Journal of Agricultural Science and Technology ›› 2022, Vol. 24 ›› Issue (4): 173-184.DOI: 10.13304/j.nykjdb.2021.0070
• BIO-MANUFACTURING & RESOURCE AND ECOLOGY • Previous Articles Next Articles
Xiaoqing ZHANG1,2(), Zhuangzhuang LI1, Shibao CHEN3(
), Yu MENG1, Dajun REN1,2, Shuqing ZHANG1,2
Received:
2021-01-20
Accepted:
2021-04-14
Online:
2022-04-15
Published:
2022-04-19
Contact:
Shibao CHEN
张晓晴1,2(), 李壮壮1, 陈世宝3(
), 孟昱1, 任大军1,2, 张淑琴1,2
通讯作者:
陈世宝
作者简介:
张晓晴 E-mail:zhangxiaoqing@wust.edu.cn;
基金资助:
CLC Number:
Xiaoqing ZHANG, Zhuangzhuang LI, Shibao CHEN, Yu MENG, Dajun REN, Shuqing ZHANG. Sensitivity Differences of Shrub Seedlings to Cadmium Toxicity[J]. Journal of Agricultural Science and Technology, 2022, 24(4): 173-184.
张晓晴, 李壮壮, 陈世宝, 孟昱, 任大军, 张淑琴. 灌木幼苗对镉毒害的敏感性差异[J]. 中国农业科技导报, 2022, 24(4): 173-184.
Add to citation manager EndNote|Ris|BibTeX
URL: https://nkdb.magtechjournal.com/EN/10.13304/j.nykjdb.2021.0070
植物种类Plant species | 株高 Plant height | 地上部分鲜重 Aboveground fresh weight | 地上部分干重 Aboveground dry weight | |||
---|---|---|---|---|---|---|
EC10 | EC50 | EC10 | EC50 | EC10 | EC50 | |
法国冬青Viburnum odoratissimum Ker-Gawl | 1.63(0.9,2.3) | 4.56(2.8,6.4) | 1.04(0.6,1.5) | 4.42(3.0,5.9) | 0.35(0.2,0.7) | 5.19(3.9,6.9) |
杜鹃 Rhododendron simsii | 0.37(0.2,0.7) | 4.46(3.5,5.7) | 0.17(0.0,0.6) | 7.17(4.4,11.8) | 0.14(0.0,0.6) | 4.45(2.6,7.7) |
十大功劳 Mahonia fortune | 2.28(0.6,4.0) | 10.60(2.2,19.0) | 0.30(0.1,1.1) | 5.08(2.9,8.9) | 0.21(0.0,1.0) | 5.69(3.0,10.8) |
洒金珊瑚Aucuba japonica cv. variegata | 0.39(0.1,1.0) | 5.77(3.8,8.8) | 0.20(0.1,1.0) | 10.70(5.6,20.3) | 0.20(0.1,0.3) | 5.55(4.6,6.8) |
八角金盘 Fatsia japonica | 0.59(0.2,2.3) | 8.90(5.0,15.7) | 1.41(0.5,2.3) | 11.50(1.8,21.2) | 1.30(0.8,1.7) | 10.90(2.1,19.7) |
红叶石楠 Photinia × fraseri Dress | 0.26(0.1,0.8) | 5.43(3.5,8.4) | 0.18(0.0,0.7) | 6.14(3.5,10.7) | 0.16(0.1,0.4) | 7.31(5.0,10.6) |
红花继木Loropetalum chinense var. rubrum | 1.31(0.9,1.7) | 14.8(7.8,21.8) | 0.33(0.1,1.0) | 14.10(9.6,20.8) | 0.22(0.0,1.0) | 9.28(5.3,16.2) |
南天竹 Nandina domestica | 0.42(0.1,1.7) | 4.76(2.5,9.2) | 0.19(0.1,0.5) | 4.02(2.7,6.1) | 0.15(0.0,0.6) | 5.16(2.9,9.1) |
金森女贞Ligustrum japonicum‘Howardii’ | 0.25(0.1,0.5) | 4.40(3.3,5.9) | 0.08(0.0,0.3) | 3.26(1.9,5.6) | 0.13(0.0,0.3) | 2.58(1.7,3.9) |
金边黄杨 Buxus megistophylla | 0.16(0.0,1.6) | 5.16(2.1,13.0) | 0.10(0.0,0.5) | 6.10(3.2,11.6) | 0.19(0.1,0.5) | 6.70(4.5,10.0) |
海桐 Pittosporum tobira | 0.16(0.1,0.3) | 3.23(2.4,4.4) | 0.08(0.0,0.4) | 3.28(1.8,6.0) | 0.11(0.0,0.4) | 3.50(2.1,5.7) |
茶梅 Camellia sasanqua | 0.32(0.1,1.0) | 4.55(2.8,7.4) | 0.16(0.1,0.5) | 5.38(3.4,8.5) | 0.25(0.1,0.8) | 8.40(5.4,13.1) |
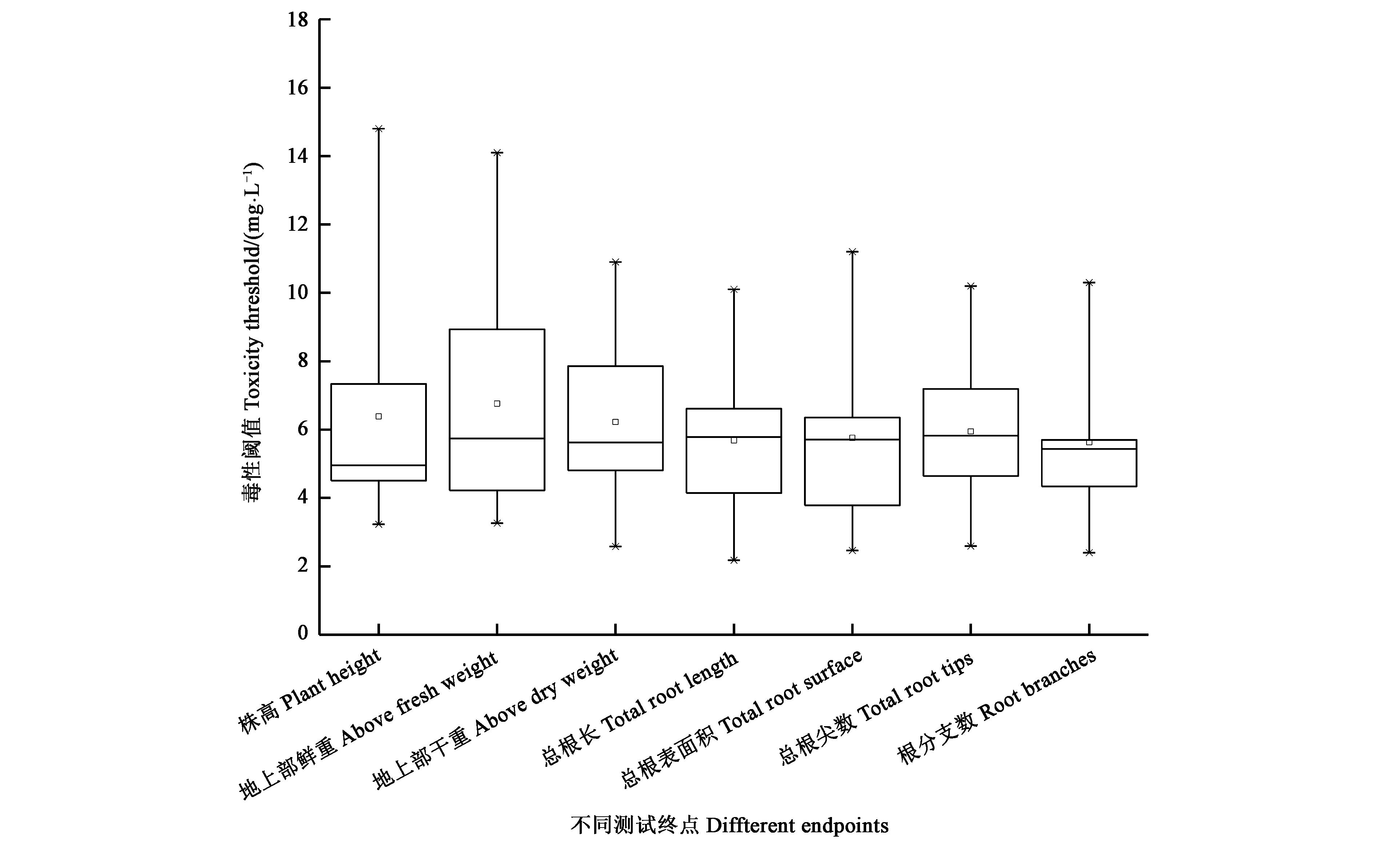
平均值 Average | 0.68 | 6.39 | 0.35 | 6.76 | 0.28 | 6.22 |
几何平均值 Geometric mean | 0.48 | 5.83 | 0.23 | 6.10 | 0.22 | 5.82 |
Table 1 Toxicity threshold of cadmium to plant growth and biomass and 95% confidence intervals
植物种类Plant species | 株高 Plant height | 地上部分鲜重 Aboveground fresh weight | 地上部分干重 Aboveground dry weight | |||
---|---|---|---|---|---|---|
EC10 | EC50 | EC10 | EC50 | EC10 | EC50 | |
法国冬青Viburnum odoratissimum Ker-Gawl | 1.63(0.9,2.3) | 4.56(2.8,6.4) | 1.04(0.6,1.5) | 4.42(3.0,5.9) | 0.35(0.2,0.7) | 5.19(3.9,6.9) |
杜鹃 Rhododendron simsii | 0.37(0.2,0.7) | 4.46(3.5,5.7) | 0.17(0.0,0.6) | 7.17(4.4,11.8) | 0.14(0.0,0.6) | 4.45(2.6,7.7) |
十大功劳 Mahonia fortune | 2.28(0.6,4.0) | 10.60(2.2,19.0) | 0.30(0.1,1.1) | 5.08(2.9,8.9) | 0.21(0.0,1.0) | 5.69(3.0,10.8) |
洒金珊瑚Aucuba japonica cv. variegata | 0.39(0.1,1.0) | 5.77(3.8,8.8) | 0.20(0.1,1.0) | 10.70(5.6,20.3) | 0.20(0.1,0.3) | 5.55(4.6,6.8) |
八角金盘 Fatsia japonica | 0.59(0.2,2.3) | 8.90(5.0,15.7) | 1.41(0.5,2.3) | 11.50(1.8,21.2) | 1.30(0.8,1.7) | 10.90(2.1,19.7) |
红叶石楠 Photinia × fraseri Dress | 0.26(0.1,0.8) | 5.43(3.5,8.4) | 0.18(0.0,0.7) | 6.14(3.5,10.7) | 0.16(0.1,0.4) | 7.31(5.0,10.6) |
红花继木Loropetalum chinense var. rubrum | 1.31(0.9,1.7) | 14.8(7.8,21.8) | 0.33(0.1,1.0) | 14.10(9.6,20.8) | 0.22(0.0,1.0) | 9.28(5.3,16.2) |
南天竹 Nandina domestica | 0.42(0.1,1.7) | 4.76(2.5,9.2) | 0.19(0.1,0.5) | 4.02(2.7,6.1) | 0.15(0.0,0.6) | 5.16(2.9,9.1) |
金森女贞Ligustrum japonicum‘Howardii’ | 0.25(0.1,0.5) | 4.40(3.3,5.9) | 0.08(0.0,0.3) | 3.26(1.9,5.6) | 0.13(0.0,0.3) | 2.58(1.7,3.9) |
金边黄杨 Buxus megistophylla | 0.16(0.0,1.6) | 5.16(2.1,13.0) | 0.10(0.0,0.5) | 6.10(3.2,11.6) | 0.19(0.1,0.5) | 6.70(4.5,10.0) |
海桐 Pittosporum tobira | 0.16(0.1,0.3) | 3.23(2.4,4.4) | 0.08(0.0,0.4) | 3.28(1.8,6.0) | 0.11(0.0,0.4) | 3.50(2.1,5.7) |
茶梅 Camellia sasanqua | 0.32(0.1,1.0) | 4.55(2.8,7.4) | 0.16(0.1,0.5) | 5.38(3.4,8.5) | 0.25(0.1,0.8) | 8.40(5.4,13.1) |
平均值 Average | 0.68 | 6.39 | 0.35 | 6.76 | 0.28 | 6.22 |
几何平均值 Geometric mean | 0.48 | 5.83 | 0.23 | 6.10 | 0.22 | 5.82 |
植物种类 Plant species | 总根长 Total root length | 总根表面积 Total root surface area | 总根尖数 Total root tip | 根分支数 Root branches | ||||
---|---|---|---|---|---|---|---|---|
EC10) | EC50 | EC10 | EC50 | EC10 | EC50 | EC10 | EC50 | |
法国冬青Viburnum odoratissimum Ker-Gawl | 0.16(0.0,1.2) | 5.82(2.5,13.5) | 0.15(0.0,1.3) | 5.83(2.4,14.0) | 0.17(0.0,1.5) | 4.78(1.9,12.0) | 0.21(0.0,1.2) | 4.58(2.1,9.8) |
杜鹃 Rhododendron simsii | — | — | — | — | — | — | — | — |
十大功劳 Mahonia fortune | 0.22(0.0,1.1) | 5.75(3.0,11.1) | 0.18(0.0,0.7) | 5.50(3.0,9.9) | 0.20(0.1,0.8) | 5.60(3.2,9.7) | 0.29(0.1,0.6) | 5.33(3.8,7.4) |
洒金珊瑚 Aucuba japonica cv. variegata | 0.15(0.0,0.8) | 6.45(3.5,12.0) | 0.15(0.1,0.4) | 5.95(4.0,8.8) | 0.15(0.0,0.7) | 8.16(4.6,14.5) | 0.20(0.0,1.0) | 9.08(4.9,16.7) |
八角金盘 Fatsia japonica | 1.52(1.0,2.0) | 10.10(6.7,13.5) | 1.23(1.0,1.5) | 11.20(6.4,21.8) | 1.56(1.0,2.1) | 10.20(6.6,13.8) | 1.27(1.1,1.5) | 10.30(4.7,16.0) |
红叶石楠 Photinia × fraseri Dress | 0.12(0.0,0.5) | 6.61(3.8,11.5) | 0.10(0.0,0.6) | 5.59(2.8,11.1) | 0.11(0.0,0.5) | 6.04(3.3,11.1) | 0.08(0.0,0.6) | 5.54(2.5,12.1) |
红花继木 Loropetalum chinense var. rubrum | — | — | — | — | — | — | — | — |
南天竹 Nandina domestica | 0.18(0.1,0.5) | 4.14(2.7,6.3) | 0.24(0.1,0.5) | 3.78(2.6,5.4) | 0.21(0.1,0.5) | 3.84(2.7,5.4) | 0.15(0.1,0.4) | 4.34(3.0,6.2) |
金森女贞 Ligustrum japonicum‘Howardii’ | 0.15(0.1,0.4) | 2.18(1.4,3.3) | 0.13(0.1,0.2) | 2.46(1.9,3.2) | 0.08(0.0,0.4) | 2.59(1.4,4.9) | 0.09(0.0,0.3) | 2.40(1.6,3.6) |
金边黄杨 Buxus megistophylla | 0.13(0.0,0.8) | 6.78(3.4,13.3) | 0.12(0.0,0.3) | 7.26(4.9,10.7) | 0.11(0.0,0.5) | 6.43(3.5,11.7) | 0.14(0.0,0.6) | 5.70(3.1,10.3) |
海桐 Pittosporum tobira | 0.10(0.0,0.2) | 3.4(2.4,4.8) | 0.14(0.0,0.5) | 3.65(2.1,6.4) | 0.10(0.0,0.5) | 4.64(2.4,8.8) | 0.13(0.1,0.3) | 3.44(2.3,5.1) |
茶梅 Camellia sasanqua | 0.24(0.1,0.7) | 5.6(3.6,8.7) | 0.19(0.1,0.6) | 6.35(4.0,10.1) | 0.15(0.0,0.7) | 7.19(4.0,13.1) | 0.14(0.0,0.7) | 5.57(2.8,10.9) |
平均值 Average | 0.30 | 5.68 | 0.26 | 5.76 | 0.28 | 5.95 | 0.27 | 5.63 |
几何平均值 Geometric mean | 0.20 | 5.31 | 0.19 | 5.38 | 0.18 | 5.60 | 0.19 | 5.24 |
Table 2 Toxicity threshold of cadmium to plant root growth and 95% confidence intervals
植物种类 Plant species | 总根长 Total root length | 总根表面积 Total root surface area | 总根尖数 Total root tip | 根分支数 Root branches | ||||
---|---|---|---|---|---|---|---|---|
EC10) | EC50 | EC10 | EC50 | EC10 | EC50 | EC10 | EC50 | |
法国冬青Viburnum odoratissimum Ker-Gawl | 0.16(0.0,1.2) | 5.82(2.5,13.5) | 0.15(0.0,1.3) | 5.83(2.4,14.0) | 0.17(0.0,1.5) | 4.78(1.9,12.0) | 0.21(0.0,1.2) | 4.58(2.1,9.8) |
杜鹃 Rhododendron simsii | — | — | — | — | — | — | — | — |
十大功劳 Mahonia fortune | 0.22(0.0,1.1) | 5.75(3.0,11.1) | 0.18(0.0,0.7) | 5.50(3.0,9.9) | 0.20(0.1,0.8) | 5.60(3.2,9.7) | 0.29(0.1,0.6) | 5.33(3.8,7.4) |
洒金珊瑚 Aucuba japonica cv. variegata | 0.15(0.0,0.8) | 6.45(3.5,12.0) | 0.15(0.1,0.4) | 5.95(4.0,8.8) | 0.15(0.0,0.7) | 8.16(4.6,14.5) | 0.20(0.0,1.0) | 9.08(4.9,16.7) |
八角金盘 Fatsia japonica | 1.52(1.0,2.0) | 10.10(6.7,13.5) | 1.23(1.0,1.5) | 11.20(6.4,21.8) | 1.56(1.0,2.1) | 10.20(6.6,13.8) | 1.27(1.1,1.5) | 10.30(4.7,16.0) |
红叶石楠 Photinia × fraseri Dress | 0.12(0.0,0.5) | 6.61(3.8,11.5) | 0.10(0.0,0.6) | 5.59(2.8,11.1) | 0.11(0.0,0.5) | 6.04(3.3,11.1) | 0.08(0.0,0.6) | 5.54(2.5,12.1) |
红花继木 Loropetalum chinense var. rubrum | — | — | — | — | — | — | — | — |
南天竹 Nandina domestica | 0.18(0.1,0.5) | 4.14(2.7,6.3) | 0.24(0.1,0.5) | 3.78(2.6,5.4) | 0.21(0.1,0.5) | 3.84(2.7,5.4) | 0.15(0.1,0.4) | 4.34(3.0,6.2) |
金森女贞 Ligustrum japonicum‘Howardii’ | 0.15(0.1,0.4) | 2.18(1.4,3.3) | 0.13(0.1,0.2) | 2.46(1.9,3.2) | 0.08(0.0,0.4) | 2.59(1.4,4.9) | 0.09(0.0,0.3) | 2.40(1.6,3.6) |
金边黄杨 Buxus megistophylla | 0.13(0.0,0.8) | 6.78(3.4,13.3) | 0.12(0.0,0.3) | 7.26(4.9,10.7) | 0.11(0.0,0.5) | 6.43(3.5,11.7) | 0.14(0.0,0.6) | 5.70(3.1,10.3) |
海桐 Pittosporum tobira | 0.10(0.0,0.2) | 3.4(2.4,4.8) | 0.14(0.0,0.5) | 3.65(2.1,6.4) | 0.10(0.0,0.5) | 4.64(2.4,8.8) | 0.13(0.1,0.3) | 3.44(2.3,5.1) |
茶梅 Camellia sasanqua | 0.24(0.1,0.7) | 5.6(3.6,8.7) | 0.19(0.1,0.6) | 6.35(4.0,10.1) | 0.15(0.0,0.7) | 7.19(4.0,13.1) | 0.14(0.0,0.7) | 5.57(2.8,10.9) |
平均值 Average | 0.30 | 5.68 | 0.26 | 5.76 | 0.28 | 5.95 | 0.27 | 5.63 |
几何平均值 Geometric mean | 0.20 | 5.31 | 0.19 | 5.38 | 0.18 | 5.60 | 0.19 | 5.24 |
1 | 叶俊,任大军,张晓晴,等.中国部分林地土壤重金属含量特征及污染评价[J].科学技术与工程,2020,20(6):2507-2514. |
YE J, REN D J, ZHANG X Q, et al.. Heavy metal contents distribution and contamination assessment in some Chinese forest soils [J]. Sci. Tech. Eng., 2020, 20(6): 2507-2514. | |
2 | 陈能场,郑煜基,何晓峰,等.《全国土壤污染状况调查公报》探析[J].农业环境科学学报,2017,36(9):1689-1692. |
CHEN N C, ZHENG Y J, HE X F, et al.. Analysis of the report on the national general survey of soil contamination[J]. J. Agro-Environ. Sci., 2017, 36(9): 1689-1692. | |
3 | 周垂帆,李莹,殷丹阳,等.林地重金属污染来源解析[J].世界林业研究,2015,28(5):15-21. |
ZHOU C F, LI Y, YIN D Y, et al.. A review on heavy metal contamination on forest land [J]. World For. Res., 2015, 28(5): 15-21. | |
4 | 罗倩,张珍明,向准,等.梵净山自然保护区林地土壤重金属分布与富集特征[J].西南农业学报,2017,30(10):2352-2359. |
LUO Q, ZHANG Z M, XIANG Z, et al.. Distribution and enrichment characteristics of heavy metals in soil of woodland in Fanjing mountain nature reserve [J]. Southwest China J. Agric. Sci., 2017, 30(10): 2352-2359. | |
5 | 王玥琳,胡冀珍.四川北部林地土壤地球化学特征分析[J].南方农业学报,2016,47(3):365-370. |
WANG Y L, HU J Z. Analysis on forest soil geochemical features of north Sichuan[J]. J. Southern Agric., 2016, 47(3): 365-370. | |
6 | 李向阳,吴疆,刘洪强.鄂东南5种森林土壤重金属含量及污染评价[J].中南林业科技大学学报,2019,39(10):102-108. |
LI X Y, WU J, LIU H Q. Concentration and ecology risk assessment of heavy metal in five forest soils in southeastern Hubei province[J]. J. Central South Univ. For. Tech., 2019, 39(10): 102-108. | |
7 | 庄玉婷,冯嘉仪,储双双,等.粤西地区不同林分类型土壤重金属含量及生态风险评价[J].华南农业大学学报,2018,39(5):25-31. |
ZHUANG Y T, FENG J Y, CHU S S, et al.. Contents and ecology risk assessments of heavy metals in different forest soils in West Guangdong [J]. J. South China Agric.Univ., 2018, 39(5): 25-31. | |
8 | DOGAN M, KARATAS M, AASIM M. Cadmium and lead bioaccumulation potentials of an aquatic macrophyte Ceratophyllum demersum L.: a laboratory study[J]. Ecotoxicol. Environ. Safety, 2017, 148: 431-440. |
9 | YANG D P, GUO Z Q, GREEN I D, et al.. Effect of cadmium accumulation on mineral nutrient levels in vegetable crops: potential implications for human health[J]. Environ. Sci. Pollut. Res., 2016, 23(19): 19744-19753. |
10 | 杨瑛,王德立,张兴翠,等.不同林下益智果实及环境土壤中铜镉铅污染综合评价[J].中国现代中药,2018,20(5):570-575. |
YANG Y, WANG D L, ZHANG X C, et al.. Comprehensive evaluation of Cu, Cd and Pb contamination in sharpleaf galangal fruits and environment soils under different forests [J]. Modern Chin Med., 20(5): 570-575. | |
11 | 林龙勇,阎秀兰,廖晓勇,等.三七对土壤中镉、铬、铜、铅的累积特征及健康风险评价[J].生态学报,2014,34(11):2868-2875. |
Lin L Y, Yan X L, Liao X Y, et al.. Accumulation of soil Cd, Cr, Cu, Pb by Panax notoginseng and its associated health risk [J]. Acta Ecol. Sin., 2014, 34(11): 2868-2875. | |
12 | ROSTAMI S, AZHDARPOOR A. The application of plant growth regulators to improve phytoremediation of contaminated soils: a review [J]. Chemosphere, 2019, 220: 818-827. |
13 | IRAM G, MARIA M, JEROME S, et al.. EDTA-assisted phytoextraction of lead and cadmium by Pelargonium cultivars grown on spiked soil [J]. Int. J. Phytoremediation, 2019, 21(2): 101-110. |
14 | SALEEM M H, ALI S, REHMAN M, et al.. Jute: a potential candidate for phytoremediation of metals—a review [J/OL]. Plant, 2020, 9(2): 258 [2022-01-24]. . |
15 | 钟斌,陈俊任,彭丹莉,等.速生林木对重金属污染土壤植物修复技术研究进展[J].浙江农林大学学报,2016,33(5):899-909. |
ZHONG B, CHEN J R, PENG D L, et al.. Research progress of heavy metal phytoremediation technology of fast-growing forest trees in soil [J]. J. Zhejiang A F Univ., 2016, 33(5): 899-909. | |
16 | 陈波宇,郑斯瑞,牛希成,等.物种敏感度分布及其在生态毒理学中的应用[J].生态毒理学报,2010,5(4):491-497. |
CHEN B Y, ZHENG S R, NIU X C, et al.. Species sensitivity distribution and its application in ecotoxicology [J]. Asian J. Ecotoxicol., 2010, 5(4): 491-497. | |
17 | XU F L, LI Y L, WANG Y, et al.. Key issues for the development and application of the species sensitivity distribution (SSD) model for ecological risk assessment [J]. Ecol. Ind., 2015, 54(3): 227-237. |
18 | KWAK J I, MOON J, KIM D, et al.. Determination of the soil hazardous concentrations of bisphenol A using the species sensitivity approach [J]. J. Hazard. Mater., 2018, 344: 390-397. |
19 | 文晨,杨虹,卢学强,等.基于物种敏感性分布法的生态风险评价研究进展[J].安全与环境学报,2017,17(1):353-357. |
WEN C, YANG H, LU X Q, et al.. Research advances in the ecological risk assessment based on the species sensitivity distributions [J]. J. Safety Environ., 2017, 17(1): 353-357. | |
20 | 刘亚莉,谢玉为,张效伟,等.应用物种敏感性分布评价敌敌畏对淡水生物的生态风险[J].生态毒理学报,2016,11(2):531-538. |
LIU Y L, XIE Y W, ZHANG X W, et al.. Assessing ecological risks of dichlorvos to freshwater organisms by species sensitivity distribution [J]. Asian J. Ecotoxicol., 2016, 11(2), 531-538. | |
21 | 崔广娟,曹华元,陈康,等.镉胁迫对4种基因型大豆生长和体内元素分布的影响[J].华南农业大学学报,2020,41(5):1-14. |
CUI G J, CAO H Y, CHEN K, et al.. Effects of cadmium stress on plant growth and element distribution of four soybean genotypes[J]. J. South China Agric.Univ., 2020, 41(5), 49-57. | |
22 | 郭瞻宇,张子杨,蒋亚辉,等.不同品种芥菜对镉胁迫的敏感性分布及抗氧化特征[J].农业环境科学学报,2018,37(12):2660-2668. |
GUO Z Y, ZHANG Z Y, JIANG Y H, et al.. Assessment of variation in sensitivity and antioxidant characteristics of different mustard cultivars under different Cd stress levels [J]. J. Agro-Environ. Sci., 2018, 37(12): 2660-2668. | |
23 | TAO L, GUO M Y, REN J. Effects of cadmium on seed germination, coleoptile growth, and root elongation of six pulses [J]. Polish J. Environ. Studies, 2014, 24(1): 295-299. |
24 | HAANSTRA L, DOELMAN P, VOSHAAR J H O. The use of sigmoidal dose response curves in soil ecotoxicological research [J]. Plant Soil, 1985, 84(2): 293-297. |
25 | SCHABENBERGER O, THARP B E, KELLS J J, et al.. Statistical tests for hormesis and effective dosages in herbicide dose response [J]. Agron. J., 1999, 91(4): 713-721. |
26 | ZHANG X Q, WU H X, MA Y B, et al.. Intrinsic soil property effects on Cd phytotoxicity to Ligustrum japonicum ‘Howardii’ expressed as different fractions of Cd in forest soils [J/OL]. Ecotoxicol. Environ. Safety, 2020, 206: 110949[2022-01-24]. . |
27 | ZHANG X Q, WANG X D, WEI D P, et al.. The influence of soil solution properties on phytotoxicity of soil soluble copper in a wide range of soils [J]. Geoderma, 2013, 211-212: 1-7. |
28 | 李波.外源重金属铜、镍的植物毒害及预测模型研究[D].北京:中国农业科学院,2010:24-46. |
LI B. The phytotoxicity of added Copper and Nickel to soils and predictive models [D]. Beijing: Chinese Academy of Agricultural Science, 2010: 24-46. | |
29 | 葛依立,陈心胜,黄道友,等.湿地植物水蓼(Polygonum hydropiper L.)对镉的富集特征及生理响应[J].生态毒理学报, 2020,15(2):190-200. |
GE Y L, CHEN X S, HUANG D Y, et al.. Accumulation characteristics and physiological responses of the wetland plant, Polygonum hydropiper L. to cadmium [J]. Asian J. Ecotoxicol., 2020, 15(2): 190-200. | |
30 | 贾茵,刘才磊,兰晓悦,等.镉胁迫对小报春幼苗生长及生理特性的影响[J].西北植物学报, 2020,40(3):454-462. |
JIA Y, LIU C L, LAN X Y, et al.. Effect of cadmium stress on the growth and psychological characteristics of Primula forbesii seedlings [J]. Acta Bot. Boreali-Occ. Sinica, 2020, 40(3): 454-462. | |
31 | CALABRESE E J, BALDWIN L A, HOLLAND C D. Hormesis: a highly generalizable and reproducible phenomenon with important implications for risk assessment [J]. Risk Anal., 1999, 19(2): 261-281. |
32 | RODRICKS J V. Hormesis and toxicological risk assessment[J]. Toxicol. Sci., 2003, 71(2): 134-136. |
33 | CARVALHO M E A, CASTROP R C, AZEVEDO R A. Hormesis in plants under Cd exposure: from toxic to beneficial element [J/OL]. J. Hazard. Mater., 2020, 384: 121434 [2022-01-24]. . |
34 | ARDUINI I, MASONI A, MARIOTTI M, et al.. Low cadmium application increase miscanthus growth and cadmium translocation [J]. Environ. Exp. Bot., 2004, 52(2): 89-100. |
35 | SUNDARAMANICKAM A, SHANMUGAM N, CHOLAN S, et al.. Spatial variability of heavy metals in estuarine, mangrove and coastal ecosystems along Parangipettai, Southeast coast of India [J]. Environ. Pollut., 2016, 218: 186-195. |
36 | WHITE P J, BROWN P H. Plant nutrition for sustainable development and global health [J]. Annals Bot., 2010, 105(7): 1073-1080. |
37 | XIN J P, ZHANG Y, TIAN R N. Tolerance mechanism of Triarrhena sacchariflora (Maxim.) Nakai seedlings to lead and cadmium: translocation, subcellular distribution, chemical forms and variations in leaf ultrastructure [J]. Ecotoxicol. Environ. Safety, 2018, 165: 611-621. |
38 | 岳莉然,罗陈筝筝,王竞莹,等.金属镉及温度胁迫对紫根水葫芦植株几种生理指标的影响[J].北方园艺,2020,9:89-96. |
YUE L R, LUO C Z Z, WANG J Y, et al.. Effects of cadmium stress and temperature stress on several physiological indicators of Eichhornia crassipes [J]. Northern Hort., 2020, 9: 89-96. | |
39 | DAUD M K, QUILING H, LEI M, et al.. Ultrastructural, metabolic and proteomic changes in leaves of upland cotton in response to cadmium stress [J]. Chemosphere, 2015, 120: 309-320. |
40 | 杨红霞,陈俊良,刘崴.镉对植物的毒害及植物解毒机制研究进展[J].江苏农业科学,2019,47(2):1-8. |
41 | CEYDA O K, EVREN Y, MUSTAFA B, et al.. The humicacid induced changes in the water status, chlorophyll fluorescence and antioxidant defense systems of wheat leaves with cadmium stress [J]. Ecotoxicol. Environ. Safety, 2018, 155: 66-75. |
42 | SINGH S, PARIHAR P, SINGH R, et al.. Heavy metal tolerance in plants: role of transcriptomics, proteomics, metabolomics, and ionomics [J/OL]. Front. Plant Sci., 2016, 6: 1143[2022-01-24]. . |
43 | DUTTA S, MITRA M, AGARWAL P, et al.. Oxidative and genotoxic damages in plants in response to heavy metal stress and maintenance of genome stability [J/OL]. Plant Signal. Behav., 2018, 13(8): e1460048[2022-01-24]. . |
44 | 徐铭焓.南京市主要路域植物的环境效应研究[D].南京:南京林业大学,2014:21-40. |
XU M H. Study on environmental effects of the main road domain plants in Nanjing [D]. Nanjing: Nanjing Forestry University, 2014: 21-40. | |
45 | 王广林,张金池,庄家尧,等.31种园林植物对重金属的富集研究[J].皖西学院学报,2011,5:83-87. |
WANG G L, ZHANG J C, ZHUANG J Y, et al.. Accumulation research of 31 species of ornamental plants on heavy metal [J]. J. West Anhui Univ., 2011, 5, 83-87. | |
46 | 田大勇,常琛朝,王成志,等.环境中重金属和有机污染物的物种敏感性分布研究进展[J].生态毒理学报,2015,10(3):38-49. |
TIAN D Y, CHANG C C, WANG C Z, et al.. Review of species sensitivity distributions for heavy metals and organic conta-minants [J]. Asian J. Ecotoxicol., 2015, 10(3): 38-49. | |
47 | 何佳,时迪,王贝贝,等.10种典型重金属在八大流域的生态风险及水质标准评价[J].中国环境科学,2019,39(7):2970-2982. |
HE J, SHI D, WANG B B, et al.. Ecological risk assessment and water quality standard evaluation of 10 typical metals in eight basins in China [J]. China Environ. Sci., 2019, 39(7): 2970-2982. | |
48 | 胡国涛.竹柳积累重金属及其生理变化规律的研究[D].杭州:浙江农林大学,2016:11-17. |
HU G T. Metal accumulation and psychological responses of Bamboo-willow (Salix sp.) to heavy metal stress [D]. Hangzhou: Zhejiang A&F University, 2016: 11-17. | |
49 | 杨岚鹏,朱健,王平,等.栾树对镉的耐性、富集及胁迫响应[J].植物生理学报,2017,53(8):1419-1427. |
YANG L P, ZHU J, WANG P, et al.. Tolerance, accumulation and stress response of Koelreuteria paniculata to cadmium [J]. Plant Physiol. J., 2017, 53(8): 1419-1427. |
[1] | Kerou SHI, Nan WANG, Yinyin LUAN, Yanqing LI, Zhen ZHANG, Yuanyuan YAO, Chao RAN, Qianwen DING, Yalin YANG, Zhigang ZHOU. Preparation and Characterization of Yeast Cobalt and Its Application in Fish Stress Resistance [J]. Journal of Agricultural Science and Technology, 2025, 27(9): 240-249. |
[2] | Wei HE, Linqing SONG, Xinglin WU, Junjie AI, Liwei JI, Limin WANG, Yanbin WANG, Bin PENG, Xiaohua DAI, Qingyong GUO. Isolation and Characterization of Bovine-origin Proteus mirabilis from Xinjiang and Analysis of Drug Resistance and Virulence Genes [J]. Journal of Agricultural Science and Technology, 2025, 27(7): 142-149. |
[3] | Lihua SHAO, Peng LI. Proteome Analysis of Rice Response to Gibberella fujikuroi Infection [J]. Journal of Agricultural Science and Technology, 2025, 27(6): 126-135. |
[4] | Huilai WANG, Shuai LI, Yin WANG, Dongtao WU, Jiawei MA, Zhengqian YE, Yongqing CHI, Mei WANG. Effect of Long-term Fertilization on Diversity of Bacterial Community and Distribution of ARGs in Grape Soil [J]. Journal of Agricultural Science and Technology, 2025, 27(6): 229-239. |
[5] | Guangcai FU, Daojun LI, Hongwei YANG, Shenghui LI, Qingshuang ZHANG, Zhen ZHANG. Effects of Chitosan Oligosaccharides in Dietary on Hepatointestinal Health and Disease Resistance of Zebrafish [J]. Journal of Agricultural Science and Technology, 2025, 27(5): 222-230. |
[6] | Jinlin LIU, Yingying CHEN, Xiaomei LAN, Haiyong CHEN, Pengsheng LI, Bi QIN, Ye YANG. Identification and Sensitivity to Fungicides of Pathogen Species of Hass Avocado Fruit Anthracnose [J]. Journal of Agricultural Science and Technology, 2025, 27(1): 138-146. |
[7] | Zhichao REN, Yaohui MU, Xuyang YAO, Shue LI, Yongfeng ZHANG, Tianbao REN, Guoshun LIU, Quanyu YIN. Physiological Response of Tobacco Infected by Phytophthora to Trichoderma harzianum Inoculation Sequence [J]. Journal of Agricultural Science and Technology, 2025, 27(1): 155-164. |
[8] | Haili LI, Yindi XU, Zhifang WANG, Wenhao ZHU, Lixian ZHANG, Chunjiang MA. Whole Genome Sequencing of Multi-drug Resistant Escherichia coli and Its Drug Resistance Analysis [J]. Journal of Agricultural Science and Technology, 2024, 26(6): 113-121. |
[9] | Sirou GUO, Xiaolei WEN, Jianing LI, Jianhua WANG, Weiming SUN, Lina FENG, Huixia QI. Optimization of Chinese Chestnut Yellow Crinkle Detection Method and Resistance Identification of 10 Chestnut Varieties [J]. Journal of Agricultural Science and Technology, 2024, 26(6): 226-233. |
[10] | Zhaodi YANG, Fenggen GUO, Shiyu WANG, Zhengjie LIU, Wenhong LONG. Effect of Plant Growth Inhibitors on Agronomic Traits and Pre-harvest Sprouting Resistance of Quinoa [J]. Journal of Agricultural Science and Technology, 2024, 26(5): 44-51. |
[11] | Xiaobing LIN, Binqiang WANG, Yanhong CHENG, Lijun ZHOU, Shangshu HUANG, Lin WU, Qianru HUANG, Shaolang HE. Soil Heavy Metals Pollution Characteristics and Risk Assessment in Main Production Area of Jinggang Honey Pomelo [J]. Journal of Agricultural Science and Technology, 2024, 26(3): 188-200. |
[12] | Jiangbo LI, Wenju GAO, Xiaodong YUN, Jieyin ZHAO, Shiwei GENG, Chunbin HAN, Quanjia CHEN, Qin CHEN. Effects of Different Water Stress Treatments on Core Germplasm Resources of Upland Cotton [J]. Journal of Agricultural Science and Technology, 2024, 26(3): 26-39. |
[13] | Panpan MENG, Haiyan HE, Yuxin CAO, Lixin ZHANG, Qinghao LYU, Ruilin QI, Hongrui ZHANG. Comprehensive Evaluation of 5 Cultivation Types of Medicinal Chrysanthemum morifolium Ramat. at Branching Stage [J]. Journal of Agricultural Science and Technology, 2024, 26(2): 90-99. |
[14] | Junjia CHANG, Jiaxin GAI, Gang TAO, Zhuanlonghai MO. Evaluation of the Growth-promoting Effect of Trichoderma harzianum on Tobacco and Its Induced Resistance to Black Shank Disease [J]. Journal of Agricultural Science and Technology, 2024, 26(10): 168-176. |
[15] | Yuan HE, Xiaotong GU, Liqing FENG, Huijun DUAN, Yongsheng TAO. Screening and Evaluation of Drought Resistance Index for Maize Hybrids During Seedling and Germination Stages [J]. Journal of Agricultural Science and Technology, 2024, 26(10): 30-40. |
Viewed | ||||||
Full text |
|
|||||
Abstract |
|
|||||