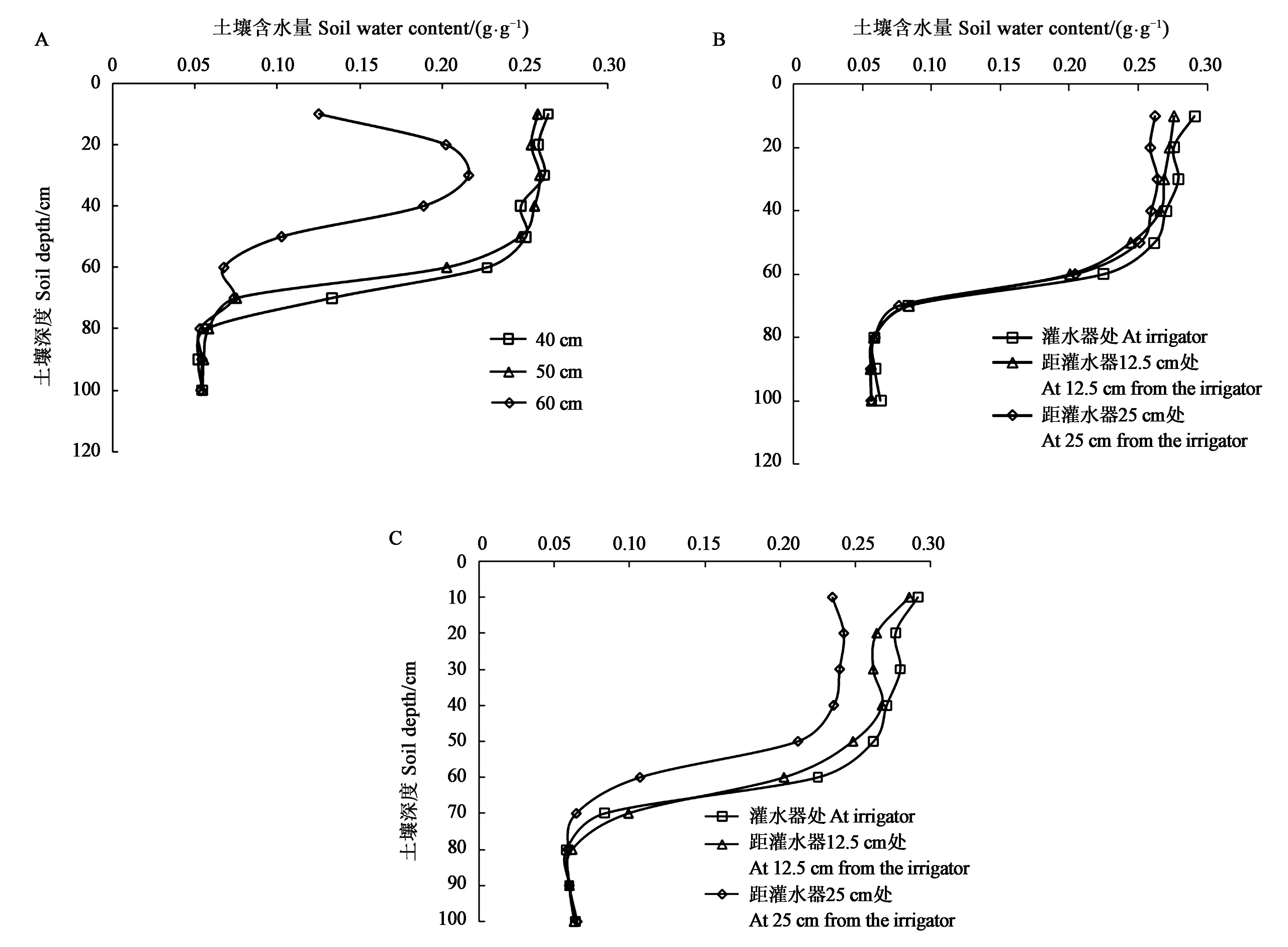
Fig.5 Soil moisture content at different positions from the center of the irrigatorA: Moisture content curve at 25 cm from the center of the irrigator;B:Moisture curve under the conditions of different emitter depth;C: Water content curve of the free infiltration side at 15 cm from the center of the irrigator
坐标 Coordinate (x,z) | 实测值 Measured value/% | 模拟值 Simulated value/% | 相对误差 Relative error/% | |||
---|---|---|---|---|---|---|
交汇入渗侧Intersection infiltration side | 自由入渗侧Free infiltration side | 交汇入渗侧Intersection infiltration side | 自由入渗侧Free infiltration side | 交汇入渗侧Intersection infiltration side | 自由入渗侧Free infiltration side | |
(0,40) | 26.800 | 26.800 | 26.284 | 24.796 | -1.925 | -7.477 |
(0,50) | 26.251 | 26.251 | 27.965 | 25.195 | 6.529 | -4.022 |
(10,30) | 26.886 | 26.456 | 27.219 | 26.616 | 1.239 | 0.605 |
(10,50) | 26.055 | 21.469 | 27.381 | 20.253 | 5.089 | -5.664 |
(20,20) | 26.290 | 24.776 | 27.853 | 26.746 | 5.945 | 7.951 |
(20,40) | 25.200 | 20.979 | 25.212 | 21.643 | 0.049 | 3.165 |
Table 4 Measured value and simulated value of soil moisture
坐标 Coordinate (x,z) | 实测值 Measured value/% | 模拟值 Simulated value/% | 相对误差 Relative error/% | |||
---|---|---|---|---|---|---|
交汇入渗侧Intersection infiltration side | 自由入渗侧Free infiltration side | 交汇入渗侧Intersection infiltration side | 自由入渗侧Free infiltration side | 交汇入渗侧Intersection infiltration side | 自由入渗侧Free infiltration side | |
(0,40) | 26.800 | 26.800 | 26.284 | 24.796 | -1.925 | -7.477 |
(0,50) | 26.251 | 26.251 | 27.965 | 25.195 | 6.529 | -4.022 |
(10,30) | 26.886 | 26.456 | 27.219 | 26.616 | 1.239 | 0.605 |
(10,50) | 26.055 | 21.469 | 27.381 | 20.253 | 5.089 | -5.664 |
(20,20) | 26.290 | 24.776 | 27.853 | 26.746 | 5.945 | 7.951 |
(20,40) | 25.200 | 20.979 | 25.212 | 21.643 | 0.049 | 3.165 |
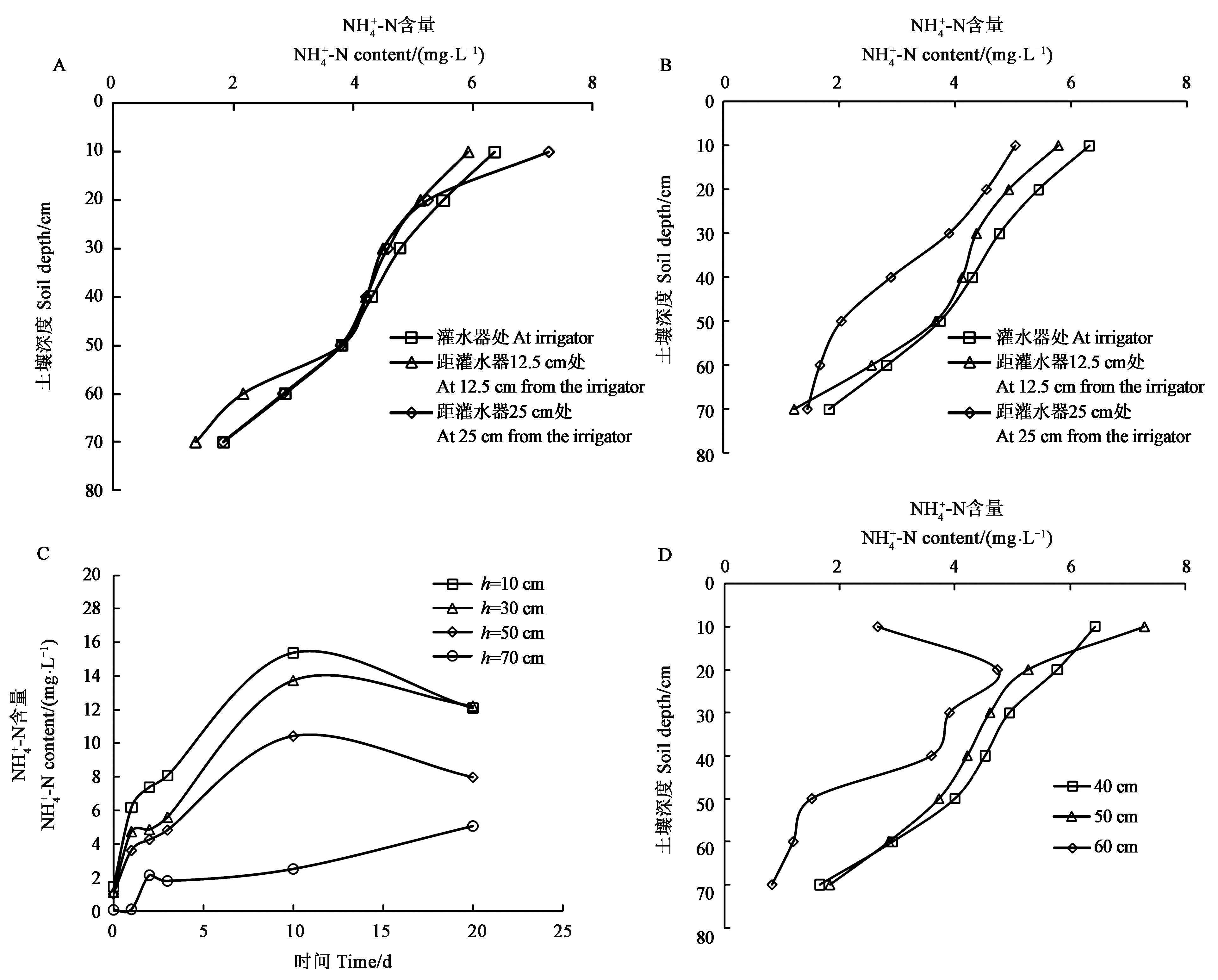
Fig.6 Ammonium nitrogen content at different positionsA:NH4+?N content of the intersection side;B:NH4+?N content of the freedom side;C:NH4+?N content change at different depths (h) on the free infiltration side;D:NH4+?N content at different depths at the intersection
坐标 Coordinate (x,z) | e a s u r e d v a l u e /(mg·kg-1) 实测值 M | 模拟值 Simulated value/(mg·kg-1) | 相对误差 Relative error/% | |||
---|---|---|---|---|---|---|
交汇入渗侧Intersection infiltration side | 自由入渗侧Free infiltration side | 交汇入渗侧Intersection infiltration side | 自由入渗侧Free infiltration side | 交汇入渗侧Intersection infiltration side | 自由入渗侧 Free infiltration side | |
(0,40) | 4.582 | 4.582 | 5.024 | 4.137 | 9.644 | -9.721 |
(0,50) | 4.056 | 4.056 | 4.119 | 3.937 | 1.561 | -2.926 |
(10,30) | 4.955 | 4.327 | 5.193 | 4.242 | 4.806 | -1.962 |
(10,50) | 3.850 | 3.179 | 3.561 | 3.049 | -7.516 | -4.084 |
(20,20) | 5.714 | 4.215 | 5.297 | 4.383 | -7.290 | 3.982 |
(20,40) | 4.433 | 3.642 | 4.513 | 3.771 | 1.807 | 3.535 |
Table 5 Measured value and Simulated value of soil NH4+-N
坐标 Coordinate (x,z) | e a s u r e d v a l u e /(mg·kg-1) 实测值 M | 模拟值 Simulated value/(mg·kg-1) | 相对误差 Relative error/% | |||
---|---|---|---|---|---|---|
交汇入渗侧Intersection infiltration side | 自由入渗侧Free infiltration side | 交汇入渗侧Intersection infiltration side | 自由入渗侧Free infiltration side | 交汇入渗侧Intersection infiltration side | 自由入渗侧 Free infiltration side | |
(0,40) | 4.582 | 4.582 | 5.024 | 4.137 | 9.644 | -9.721 |
(0,50) | 4.056 | 4.056 | 4.119 | 3.937 | 1.561 | -2.926 |
(10,30) | 4.955 | 4.327 | 5.193 | 4.242 | 4.806 | -1.962 |
(10,50) | 3.850 | 3.179 | 3.561 | 3.049 | -7.516 | -4.084 |
(20,20) | 5.714 | 4.215 | 5.297 | 4.383 | -7.290 | 3.982 |
(20,40) | 4.433 | 3.642 | 4.513 | 3.771 | 1.807 | 3.535 |
