中国农业科技导报 ›› 2025, Vol. 27 ›› Issue (5): 222-230.DOI: 10.13304/j.nykjdb.2025.0159

• 海洋农业 淡水渔业 • 上一篇    下一篇

饲料中添加壳寡糖对斑马鱼肝肠健康和抗病能力的影响

符广才1(), 李道君2, 杨宏伟3, 李生辉3, 张青双3(), 张震3()   

  1. 1.广东东腾饲料有限公司,广东 湛江 524094
    2.浙江湖州新路联合生物科技有限公司,浙江 湖州 313300
    3.中国农业科学院饲料研究所,农业农村部饲料生物技术重点开放实验室,北京 100081
  • 收稿日期:2025-03-06 接受日期:2025-03-18 出版日期:2025-05-15 发布日期:2025-05-20
  • 通讯作者: 张青双,张震
  • 作者简介:符广才E-mail:fgc.dt@163.com
  • 基金资助:
    国家自然科学基金项目(32330110)

Effects of Chitosan Oligosaccharides in Dietary on Hepatointestinal Health and Disease Resistance of Zebrafish

Guangcai FU1(), Daojun LI2, Hongwei YANG3, Shenghui LI3, Qingshuang ZHANG3(), Zhen ZHANG3()   

  1. 1.Guangdong Dongteng Feed Co. ,Ltd. ,Guangdong Zhanjiang,524094,China
    2.Zhejiang Huzhou Sino-Norway Joint Biotechnology Co. ,Ltd. ,Zhejiang Huzhou,313300,China
    3.Key Laboratory for Feed Biotechnology of Ministry of Agriculture,and Rural Affairs Institute of Feed Research,Chinese Academy of Agricultural Sciences,Beijing 100081,China
  • Received:2025-03-06 Accepted:2025-03-18 Online:2025-05-15 Published:2025-05-20
  • Contact: Qingshuang ZHANG,Zhen ZHANG

摘要:

