中国农业科技导报 ›› 2022, Vol. 24 ›› Issue (1): 71-82.DOI: 10.13304/j.nykjdb.2021.0400

• 生物技术 生命科学 • 上一篇    下一篇

低磷胁迫下3种不同种源葛藤的生长生理响应

张淑炜(), 赵丽丽, 陈超, 谭景晨, 张莉, 席溢()   

  1. 贵州大学动物科学学院,贵阳 550025
  • 收稿日期:2021-04-11 接受日期:2021-06-01 出版日期:2022-01-15 发布日期:2022-01-25
  • 通讯作者: 席溢
  • 作者简介:张淑炜 E-mail:1412570109@qq.com
  • 基金资助:
    贵州省科技厅科学技术基金项目(黔科合基础〔2020〕1Y126);贵州省科技厅科技支撑计划项目(黔科合支撑〔2018〕2258);贵州省普通高等学校科技拔尖人才支持计划项目(黔教合KY字〔2017〕059);贵州省草地生态畜牧业人才基地项目(RCJD2018-13)

Growth and Physiological Response of 3 Different Provenances of Pueraria lobate Under Low Phosphorus Stress

Shuwei ZHANG(), Lili ZHAO, Chao CHEN, Jingchen TAN, Li ZHANG, Yi XI()   

  1. College of Animal Science,Guizhou University,Guiyang 550025,China
  • Received:2021-04-11 Accepted:2021-06-01 Online:2022-01-15 Published:2022-01-25
  • Contact: Yi XI

摘要:

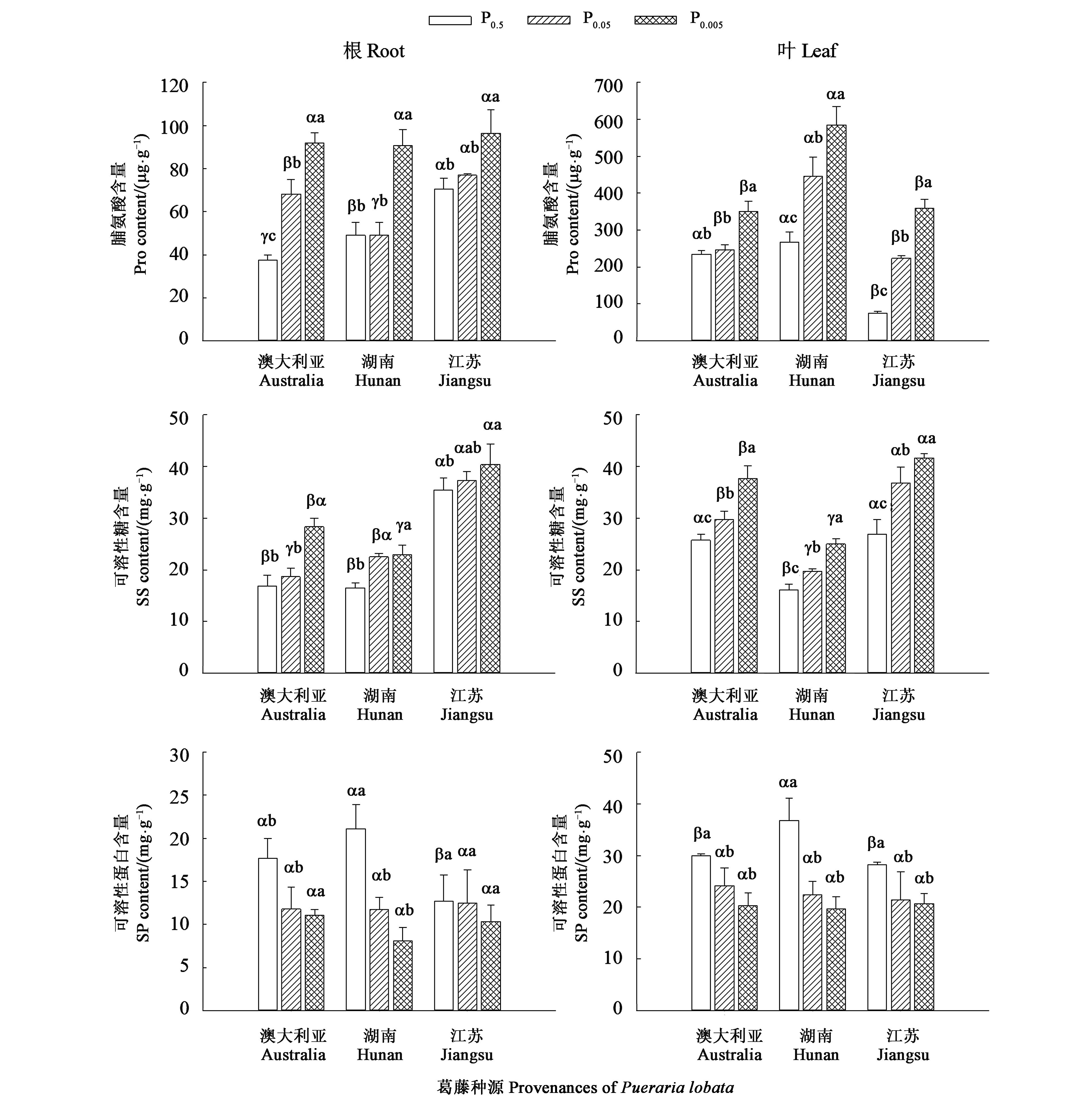
为揭示葛藤(Pueraria lobate)幼苗对低磷胁迫的适应机制,选取来自澳大利亚和我国湖南和江苏的3个不同种源的葛藤为试验材料,设置0.5(常磷)、0.05(低磷)和0.005 (极低磷) mmol·L-1 3种不同KH2PO4浓度处理,测定不同磷处理下3个不同种源葛藤幼苗的生长及生理响应。结果表明,0.05 mmol·L-1磷处理下,3个不同种源葛藤的根长、根表面积、根直径等根系指标和叶面积、叶周长等叶片指标均呈显著上升趋势(P<0.05),表明葛藤具有一定的耐低磷性;在0.005 mmol·L-1磷处理下,湖南和江苏葛藤的根系指标较澳大利亚葛藤受到了明显抑制,但湖南葛藤的叶片形态指标呈增长趋势。3个不同种源葛藤在低磷胁迫下的根和叶中脯氨酸、可溶性糖、丙二醛含量及抗氧化酶活性均显著增加(P<0.05),但可溶性蛋白含量下降。综上所述,澳大利亚葛藤的耐低磷能力强,具有较高的种植推广价值。

关键词: 葛藤, 低磷胁迫, 形态特征, 生理响应

Abstract:

In order to reveal the adaptive mechanism of Pueraria lobate seedlings to low phosphorus stress, taking 3 different provenances of P.lobata from Australia, and Hunan and Jiangsu in China as experimental materials, and 3 different KH2PO4 treatments were set at a concentration of 0.5 (normal phosphorus), 0.05 (low phosphorus) and 0.005 (very low phosphorus) mmol·L-1. The growth and physiological response of P.lobata seedlings from 3 different provenances under different phosphorus treatments were measured. The results showed that the root indexes such as root length, root surface area and root diameter of three different provenances of P. lobata increased significantly under 0.05 mmol·L-1 treatment, leaf area, leaf perimeter and other leaf indexes also showed an upward trend (P<0.05), P. lobata had certain resistance to low phosphorus. Under 0.005 mmol·L-1 phosphorus treatment, the root morphological indexes of P. lobata from Hunan and Jiangsu were obviously suppressed, but the leaf morphological indexes of P. lobata from Hunan showed an increasing trend. The contents of proline, soluble sugar, malondialdehyde and activities of antioxidant enzymes (SOD, POD, CAT) in roots and leaves of P. lobata from 3 different provenances increased significantly under low and very low phosphorus treatments (P<0.05), but the content of soluble protein decreased. In summary, the P. lobata from Australian had strong tolerance of low phosphorus and had a high value for planting and promotion.

Key words: Pueraria lobate, low phosphorus stress, morphological characteristics, physiological response

中图分类号: