中国农业科技导报 ›› 2025, Vol. 27 ›› Issue (8): 202-214.DOI: 10.13304/j.nykjdb.2024.0100
寇威1(), 刘佳月1, 户可欣1, 高铱遥1, 许世奇1, 何彦臻1, 王旭东1,2(
)
收稿日期:
2024-02-04
接受日期:
2024-04-24
出版日期:
2025-08-15
发布日期:
2025-08-26
通讯作者:
王旭东
作者简介:
寇威 E-mail:m15133377545@163.com;
基金资助:
Wei KOU1(), Jiayue LIU1, Kexin HU1, Yiyao GAO1, Shiqi XU1, Yanzhen HE1, Xudong WANG1,2(
)
Received:
2024-02-04
Accepted:
2024-04-24
Online:
2025-08-15
Published:
2025-08-26
Contact:
Xudong WANG
摘要:
土壤盐渍化是农业发展和生态环境保护的重要障碍因子,通过改良剂和新型材料配施改善盐渍土及减少盐胁迫的危害是一种可行的方法。设置不施肥(CK)、单施化肥(CF)、CF+有机肥(CFM)、CFM+不同用量氯化胆碱(CFMC1、CFMC2、CFMC3)、CFM+鼠李糖脂(CFMS1)、CFM+氯化胆碱+不同用量鼠李糖脂(CFMC2S1、CFMC2S2、CFMC2S3)共10种处理,研究有机肥配施鼠李糖脂和氯化胆碱对盐渍化土壤理化性质及番茄生长发育和耐盐性的影响。结果表明,CFM、CFMC1、CFMC2、CFMC3、CFMS1、CFMC2S1、CFMC2S2和CFMC2S3处理均可改良土壤环境,降低土壤pH和土壤钠吸附比。有机肥配施氯化胆碱和鼠李糖脂能提高番茄的耐盐性,与CFM处理相比,丙二醛含量和超氧阴离子产生速率分别降低2.81%~26.76%、9.52%~42.86%;过氧化物酶活性和脯氨酸含量分别增加1.39%~27.78%、5.15%~31.17%;叶片K+含量升高1.29%~21.03%;Na+含量降低2.16%~14.59%。番茄的光合作用增强且果实品质和产量增加,与CFM处理相比,有机肥配施氯化胆碱和鼠李糖脂后,果实的可溶性糖、维生素C含量、产量分别增加2.94%~20.59%、3.42%~12.43%、8.90%~33.81%;叶绿素含量和净光合速率分别提高3.85%~38.46%、2.40%~42.51%。在中度盐渍化土壤中,添加有机肥15 000 kg·hm-2且配施9 kg·hm-2氯化胆碱和0.72 kg·hm-2 20%的鼠李糖脂效果最佳。综合看来,有机肥配施鼠李糖脂和氯化胆碱在一定程度上能缓解盐胁迫对番茄的危害,促进番茄生长,增加其耐盐性。研究结果为盐渍土改良和番茄优质高产提供参考。
中图分类号:
寇威, 刘佳月, 户可欣, 高铱遥, 许世奇, 何彦臻, 王旭东. 有机肥与鼠李糖脂和氯化胆碱配施对盐渍土性质和番茄耐盐性的影响[J]. 中国农业科技导报, 2025, 27(8): 202-214.
Wei KOU, Jiayue LIU, Kexin HU, Yiyao GAO, Shiqi XU, Yanzhen HE, Xudong WANG. Effect of Organic Fertilizer with Rhamnolipid and Choline Chloride on Properties of Saline Soils and Salt Tolerance of Tomato[J]. Journal of Agricultural Science and Technology, 2025, 27(8): 202-214.
处理 Treatment | 施用量Dosage/(kg·hm-2) | |||
---|---|---|---|---|
化肥 Fertilizer (N+P2O5+K2O) | 有机肥 Organic fertilizer | 氯化胆碱 Choline chloride | 20%鼠李糖脂 20% rhamnolipid | |
CK | 0 | 0 | 0 | 0.00 |
CF | 975 | 0 | 0 | 0.00 |
CFM | 975 | 15 000 | 0 | 0.00 |
CFMC1 | 975 | 15 000 | 6 | 0.00 |
CFMC2 | 975 | 15 000 | 9 | 0.00 |
CFMC3 | 975 | 15 000 | 15 | 0.00 |
CFMS1 | 975 | 15 000 | 0 | 0.24 |
CFMC2S1 | 975 | 15 000 | 9 | 0.24 |
CFMC2S2 | 975 | 15 000 | 9 | 0.48 |
CFMC2S3 | 975 | 15 000 | 9 | 0.72 |
表1 不同处理化肥、有机肥、氯化胆碱及鼠李糖脂施用量
Table 1 Application rates of chemical fertilizers, organic fertilizers, choline chloride and rhamnolipid in different treatments
处理 Treatment | 施用量Dosage/(kg·hm-2) | |||
---|---|---|---|---|