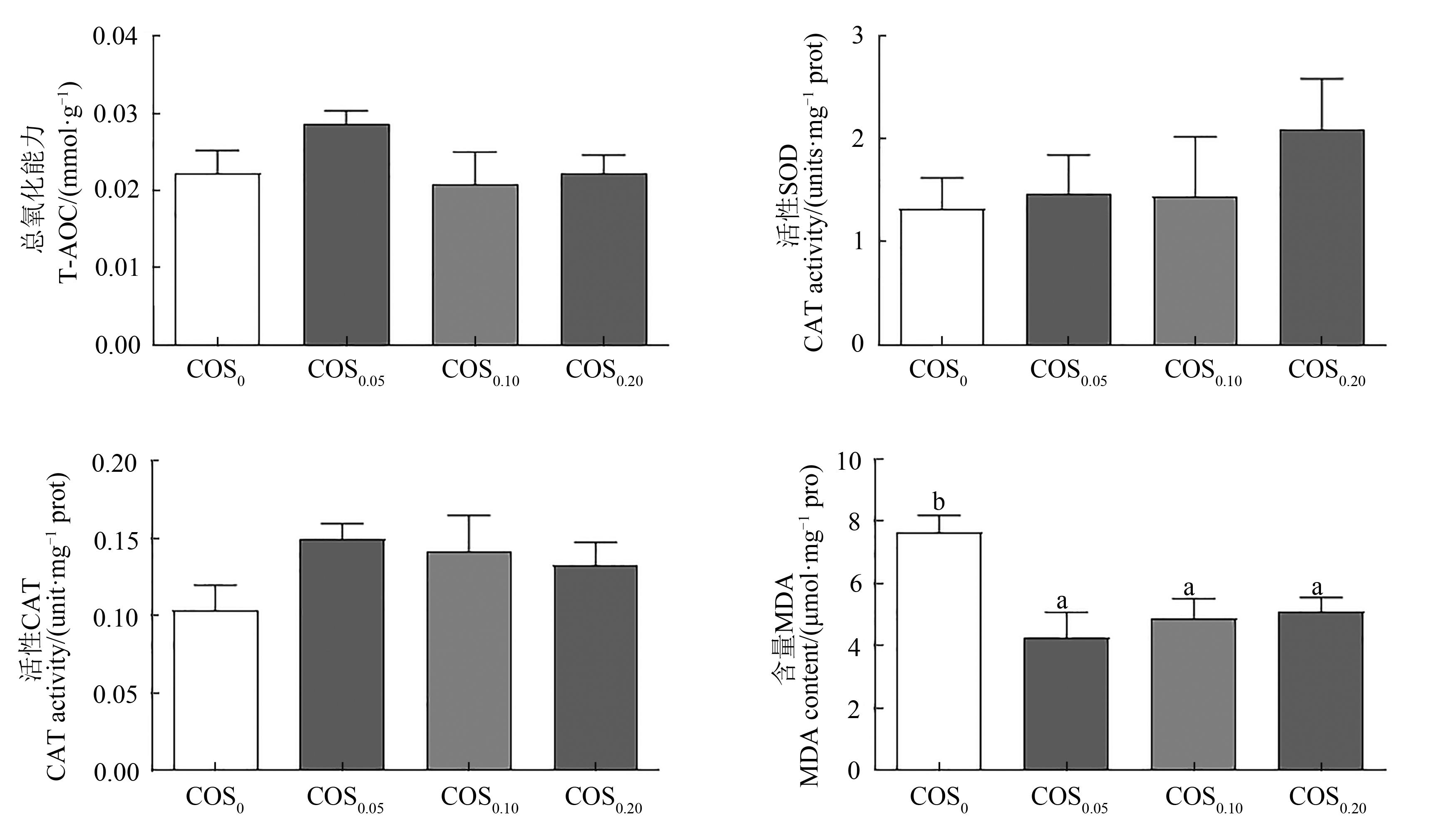
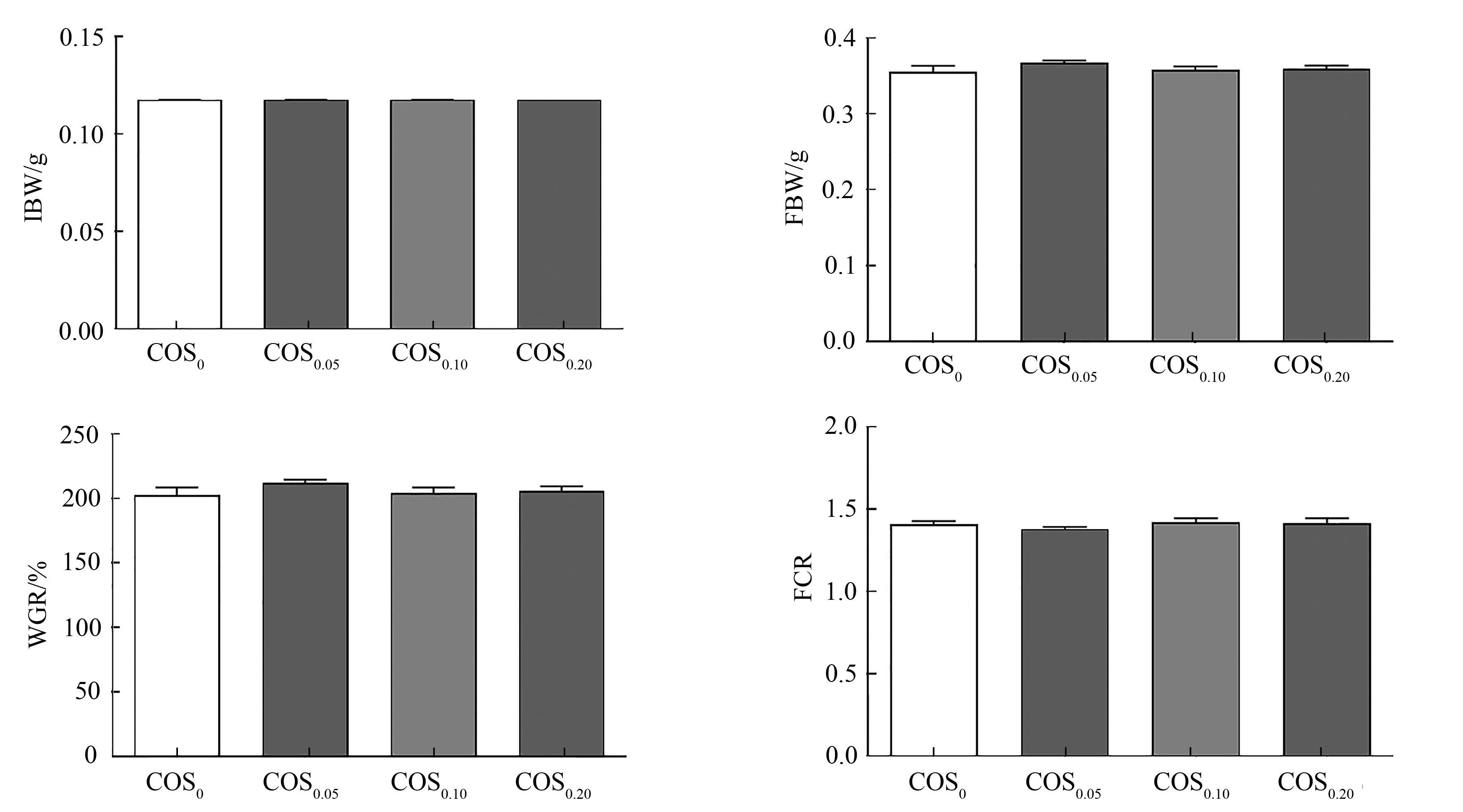
为探究饲料中添加壳寡糖对斑马鱼肝肠健康和抗病力的影响,设置添加质量分数0(对照)、0.05%、0.10%和0.20%壳寡糖4个处理,开展了28 d的养殖实验。结果表明,饲喂壳寡糖对斑马鱼的生长影响不显著(P>0.05)。但是,饲喂壳寡糖提高了斑马鱼的抗氧化能力,显著降低了肝脏和肠道中丙二醛的含量(P<0.05);同时提高了肠道中抗炎因子基因(转化生长因子tgf-β)的表达,并且显著降低了促炎因子基因(核转录因子nf-κb、肿瘤坏死因子tnf-α和白介素il-1β)的表达。此外,饲喂壳寡糖提高了斑马鱼肠道中铁调素(hepcidin)、溶菌酶(LYS)、闭锁小带蛋白-1(zo-1)和闭合蛋白(occludin)基因的表达,以及在病原菌感染后的存活率。上述结果表明,饲料中添加0.10%的壳寡糖提高了斑马鱼的非特异性免疫,改善了肝、肠健康以及抗维氏气单胞菌感染的能力,为壳寡糖安全、高效地在水产养殖中的推广与利用提供了参考。

关键词: 壳寡糖, 斑马鱼, 肝肠健康, 非特异性免疫, 抗病力

Abstract:

To investigate the effects of dietary supplementation with chitosan oligosaccharide on the hepatointestinal health and disease resistance of zebrafish, a 28-day feeding trial was conducted, which designed 4 treatment groups with chitosan oligosaccharide supplementation at mass fractions of 0 (control), 0.05%, 0.10% and 0.20%. The results showed that feeding chitosan oligosaccharide had no significant effect on the growth of zebrafish (P>0.05). However, it enhanced the antioxidant capacity of zebrafish, significantly reduced the content of malondialdehyde in the liver and intestine (P<0.05), increased the expression of the anti-inflammatory factor gene (transforming growth factor tgf-β) in the intestine, and significantly decreased the expression of pro-inflammatory factor genes (nuclear transcription factor nf-?κb, tumor necrosis factor tnf-?α and interleukin il-1β). In addition, dietary chitosan oligosaccharide increased the expression of genes related to hepcidin, lysozyme (LYS), zonula occludens-1 (zo-1), and occladin (occludin) in the intestine of zebrafish, as well as the survival rate after pathogenic bacterial infection. The results indicated that the addition of 0.10% chitosan oligosaccharide to the feed enhances the non-specific immunity of zebrafish, improves liver and intestinal health, and the ability to resist Aeromonas veronii infection, providing a reference for the safe and efficient promotion and utilization of chitosan oligosaccharide in aquaculture.

Key words: chitosan oligosaccharides, zebrafish, liver and intestinal health, non-specific immunity, disease resistance

中图分类号: