中国农业科技导报 ›› 2025, Vol. 27 ›› Issue (8): 132-143.DOI: 10.13304/j.nykjdb.2024.0557
杨令辉1(), 丁志伟1, 龚黎1, 李学俊1,2, 董云萍1, 吕振江1,2(
)
收稿日期:
2024-07-16
接受日期:
2024-08-28
出版日期:
2025-08-15
发布日期:
2025-08-26
通讯作者:
吕振江
作者简介:
杨令辉 E-mail:2646634334@qq.com;
基金资助:
Linghui YANG1(), Zhiwei DING1, Li GONG1, Xuejun LI1,2, Yunping DONG1, Zhenjiang LYU1,2(
)
Received:
2024-07-16
Accepted:
2024-08-28
Online:
2025-08-15
Published:
2025-08-26
Contact:
Zhenjiang LYU
摘要:
咖啡为茜草科(Rubiaceae)咖啡属(Coffea)植物,是重要的热带经济作物,因其特殊的风味及生物功能深受大众喜爱。咖啡因和葫芦巴碱是咖啡风味物质的重要成分,具有抗炎、抗癌症、调节新陈代谢、神经保护以及治疗糖尿病等多种生物活性。综述近年来咖啡生物碱类物质的提取测定方法及主要化合物的合成代谢途径、生物活性等方面的研究进展,并对未来深入研究咖啡生物碱类化合物多样性、提取测定方法、生物活性以及咖啡产品研发等方向进行了展望,为进一步研究咖啡相关应用提供了理论参考。
中图分类号:
杨令辉, 丁志伟, 龚黎, 李学俊, 董云萍, 吕振江. 咖啡生物碱类主要化合物的提取、合成代谢途径及活性研究进展[J]. 中国农业科技导报, 2025, 27(8): 132-143.
Linghui YANG, Zhiwei DING, Li GONG, Xuejun LI, Yunping DONG, Zhenjiang LYU. Progress in Extraction, Synthetic Metabolic Pathways, and Bioactivity Research of Coffea Alkaloid Main Compounds[J]. Journal of Agricultural Science and Technology, 2025, 27(8): 132-143.
化合物名称Name of compound | 部位Part | 参考文献Reference |
---|---|---|
1,3,7,9-四甲基尿酸 Theacrine | L | [ |
大果咖啡碱 Libertine | L | [ |
甲基大果咖啡碱 Methyllibetine | L | [ |
咖啡因 Caffeine | L, GB, CB | [ |
葫芦巴碱 Trigonelline | GB, CB | [ |
可可碱 Theobromine | CB | [ |
茶碱 Theophylline | CB | [ |
烟酸 Nicotinic acid | CB | [ |
表1 咖啡中生物碱类化合物
Table 1 Alkaloid compounds in Coffea
化合物名称Name of compound | 部位Part | 参考文献Reference |
---|---|---|
1,3,7,9-四甲基尿酸 Theacrine | L | [ |
大果咖啡碱 Libertine | L | [ |
甲基大果咖啡碱 Methyllibetine | L | [ |
咖啡因 Caffeine | L, GB, CB | [ |
葫芦巴碱 Trigonelline | GB, CB | [ |
可可碱 Theobromine | CB | [ |
茶碱 Theophylline | CB | [ |
烟酸 Nicotinic acid | CB | [ |
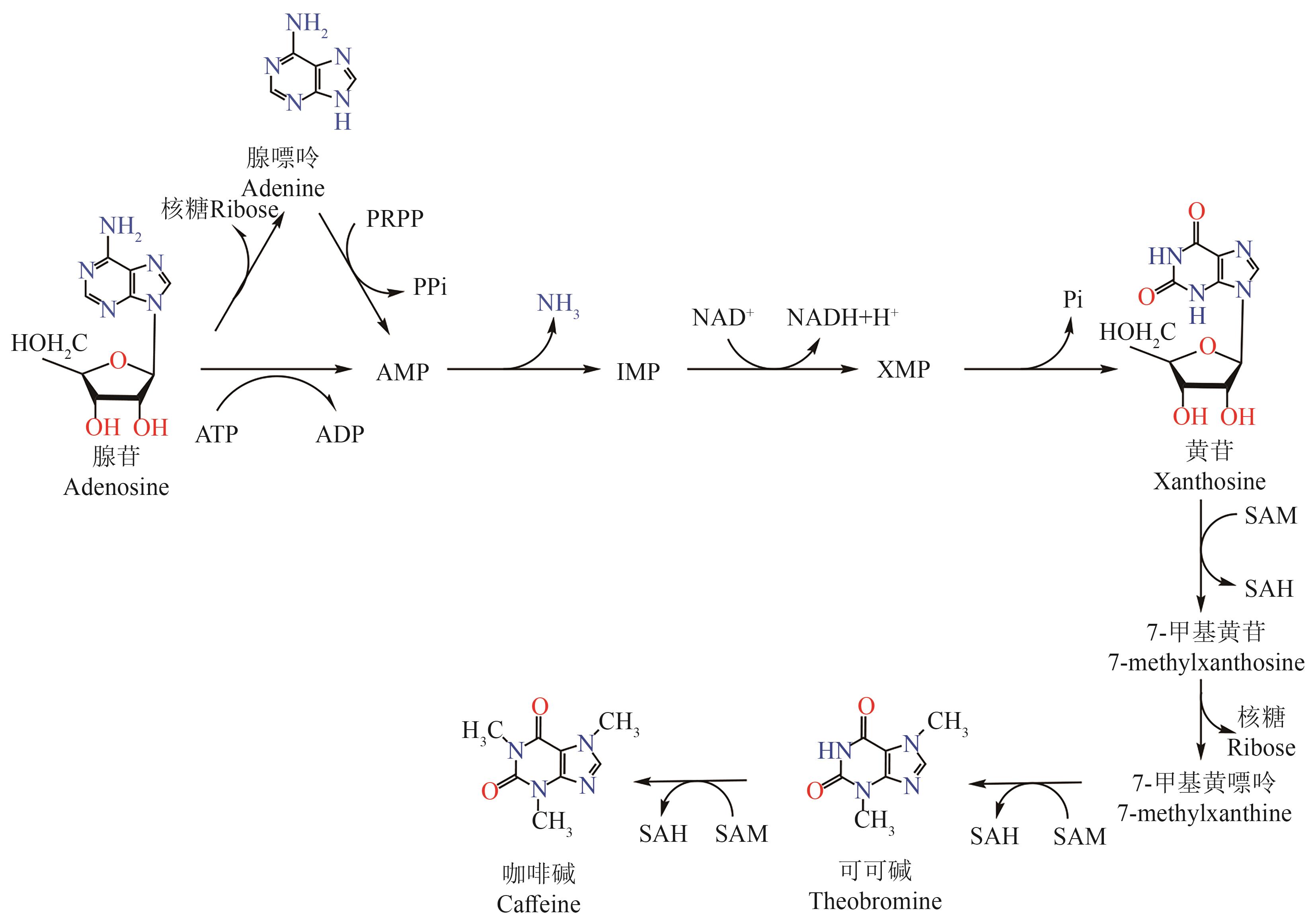
图2 咖啡碱生物合成途径[45]注:AMP—腺苷一磷酸;IMP—肌苷酸;XMP—单磷酸黄嘌呤;PRPP—5-磷酸核糖-1α-焦磷酸;PPi—蛋白质交互作用;ATP—三磷酸腺苷;ADP—二磷酸腺苷;NAD+—烟酰胺腺嘌呤二核苷酸;NADH+—还原型烟酰胺腺嘌呤二核苷酸;Pi—无机磷酸盐;SAM—S-腺苷蛋氨酸;SAH—S-腺苷高半胱氨酸。
Fig. 2 Biosynthetic pathway of Caffeine[45]Note:AMP—Adenosine monophosphate; IMP—Inosine monophosphate; XMP—Xanthosine 5’-monophosphate; PRPP—Phosphoribosyl pyrophosphate; PPi—Protein-protein interactions; ATP—Adenosine-triphosphate; ADP—Adenosine diphosphate; NAD+—Nicotinamide adenine dinucleotide; NADH+—Reductive nicotinamide adenine dinucleotide; Pi—Inorganic phosphate; SAM—S-adenosylmethionine; SAH—S-adenosylhomocysteine.
图4 葫芦巴碱生物合成途径[45]注:NaMN—烟酸单核苷酸;NaAD—烟酸腺嘌呤二核苷酸;NAD—烟酰胺腺嘌呤二核苷酸;NADP—烟酰胺腺嘌呤二核苷酸磷酸;NMN—β-烟酰胺单核苷酸;PRPP—5-磷酸核糖-1α-焦磷酸;PPi—蛋白质交互作用;ATP—三磷酸腺苷;ADP—二磷酸腺苷;AMP—腺苷一磷酸;SAM—S-腺苷蛋氨酸;SAH—S-腺苷高半胱氨酸。
Fig. 4 Biosynthetic pathway of Trigonelline[45]Note: NaMN—Nicotinic acid mononucleotide; NaAD—Nicotinic acid adenine dinucleotide; NAD—Nicotinamide adenine dinucleotide; NADP—Nicotinamide adenine dinucleotide phosphate; NMN—β-nicotinamide mononucleotide; PRPP—Phosphoribosyl pyrophosphate; PPi—Protein–protein interactions; ATP—Adenosine-triphosphate; ADP—Adenosine diphosphate; AMP—Adenosine monophosphate; SAM—S-adenosylmethionine; SAH—S-adenosylhomocysteine.
[1] | THURBER F B. Coffee: from Plantation to Cup: A Brief History of Coffee Production and Consumption [M]. American Grocer Pub. Association, 1889:1-258. |
[2] | 陆洲,秦向阳,李奇峰,等.作物生态适宜性定量化评价方法及通用工具[J].农业工程学报,2012,28(20):195-201. |
LU Z, QIN X Y, LI Q F, et al.. Quantitative evaluation method and universal tool for crop ecological suitability [J]. Trans. Chin. Soc. Agric. Eng., 2012, 28(20): 195-201. | |
[3] | DAMATTA F M, AVILA R T, CARDOSO A A, et al.. Physiological and agronomic performance of the coffee crop in the context of climate change and global warming: a review [J]. J. Agric. Food Chem., 2018, 66(21): 5264-5274. |
[4] | 龙宇宙,董云萍,孙燕.咖啡品种简介[J].世界热带农业信息,2019(9):12. |
[5] | 王雪松,刘杰,武瑞瑞,等.保山市潞江坝咖啡品种资源生长及产量性状调查[J].中国热带农业,2014(4):27-30. |
[6] | 李维锐,周仕峥.我国咖啡产业发展现状及前景[J].热带农业科学,2011,31(10):105-108. |
LI W R, ZHOU S Z. Development status and prospects of coffee industry in China [J]. Chin. J. Trop. Agric., 2011, 31(10): 105-108. | |
[7] | 芮丹萍,全伟,罗勇,等.云南省咖啡产业科技发展现状及对策研究[J].中国农村科技,2023(8):49-51. |
[8] | 张明达,王睿芳,李艺,等.云南省小粒咖啡种植生态适宜性区划[J].中国生态农业学报,2020,28(2):168-178. |
ZHANG M D, WANG R F, LI Y, et al.. Ecological suitability zoning of Coffea Arabica L. in Yunnan province [J]. Chin. J. Eco-Agric., 2020, 28(2): 168-178. | |
[9] | 董云萍,龙宇宙,林兴军,等.不同施肥量对小粒咖啡产量、品质及经济效益的影响[J].中国农业科技导报,2022,24(3):197-203. |
DONG Y P, LONG Y Z, LIN X J, et al.. Effect of different fertilizer applications on yield, quality and economic benefit of Coffea Arabica L [J]. J. Agric. Sci. Technol., 2022, 24(3): 197-203. | |
[10] | 沈晓静,字成庭,辉绍良,等.咖啡化学成分及其生物活性研究进展[J].热带亚热带植物学报,2021,29(1):112-122. |
SHEN X J, ZI C T, HUI S L, et al.. Advances on chemical components and biological activities of coffee [J]. J. Trop. Subtrop. Bot., 2021, 29(1): 112-122. | |
[11] | LANG T, LANG R, DI PIZIO A, et al.. Numerous compounds orchestrate coffee’s bitterness [J]. J. Agric. Food Chem., 2020, 68(24): 6692-6700. |
[12] | DE SOUZA GOIS BARBOSA M, DOS SANTOS SCHOLZ M B, KITZBERGER C S G, et al.. Correlation between the composition of green Arabica coffee beans and the sensory quality of coffee brews [J]. Food Chem., 2019, 292: 275-280. |
[13] | 龙文静.咖啡豆中咖啡因与绿原酸的研究进展[J].广西轻工业,2010,26(1):1-2, 112. |
[14] | 朱晓,方海琴,张立实,等.咖啡的健康效应研究进展[J].中国食品卫生杂志,2019,31(1):93-98. |
ZHU X, FANG H Q, ZHANG L S, et al.. Research progress on the health effects of coffee [J]. Chin. J. Food Hyg., 2019, 31(1): 93-98. | |
[15] | 刘敏,蒋跃平,刘韶.鱼腥草中生物碱类化学成分及其生物活性研究进展[J].天然产物研究与开发,2018,30(1):141-145, 133. |
LIU M, JIANG Y P, LIU S. Advance on alkaloids chemical constituents and bioactivities of Houttuynlae cordata [J]. Nat. Prod. Res. Dev., 2018, 30(1): 141-145, 133. | |
[16] | PETERMANN J B, BAUMANN T W. Metabolic relations between methylxanthines and methyluric acids in Coffea L. [J]. Plant Physiol., 1983, 73(4): 961-964. |
[17] | RODRIGUES N P, BRAGAGNOLO N. Identification and quantification of bioactive compounds in coffee brews by HPLC-DAD-MSn [J]. J. Food Compos. Anal., 2013, 32(2): 105-115. |
[18] | CAPORASO N, WHITWORTH M B, GREBBY S, et al.. Non-destructive analysis of sucrose, caffeine and trigonelline on single green coffee beans by hyperspectral imaging [J]. Food Res. Int., 2018, 106: 193-203. |
[19] | HE D, ZHAO W, LI P, et al.. Bifunctional biomass-derived 3D nitrogen-doped porous carbon for oxygen reduction reaction and solid-state supercapacitor [J]. Appl. Surf. Sci., 2019, 465: 303-312. |
[20] | 周权,张常明,左建军,等.生物碱的提取工艺、生物学功能及在动物生产中的应用研究进展[J].广东饲料,2023,32(6):31-34. |
[21] | YAGLIKCI S, GOKCE Y, YAGMUR E, et al.. The performance of sulphur doped activated carbon supercapacitors prepared from waste tea [J]. Environ. Technol., 2020, 41(1): 36-48. |
[22] | ZIMMERMAN J K. Exploring proteins: A student’s guide to experimental skills and methods [J/OL]. Biochem. Mol. Biol. Education, 2010, 38(2): 127 [2024-06-15]. . |
[23] | 劳超,李毅花,冯秀静,等.超声辅助提取香菇多糖及其生物活性的研究进展[J].大众科技,2017,19(2):35-38. |
LAO C, LI Y H, FENG X J, et al.. A view of extraction of lentinan assisted by ultrasound and its bioactivities [J]. Pop. Sci. Technol., 2017, 19(2): 35-38. | |
[24] | 彭洁,吴菲菲,李化强,等.超声辅助提取紫薯花青素的研究进展[J].食品安全质量检测学报,2019,10(24): 8296-8301. |
PENG J, WU F F, LI H Q, et al.. Research progress of ultrasound-assisted extraction of anthocyanins from purple sweet potato [J]. J. Food Saf. Qual., 2019, 10(24): 8296-8301. | |
[25] | 李冬梅,杭方学,陆海勤,等.超声辅助提取枸杞多糖的研究进展[J].食品工业科技,2015,36(20):392-395, 399. |
LI D M, HANG F X, LU H Q, et al.. A view of extraction of Lycium bararum polysaccharides assisted by ultrasound and its bioactivities [J]. Sci. Technol. Food Ind., 2015, 36(20): 392-395, 399. | |
[26] | 王国莉,黄齐林,严亚铃,等.咖啡壳中咖啡因的提取工艺及其抗氧化活性研究[J].现代农业科技,2023(13):201-205. |
WANG G L, HUANG Q L, YAN Y L, et al.. Study on extraction technology and antioxidant activity of caffeine from coffee husks [J]. Mod. Agric. Sci. Technol., 2023(13): 201-205. | |
[27] | 何红艳,刘光华,文志华,等.咖啡提取率影响因素初探[J].广西农业科学,2010,41(3):248-249. |
HE H Y, LIU G H, WEN Z H, et al.. Factors influencing the coffee extraction rate [J]. J. South. Agric., 2010, 41(3): 248-249. | |
[28] | 赵清岚,杨静,白冰,等.薄层扫描法同时测定绿茶中的EGCG、ECG和咖啡因[J].河南大学学报(自然科学版),2009,39(3):256-258. |
ZHAO Q L, YANG J, BAI B, et al.. Simultaneous determination of EGCG, ECG and caffeine in green teas by thin layer chromatography scanning [J]. J. Henan Univ. (Nat. Sci.), 2009, 39(3): 256-258. | |
[29] | TASKER R A, CONNELL B J, STRAIN S M. Pharmacology of systemically administered domoic acid in mice [J]. Can. J. Physiol. Pharmacol., 1991, 69(3): 378-382. |
[30] | SMITH D S, KITTS D D. Enzyme immunoassay for the determination of domoic acid in mussel extracts [J]. J. Agric. Food Chem., 1995, 43(2): 367-371. |
[31] | 沈其元.高效液相色谱法测定饮料中的咖啡因[J].环境与职业医学,2002,19(5):329. |
[32] | GARTHWAITE I, ROSS K M, MILES C O, et al.. Polyclonal antibodies to domoic acid, and their use in immunoassays for domoic acid in sea water and shellfish [J]. Nat. Toxins, 1998, 6(3-4): 93-104. |
[33] | 张帆,贺学峰,汪学楷.高效液相色谱法测定饮料中食品添加剂的含量[J].四川大学学报(工程科学版),2000,34(4):56-58. |
ZHANG F, HE X F, WANG X K, et al.. The analysis of food additive in coke drinks by liquid chromatorgraphy [J]. J. Sichuan Univ. (Eng. Sci.), 2000, 34(4): 56-58. | |
[34] | 周鹏妹.高效液相色谱在药物分析中的应用研究进展[J].化学工程与装备,2022(8):249-250. |
[35] | 李莎莎,于娟,谭淑瑜,等.HPLC法测定不同产地咖啡中咖啡因、咖啡酸及绿原酸的含量[J].江西中医药大学学报,2017,29(1):90-93. |
LI S S, YU J, TAN S Y, et al.. Determination of caffeine, caffeic acid and chlorogenic acid in coffee beans from different origins by RP-HPLC [J]. J. Jiangxi Univ. Chin. Med., 2017, 29(1): 90-93. | |
[36] | 韩洪波,杨春琳,李敏杰.HPLC测定小粒种咖啡不同部位咖啡因含量[J].食品研究与开发,2013,34(6):85-88. |
HAN H B, YANG C L, LI M J. The caffeine content determination in different parts of Arabica coffee by HPLC [J]. Food Res. Dev., 2013, 34(6): 85-88. | |
[37] | 刘宏程,黎其万,邵金良,等.超声波萃取-高效液相色谱测定咖啡粉和速溶咖啡中的葫芦巴碱[J].色谱,2011,29(11):1103-1106. |
LIU H C, LI Q W, SHAO J L, et al.. Determination of trigonelline in coffee powder and instant coffee by ultrasonic extraction and high performance liquid chromatography [J]. Chin. J. Chromatogr., 2011, 29(11): 1103-1106. | |
[38] | CASAL S, OLIVEIRA M B, ALVES M R, et al.. Discriminate analysis of roasted coffee varieties for trigonelline, nicotinic acid, and caffeine content [J]. J. Agric. Food Chem., 2000, 48(8): 3420-3424. |
[39] | FRANCA A S, MENDONÇA J C F, OLIVEIRA S D. Composition of green and roasted coffees of different cup qualities [J]. LWT Food Sci. Technol., 2005, 38(7): 709-715. |
[40] | TIAN W, SUN C, ZHENG M, et al.. Efficient biosynthesis of heterodimeric C(3)-aryl pyrroloindoline alkaloids [J/OL]. Nat. Commun., 2018, 9(1): 4428 [2024-06-15]. . |
[41] | QIU F, YAN Y, ZENG J, et al.. Biochemical and metabolic insights into hyoscyamine dehydrogenase [J]. ACS Catalysis, 2021, 11(5): 2912-2924. |
[42] | ASHIHARA H, SUZUKI T. Distribution and biosynthesis of caffeine in plants [J]. Front. Biosci., 2004, 9: 1864-1876. |
[43] | WANG W, ZHU B Y, WANG P, et al.. Enantiomeric trimethylallantoin monomers, dimers, and trimethyltriuret: evidence for an alternative catabolic pathway of caffeine in tea plant [J]. Org. Lett., 2019, 21(13): 5147-5151. |
[44] | 金璐.茶树咖啡碱生物合成途径研究及其分子调控[D].合肥:安徽农业大学,2012. |
JIN L. Study on caffeine biosynthetic pathway and molecular regulation in tea plant (Camellia sinensis (L.) O. Kuntze) [D]. Hefei: Anhui Agricultural University, 2014 | |
[45] | ZHENG X Q, ASHIHARA H. Distribution, biosynthesis and function of purine and pyridine alkaloids in Coffea Arabica seedlings [J]. Plant Sci., 2004, 166(3): 807-813. |
[46] | DENARO C P, WILSON M, JACOB P 3rd, et al.. The effect of liver disease on urine caffeine metabolite ratios [J]. Clin. Pharmacol. Ther., 1996, 59(6): 624-635. |
[47] | CAUBET M S, ELBAST W, DUBUC M C, et al.. Analysis of urinary caffeine metabolites by HPLC-DAD: the use of metabolic ratios to assess CYP1A2 enzyme activity [J]. J. Pharm. Biomed. Anal., 2002, 27(1-2): 261-270. |
[48] | CAUBET M S, COMTE B, BRAZIER J L. Determination of urinary 13C-caffeine metabolites by liquid chromatography-mass spectrometry: the use of metabolic ratios to assess CYP1A2 activity [J]. J. Pharm. Biomed. Anal., 2004, 34(2): 379-389. |
[49] | LI P, YE Z, FU J, et al.. CsMYB184 regulates caffeine biosynthesis in tea plants [J]. Plant Biotechnol. J., 2022, 20(6): 1012-1014. |
[50] | 刘玉飞,金基强,姚明哲,等.茶树咖啡碱合成酶基因稀有等位变异TCS1g的筛选、克隆及功能[J].中国农业科学,2019,52(10):1772-1783. |
LIU Y F, JIN J Q, YAO M Z, et al.. Screening, cloning and functional research of the rare allelic variation of caffeine synthase gene (TCS1g) in tea plants [J]. Sci. Agric. Sin., 2019, 52(10): 1772-1783. | |
[51] | 李芬,李丽江,徐丹旎,等.小粒咖啡树咖啡碱合成途径中CaXMT1、CaDXMT1、CCS1表达差异及其与咖啡碱含量的相关性[J].生物技术通报,2019,35(10):95-101. |
LI F, LI L J, XU D N, et al.. Correlation between genes expression levels of CaXMT1, CaDXMT1, CCS1 in caffeine biosynthesis pathways and caffeine content in coffee Arabica [J]. Biotechnol. Bull., 2019, 35(10): 95-101. | |
[52] | KEYA C A, CROZIER A, ASHIHARA H. Inhibition of caffeine biosynthesis in tea (Camellia sinensis) and coffee (Coffea Arabica) plants by ribavirin [J]. FEBS Lett., 2003, 554(3): 473-477. |
[53] | 金基强,姚明哲,马春雷,等.合成茶树咖啡碱相关的N-甲基转移酶基因家族的克隆及序列分析[J].茶叶科学,2014,34(2):188-194. |
JIN J Q, YAO M Z, MA C L, et al.. Cloning and sequence analysis of the N-methyltransferase gene family involving in caffeine biosynthesis of tea plant [J]. J. Tea Sci., 2014, 34(2): 188-194. | |
[54] | OGITA S, UEFUJI H, MORIMOTO M, et al.. Application of RNAi to confirm theobromine as the major intermediate for caffeine biosynthesis in coffee plants with potential for construction of decaffeinated varieties [J]. Plant Mol. Biol., 2004, 54(6): 931-941. |
[55] | 孙云,郭春芳,王秀英.聚乙二醇胁迫下茶树咖啡碱合成酶基因的差异表达[J].中国农学通报,2008,24(10):78-82. |
SUN Y, GUO C F, WANG X Y. The differential expression of the caffeine synthase gene in tea (Camellia sinensis L.) plant under polyethylene glycol stress [J]. Chin. Agric. Sci. Bull., 2008, 24(10): 78-82. | |
[56] | MOHAMADI N, SHARIFIFAR F, POURNAMDARI M, et al.. A review on biosynthesis, analytical techniques, and pharmacological activities of trigonelline as a plant alkaloid [J]. J.Diet. , 2018, 15(2): 207-222. |
[57] | 张宇婷.大白菜响应根肿菌胁迫的关键代谢途径解析[D].沈阳:沈阳农业大学,2023. |
ZHANG Y T. Analysis of key metabolic pathway of Chinese cabbage in response to Plasmodiophora brassicae stress [D]. Shenyang: Shenyang Agricultural University, 2023. | |
[58] | 陈永升,周强,赵圣印.大肠杆菌来源的喹啉酸磷酸核糖转移酶和烟酸磷酸核糖转移酶的表达纯化及酶活性的初步检测[J].微生物学通报,2012,39(1):55-61. |
CHEN Y S, ZHOU Q, ZHAO S Y. The expression, purification and activity detect of quinolinic acid phosphoribosyl transferase and nicotinic acid phosphoribosyl transferase from Escherichia coli [J]. Microbiol. China, 2012, 39(1): 55-61. | |
[59] | 廖一波.烟酰胺单核苷酸的生物酶法合成[D].广州:华南理工大学,2020. |
LIAO Y B. Biological enzymatic synthesis of nicotinamide mononucleotide [D]. Guangzhou: South China University of Technology, 2021 | |
[60] | KATAHIRA R, ASHIHARA H. Profiles of the biosynthesis and metabolism of pyridine nucleotides in potatoes (Solanum tuberosum L.) [J]. Planta, 2009, 231(1): 35-45. |
[61] | ASHIHARA H, YIN Y, KATAHIRA R, et al.. Comparison of the formation of nicotinic acid conjugates in leaves of different plant species [J]. Plant Physiol. Biochem., 2012, 60: 190-195. |
[62] | 王刚.干旱和盐胁迫下葫芦巴碱含量变化的研究[D].哈尔滨:东北林业大学,2007. |
WANG G. Functions of trigonelline on plant osmotic adjustment [D]. Haerbin: Northeast Forestry University, 2007. | |
[63] | CUONG T,鲁海霞,郭康权,等.咖啡中葫芦巴碱检测方法及含量变化研究进展[J].食品工业,2015,36(8):263-269. |
CUONG T, LU H X, GUO K Q, et al.. Research progress of detection method and the change content of trigonelline in coffee [J]. Food Ind., 2015, 36(8): 263-269. | |
[64] | ASHIHARA H, STASOLLA C, YIN Y, et al.. De novo and salvage biosynthetic pathways of pyridine nucleotides and nicotinic acid conjugates in cultured plant cells [J]. Plant Sci., 2005, 169(1): 107-114. |
[65] | 张鑫,宋经元,胡鸢雷,等.bHLH转录因子调控植物活性成分生物合成的研究进展[J].药学学报,2014,49(4):435-442. |
ZHANG X, SONG J Y, HU Y L, et al.. Research progress of the regulation on active compound biosynthesis by the bHLH transcription factors in plants [J]. Acta Pharm. Sin., 2014, 49(4): 435-442. | |
[66] | 徐东东,东琳,邵丽,等.TGA转录因子在调控植物逆境应答和生长发育中的作用研究进展[J].植物生理学报,2024,60(7):1079-1086. |
XU D D, DONG L, SHAO L, et al.. Research progress on the role of TGA transcription factor in regulating plant stress response and growth and development [J]. Plant Physiol. J., 2024, 60(7): 1079-1086. | |
[67] | ZARINKAMAR F, REZAYIAN M, MEDHAT R. Increase of trigonelline in Trigonella persica plant under drought stress [J]. J. Bot. Res., 2022, 4(2): 19-25. |
[68] | LIANG Y, DAI X, CAO Y, et al.. The neuroprotective and antidiabetic effects of trigonelline: a review of signaling pathways and molecular mechanisms [J]. Biochimie, 2023, 206: 93-104. |
[69] | 江士捧,赵丽珠.中药生物碱代谢途径研究进展[J/OL].特产研究,2024:1-9 [2024-04-08].. |
JIANG S P, ZHAO L Z. Research progress on the metabolic pathways of alkaloids in traditional Chinese medicine [J/OL]. Special Wild Econ. Anim. Plant Res., 2024:1-9 [2024-04-08]. . | |
[70] | LI D D, YU P, XIAO W, et al.. Berberine: a promising natural isoquinoline alkaloid for the development of hypolipidemic drugs [J]. Curr. Top. Med. Chem., 2020, 20(28): 2634-2647. |
[71] | 李和教.葫芦巴碱上调neuritin治疗2型糖尿病认知功能障碍的作用机制[D].泸州:西南医科大学,2018. |
LI H J. The mechanism of trigonelline up-regulating neuritin on treating type 2 diabetic cognitive dysfunction [D]. Luzhou: Southwest Medical University, 2018. | |
[72] | 王萃萃.不同剂量的咖啡因摄取对长时间重复冲刺运动表现的影响[D].上海:上海体育学院,2021. |
WANG C C. Effects of various doses of caffeine ingestion on prolonged repeated sprint exercise performance [D]. Shaihai: Shanghai University of Sport, 2022. | |
[73] | RIBEIRO B G, MORALES A P, SAMPAIO-JORGE F, et al.. Acute effects of caffeine intake on athletic performance: a systematic review and meta-analysis [J]. Revista Chilena de Nutr., 2017, 44(3): 283-291. |
[74] | GLADE M J. Caffeine-not just a stimulant [J]. Nutrition, 2010, 26(10): 932-938. |
[75] | DOHERTY M, SMITH P M. Effects of caffeine ingestion on exercise testing: a meta-analysis [J]. Int. J. Sport Nutr. Exerc. Metab., 2004, 14(6): 626-646. |
[76] | ASTORINO T A, ROHMANN R L, FIRTH K. Effect of caffeine ingestion on one-repetition maximum muscular strength [J]. Eur. J. Appl. Physiol., 2008, 102(2): 127-132. |
[77] | SOUTHWARD K, RUTHERFURD-MARKWICK K J, ALI A. The effect of acute caffeine ingestion on endurance performance: a systematic review and meta-analysis [J]. Sports Med., 2018, 48(8): 1913-1928. |
[78] | 魏陈楠,金惠玉,陈彦凤,等.饮料中咖啡因对青少年儿童的健康影响[J].中国卫生检验杂志,2019,29(21):2686-2688. |
WEI C N, JIN H Y, CHEN Y F, et al.. Effects of caffeine in drinks on the health of teenagers and children [J]. Chin. J. Health Lab. Technol., 2019, 29(21): 2686-2688. | |
[79] | 翟金晓,崔文,朱军.咖啡因的中毒、检测及其应用研究进展[J].中国司法鉴定,2017(5):30-35. |
ZHAI J X, CUI W, ZHU J. Recent advances on the study of the poisoning, analysis and application of caffeine [J]. Chin. J. Forensic Sci., 2017(5): 30-35. | |
[80] | HYPPÖNEN E, ZHOU A. Cardiovascular symptoms affect the patterns of habitual coffee consumption [J]. Am. J. Clin. Nutr., 2021, 114(1): 214-219. |
[81] | MESAS A E, LEON-MUÑOZ L M, RODRIGUEZ-ARTALEJO F, et al.. The effect of coffee on blood pressure and cardiovascular disease in hypertensive individuals: a systematic review and Meta-analysis [J]. Am. J. Clin. Nutr., 2011, 94(4): 1113-1126. |
[82] | CARELLI-ALINOVI C, FICARRA S, RUSSO A M, et al.. Involvement of acetylcholinesterase and protein kinase C in the protective effect of caffeine against β-amyloid-induced alterations in red blood cells [J]. Biochimie, 2016, 121: 52-59. |
[83] | 李慧,蒙淑红.咖啡因与心血管系统患病风险关系的研究进展[J].中国心血管杂志,2017,22(3):223-226. |
LI H, MENG S H. Research progress on the relationship between caffeine and risk of cardiovascular system [J]. Chin. J. Cardiovasc. Med., 2017, 22(3): 223-226. | |
[84] | 刘克锋,薛莹,鲁春云,等.咖啡摄入量与心血管死亡率关系的剂量-反应Meta分析[J].现代预防医学,2021,48(6):1055-1060. |
LIU K F, XUE Y, LU C Y, et al.. A dose-response Meta-analysis of the relationship between coffee intake and cardiovascular mortality [J]. Mod. Prev. Med., 2021, 48(6): 1055-1060. | |
[85] | 吴命燕,范方媛,梁月荣,等.咖啡碱的生理功能及其作用机制[J].茶叶科学,2010,30(4):235-242. |
WU M Y, FAN F Y, LIANG Y R, et al.. The physiological functions of caffeine and their related mechanisms [J]. J. Tea Sci., 2010, 30(4): 235-242. | |
[86] | ARENDASH G W, CAO C. Caffeine and coffee as therapeutics against Alzheimer’s disease [J]. JAD, 2010, 20(S1):117-126. |
[87] | 刘寒旸,周艳,龚宇,等.咖啡因在肥胖、糖尿病和肿瘤中的研究进展[J].医学综述,2016,22(5):928-932. |
LIU H Y, ZHOU Y, GONG Y, et al.. Research progress of caffeine in obesity, diabetes and tumor [J]. Med. Recapitul., 2016, 22(5): 928-932. | |
[88] | WESTERTERP-PLANTENGA M S. Green tea catechins, caffeine and body-weight regulation [J]. Physiol. Behav., 2010, 100(1): 42-46. |
[89] | KOBAYASHI M, KURATA T, HAMANA Y, et al.. Coffee ingestion suppresses hyperglycemia in streptozotocin-induced diabetic mice [J]. J. Nutr. Sci. Vitaminol. (Tokyo), 2017, 63(3): 200-207. |
[90] | 黄慧,王霞,贺建华,等.葫芦巴活性成分提取工艺及其生物活性作用研究进展[J].中兽医医药杂志,2021,40(5):37-42. |
HUANG H, WANG X, HE J H, et al.. Research progress on extraction technology and physiological activity of active components of semen trigonellae [J]. J. Trad. Chin. Vet. Med., 2021, 40(5): 37-42. | |
[91] | 王婉怡,朱志军,李航飞,等.半夏化学成分、药理作用研究进展及其质量标志物预测分析[J].辽宁中医药大学学报,2024,26(3):203-215. |
WANG W Y, ZHU Z J, LI H F, et al.. Research progress on chemical constituents and pharmacological effects of Banxia(Pinelliae rhizoma) and prediction analysis of quality markers [J]. J. Liaoning Univ. Trad. Chin. Med., 2024, 26(3): 203-215. | |
[92] | 沈宇峰,沈晓霞,王志安,等.药用植物使君子的研究综述[J].时珍国医国药,2008,19(7):1704-1705. |
[93] | ZHANG W H, ZHANG Y L, CHEN S M, et al.. Trigonelline, an alkaloid from Leonurus japonicus houtt., suppresses mast cell activation and OVA-induced allergic asthma [J/OL]. Front. Pharmacol., 2021, 12: 687970 [2024-06-15]. . |
[94] | 史许锋,刘侃,王莉,等.葫芦巴碱的预防性使用可减轻妊高症大鼠模型的症状并保护胎儿生长和血管内皮功能[J].中国比较医学杂志,2021,31(7):62-70. |
SHI X F, LIU K, WANG L, et al.. The preventive use of trigonelline can alleviate symptoms in a rat model of pregnancy-induced hypertension and protect fetal growth [J]. Chin. J. Comp. Med., 2021, 31(7): 62-70. | |
[95] | 陈静,周慧敏,钟纯正,等.葫芦巴碱对脑梗死大鼠认知障碍及氧化应激损伤的影响[J].中华老年心脑血管病杂志,2023,25(06):643-647. |
CHEN J, ZHOU H M, ZHONG C Z, et al.. Impacts of trigonelline on cognitive impairment and oxidativestress injury in rats with cerebral infaretion [J]. Chin. J. Geriatric Heart Brain Vessel Dis.. 2023, 25(06): 643-647.. | |
[96] | 周聪,沈霖,陈瑞,等.葫芦巴改善瘦素缺陷型ob/ob小鼠炎症及胰岛素抵抗的机制研究[J].中西医结合研究,2022,14(4):234-238, 249. |
ZHOU C, SHEN L, CHEN R, et al.. Study on the mechanism of fenugreek improving inflammation and insulin resistance in leptin-deficient ob/ob mice [J]. Res. Integr. Tradit. Chin. West. Med., 2022, 14(4): 234-238, 249. | |
[97] | 黄川锋,康爱英,袁国卿.葫芦巴联合氨基胍对糖尿病大鼠肾脏内皮素及血栓素B_2等的影响[J].时珍国医国药,2008,19(8):F0003-F0004. |
HUANG C F, KANG A Y, YUAN G Q. Effects of fenugreek combined with aminoguanidine on ET and TXB2 in kidneys of diabetic rats [J]. Lishizhen Med. Mater. Med. Res., 2008, 19(8): 2059-2060. | |
[98] | 杨树芹,刘伟,宋明芮,等.葫芦巴碱通过NF-κB/MMP-9信号通路对肾细胞癌细胞侵袭、迁移的影响[J].中国老年学杂志,2024,44(8):1998-2004.. |
[99] | 陈玉凤,屠丽亚,李晶,等.葫芦巴碱通过调控Nrf2/ROS信号通路诱导卵巢癌SKOV-3细胞凋亡[J].中药材,2022,45(07):1746-1752. |
[1] | 喻好好, 董相书, 赵颢, 李忠贤, 胡发广, 李亚男, 娄予强, 何飞飞. 干旱胁迫下小粒咖啡SNP位点与可变剪接分析[J]. 中国农业科技导报, 2025, 27(6): 72-82. |
[2] | 张振伟, 董相书, 杨婧, 李学俊, 杞美军, 蒋快乐, 杨永林, 王步天, 施学东, 邱俊超, 陈治华, 葛宇. 小粒咖啡叶绿素合成基因CaPOR的全基因组鉴定及表达分析[J]. 中国农业科技导报, 2024, 26(10): 83-97. |
[3] | 黄丽芳, 龙宇宙, 李金芹, 董云萍, 王晓阳, 陈鹏, 王宪文, 闫林. 低温胁迫对小粒种咖啡幼苗生理特性的影响[J]. 中国农业科技导报, 2023, 25(2): 60-67. |
[4] | 董云萍, 龙宇宙, 林兴军, 莫丽珍, 朱华康, 赵青云, 孙燕. 不同施肥量对小粒咖啡产量、品质及经济效益的影响[J]. 中国农业科技导报, 2022, 24(3): 197-203. |
[5] | 樊帆1,李正涛1,李世钰1,2,山云辉3,黄家雄4,吕玉兰4,何飞飞1,秦世雯1*. 云南热区咖啡种植地红壤细菌群落多样性分析[J]. 中国农业科技导报, 2020, 22(8): 178-186. |
[6] | 张庆丽1,2,李海涛1,赵世源1,刘荣梅1,赵勇2,高继国1. 苏云金芽胞杆菌cry1Ib6基因的克隆、表达及活性的研究[J]. , 2011, 13(6): 61-65. |
[7] | 李海峰1,李章伟1,2,刘永梅1,黄泽波1. 念珠藻多糖的研究现状与应用展望[J]. , 2011, 13(1): 105-110. |
阅读次数 | ||||||
全文 |
|
|||||
摘要 |
|
|||||