坐标 Coordinate (x,z) | 实测值 Measured value/(mg·kg-1) | 模拟值 Simulated value/(mg·kg-1) | 相对误差 Relative error/% | |||||
---|---|---|---|---|---|---|---|---|
交汇入渗侧Intersection infiltration side | 自由入渗侧Free infiltration side | 交汇入渗侧Intersection infiltration side | 自由入渗侧Free infiltration side | 交汇入渗侧Intersection infiltration side | 自由入渗侧Free infiltration side | |||
(0,40) | 7.130 | 6.504 | 6.747 | 6.747 | 5.675 | 3.607 | ||
(0,50) | 5.769 | 5.114 | 5.374 | 5.374 | 7.344 | 4.841 | ||
(12.5,30) | 8.081 | 7.498 | 7.469 | 6.871 | 8.187 | 9.123 | ||
(12.5,40) | 6.663 | 6.013 | 6.132 | 5.746 | 8.663 | 4.641 | ||
(25,20) | 8.172 | 6.791 | 8.826 | 7.287 | 7.410 | 6.801 | ||
(25,40) | 4.733 | 3.438 | 4.593 | 3.142 | 3.046 | 9.421 |
Table 6 Measured value and simulated value of soil NO3--N
坐标 Coordinate (x,z) | 实测值 Measured value/(mg·kg-1) | 模拟值 Simulated value/(mg·kg-1) | 相对误差 Relative error/% | |||||
---|---|---|---|---|---|---|---|---|
交汇入渗侧Intersection infiltration side | 自由入渗侧Free infiltration side | 交汇入渗侧Intersection infiltration side | 自由入渗侧Free infiltration side | 交汇入渗侧Intersection infiltration side | 自由入渗侧Free infiltration side | |||
(0,40) | 7.130 | 6.504 | 6.747 | 6.747 | 5.675 | 3.607 | ||
(0,50) | 5.769 | 5.114 | 5.374 | 5.374 | 7.344 | 4.841 | ||
(12.5,30) | 8.081 | 7.498 | 7.469 | 6.871 | 8.187 | 9.123 | ||
(12.5,40) | 6.663 | 6.013 | 6.132 | 5.746 | 8.663 | 4.641 | ||
(25,20) | 8.172 | 6.791 | 8.826 | 7.287 | 7.410 | 6.801 | ||
(25,40) | 4.733 | 3.438 | 4.593 | 3.142 | 3.046 | 9.421 |
1 | 何振嘉,傅渝亮.涌泉根灌湿润体水氮运移特性试验研究[J].排灌机械工程学报,2019,37(1):73-79. |
HE Z J, FU Y L. Experiment on water and nitrogen transport characteristics of wetting body in bubbled-root irrigation [J]. J. Drain. Irrig. Mach. Eng., 2019, 37(1): 73-79. | |
2 | 吴普特,朱德兰,汪有科.涌泉根灌技术研究与应用[J].排灌机械工程学报,2010, 28(4):354-357, 368. |
WU P T, ZHU D L, WANG Y K. Research and application of bubbled-root irrigation [J]. J. Drain. Irrig. Mach. Eng., 2010, 28(4): 354-357, 368. | |
3 | 陈俊英,吴普特,朱德兰,等.不同配套产品对涌泉根灌土壤湿润体特性影响[J].排灌机械工程学报,2013,31(9):805-810, 828. |
CHEN J Y, WU P T, ZHU D L, et al.. Effect of sleeve length on characteristics of wetted front during bubble-root irrigation [J]. J. Drain. Irrig. Mach. Eng., 2013, 31(9): 805-810, 828. | |
4 | 张志华,朱德兰,李向明,等.涌泉根灌灌水器外套材料配方试验研究[J].节水灌溉,2013(11):1-3. |
ZHANG Z H, ZHU D L, LI X M, et al.. Experimental study on material formula of bubbled-root irrigation device outer casing [J]. Water Sav. Irrig., 2013(11): 1-3. | |
5 | SKIER M. Bio-degradable plant root watering system [P]. United States: USD5842309, 1998-12-01. |
6 | KOHN P, ROTH A. Plant root watering device [P]. United States: USD456225, 2002-04-30. |
7 | 黎朋红,汪有科,马理辉,等.涌泉根灌湿润体特征值变化规律研究[J].水土保持学报,2009,23(6):190-194. |
LI P H, WANG Y K, MA L H, et al.. Study on eigenvalues of wetted soil under bubbled root irrigation [J]. J. Soil. Water Conser., 2009, 23(6): 190-194. | |
8 | 费良军,曹俊,聂卫波.涌泉根灌土壤湿润体特性试验[J].排灌机械工程学报,2011,29(3):260-265. |
FEI L J, CAO J, NIE W B. Characteristics test of wetting body of surge and spring root irrigation [J]. J. Drain. Irrig. Mach. Eng., 2011, 29(3): 260-265. | |
9 | 费良军,刘显,王佳,等.土壤容重对涌泉根灌土壤水氮运移特性的影响[J].农业机械学报,2017,48(8):219-228. |
FEI L J, LIU X, WANG J, et al.. Effects of soil bulk density on transport characteristics of water and nitrogen under bubbled-root irrigation [J]. Trans. Chin. Soc. Agric. Mach., 2017, 48(8): 219-228. | |
10 | 李卓,吴普特,冯浩,等.容重对土壤水分入渗能力影响模拟试验[J].农业工程学报,2009,25(6):40-45. |
LI Z, WU P T, FENG H, et al.. Simulation experiment on effect of soil bulk density on soil infiltration capacity [J]. Trans. Chin. Soc. Agric. Eng., 2009, 25(6): 40-45. | |
11 | 樊晓康,陈俊英,牛文全,等.涌泉根灌土壤湿润体影响因素的试验研究[J].节水灌溉,2011(10):1-4. |
FAN X K, CHEN J Y, NIU W Q, et al.. Experimental study on influencing factors of soil wetted body of clay loam under bubbled root irrigation [J]. Water Sav. Irrig., 2011(10): 1-4. | |
12 | 牛文全,樊晓康,赵晓波,等.初始含水率对涌泉根灌土壤渗透特征的影响[J].排灌机械工程学报,2012,30(4):491-496. |
NIU W Q, FAN X K, ZHAO X B, et al.. Effect of initial water content on soil infiltration characteristics during bubble irrigation [J]. J. Drain. Irrig. Mach. Eng., 2012, 30(4): 491-496. | |
13 | 刘显,费良军,王佳,等.土壤初始含水率对涌泉根灌土壤水分及氮素运移特性的影响[J].水土保持学报,2017,31(4):118-126. |
LIU X, FEI L J, WANG J, et al.. Transport characteristics of water and nitrogen under bubbled-root irrigation with soil initial water content [J]. J. Soil Water Conser., 2017, 31(4): 118-126. | |
14 | COTE C M, BRISTOW K L, CHARLESWORTH P B, et al.. Analysis of soil wetting and solute transport in subsurface trickle irrigation [J]. Irrig. Sci., 2003, 22(34): 143-156. |
15 | BHATNAGAR P R, CHAUHAN H S. Soil water movement under a single surface trickle source [J]. Agric. Water Manag., 2008, 95(7): 799-808. |
16 | 李耀刚,王文娥,胡笑涛,等.涌泉根灌条件下土壤水分运动数值模拟研究[J].灌溉排水学报,2012,31(3):42-47. |
Li Y G, Wang W E, Hu X T, et al.. Numerical simulation of soil water movement under bubbled root irrigation [J]. J. Irrig. Drain., 2012, 31(3): 42-47. | |
17 | 李耀刚,王文娥,胡笑涛,等.基于HYDRUS-3D的涌泉根灌土壤入渗数值模拟[J].排灌机械工程学报,2013.31(6):536-552. |
LI Y G, WANG W E, HU X T. Numerical simulation of soil water infiltration under bubbled root irrigation based on hydrus-3D [J]. J. Drain. Irrig. Mach. Eng., 2013, 31(6): 536-552. | |
18 | SKAGGS T H, TROUT T J, ROTHFUSSY. Drip irrigation water distribution pattern: effects of emitter rate, pulsing and antecedent water [J/OL]. Soil Sci. Soc. Am. J., 2012, 74(6): 1886[2022-02-24]. . |
19 | 费良军,程东娟,朱兴华.单膜孔点源肥液入渗水氮分布特性试验研究[J].农业工程学报,2006,22(10):12-15. |
FEI L J, CHENG D J, ZHU X H. Water and NO 3 - -N distribution characteristics in single film hole point source fertile solution infiltration [J]. Trans. Chin. Soc. Agric. Eng., 2006, 22(10): 12-15. | |
20 | 费良军,傅渝亮,何振嘉,等.涌泉根灌肥液入渗水氮运移特性研究[J].农业机械学报,2015,46(6):121-129. |
FEI L J, FU Y L, HE Z J, et al.. Transport characteristics of water and nitrogen under bubbled-root irrigation with fertilizer solution [J]. Trans. Chin. Soc. Agric. Mach., 2015, 46(6): 121-129. | |
21 | 吴恒卿,黄强,魏群.涌泉根灌双点源交汇入渗湿润体试验研究[J].西北农林科技大学学报(自然科学版),2015,43(5):201-207. |
WU H Q, Huang Q, Wei Q. Moist body of two-point source interference infiltration of surge root irrigation [J]. J. North. Univer. Natur (Sci. Edi.), 2015, 43(5): 201-207. | |
22 | 刘显,费良军,刘扬.涌泉根灌交汇入渗对土壤水氮运移特性的影响[J].排灌机械工程学报,2017, 35(3):263-270. |
LIU X, FEI L J, LIU Y. Effects of bubbled-root irrigation interference infiltration on transport characteristics of water and nitrogen [J]. J. Drain. Irrig. Mach. Eng., 2017, 35(3): 263-270. | |
23 | 何振嘉,傅渝亮,王博,等.涌泉根灌不同浓度肥液入渗特性及土壤湿润体模型研究[J].农业工程学报,2018,34(24):90-99. |
HE Z J, FU Y L, WANG B, et al.. Infiltration characteristics and wetting body model of bubbled-root irrigation under different fertilizer concentration [J]. Trans. Chin. Soc. Agric. Eng., 2018, 34(24): 90-99. |
[1] | LI Xiao1, HE Zhenjia2*. Effect of Emitter Flow Rate of Wetted Body on Fertilizer Infiltration in Bubbled-root Irrigation [J]. Journal of Agricultural Science and Technology, 2020, 22(1): 87-97. |
[2] | HE Zhenjia. Effects of Covering Methods on Soil Hydrothermal Effect and Yield of Jujube Trees Under Bubbled-root Irrigation [J]. Journal of Agricultural Science and Technology, 2018, 20(12): 130-139. |
Viewed | ||||||
Full text |
|
|||||
Abstract |
|
|||||