化肥 Fertilizer (N+P2O5+K2O) | 有机肥 Organic fertilizer | 氯化胆碱 Choline chloride | 20%鼠李糖脂 20% rhamnolipid | |
CK | 0 | 0 | 0 | 0.00 |
CF | 975 | 0 | 0 | 0.00 |
CFM | 975 | 15 000 | 0 | 0.00 |
CFMC1 | 975 | 15 000 | 6 | 0.00 |
CFMC2 | 975 | 15 000 | 9 | 0.00 |
CFMC3 | 975 | 15 000 | 15 | 0.00 |
CFMS1 | 975 | 15 000 | 0 | 0.24 |
CFMC2S1 | 975 | 15 000 | 9 | 0.24 |
CFMC2S2 | 975 | 15 000 | 9 | 0.48 |
CFMC2S3 | 975 | 15 000 | 9 | 0.72 |
处理Treatment | pH | 电导率EC/(mS·m-1) | 钠吸附比RSA |
---|---|---|---|
CK | 10.20±0.36 a | 153.00±6.49 b | 8.60±0.43 a |
CF | 9.50±0.36 a | 226.00±9.59 a | 8.50±0.40 a |
CFM | 8.30±0.47 a | 246.50±13.94 a | 8.30±0.47 b |
CFMC1 | 8.20±0.35 a | 243.00±10.31 a | 8.30±0.35 b |
CFMC2 | 8.10±0.24 a | 239.50±6.77 a | 8.40±0.23 b |
CFMC3 | 8.10±0.35 a | 236.50±10.03 a | 8.30±0.34 b |
CFMS1 | 8.20±0.23 a | 240.50±6.80 a | 8.20±0.23 b |
CFMC2S1 | 8.10±0.35 a | 237.50±10.08 a | 8.20±0.34 b |
CFMC2S2 | 7.90±0.46 a | 235.50±13.32 a | 8.10±0.45 b |
CFMC2S3 | 7.60±0.34 a | 234.50±9.95 a | 8.00±0.32 b |
表2 有机肥配施氯化胆碱和鼠李糖脂土壤的pH、电导率和钠吸附比
Table 2 pH, EC and SAR of organic fertilizers with choline chloride and rhamnolipid soils
处理Treatment | pH | 电导率EC/(mS·m-1) | 钠吸附比RSA |
---|---|---|---|
CK | 10.20±0.36 a | 153.00±6.49 b | 8.60±0.43 a |
CF | 9.50±0.36 a | 226.00±9.59 a | 8.50±0.40 a |
CFM | 8.30±0.47 a | 246.50±13.94 a | 8.30±0.47 b |
CFMC1 | 8.20±0.35 a | 243.00±10.31 a | 8.30±0.35 b |
CFMC2 | 8.10±0.24 a | 239.50±6.77 a | 8.40±0.23 b |
CFMC3 | 8.10±0.35 a | 236.50±10.03 a | 8.30±0.34 b |
CFMS1 | 8.20±0.23 a | 240.50±6.80 a | 8.20±0.23 b |
CFMC2S1 | 8.10±0.35 a | 237.50±10.08 a | 8.20±0.34 b |
CFMC2S2 | 7.90±0.46 a | 235.50±13.32 a | 8.10±0.45 b |
CFMC2S3 | 7.60±0.34 a | 234.50±9.95 a | 8.00±0.32 b |
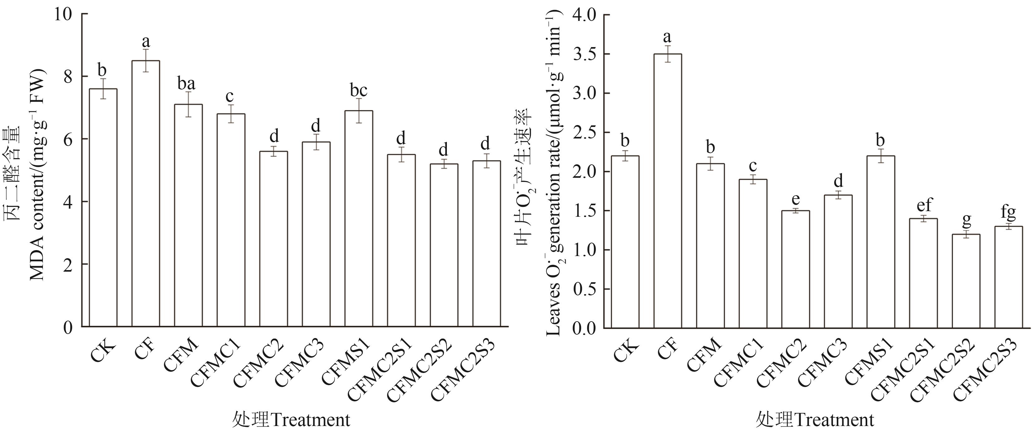
图1 有机肥配施氯化胆碱和鼠李糖脂下番茄丙二醛含量和O2.-产生速率注:不同小写字母表示不同处理间在P<0.05水平差异显著。
Fig. 1 MDA content and O2.- generation rate of tomatoes in organic fertilizers with choline chloride and rhamnolipidNote: Different lowercase letters indicate significant differences between different treatments at P<0.05 level.
图2 有机肥配施氯化胆碱和鼠李糖脂下番茄POD活性和Pro含量注:不同小写字母表示不同处理间在P<0.05水平差异显著。
Fig. 2 POD activity and Pro content of tomatoes in organic fertilizers with choline chloride and rhamnolipidNote: Different lowercase letters indicate significant differences between different treatments at P<0.05 level.
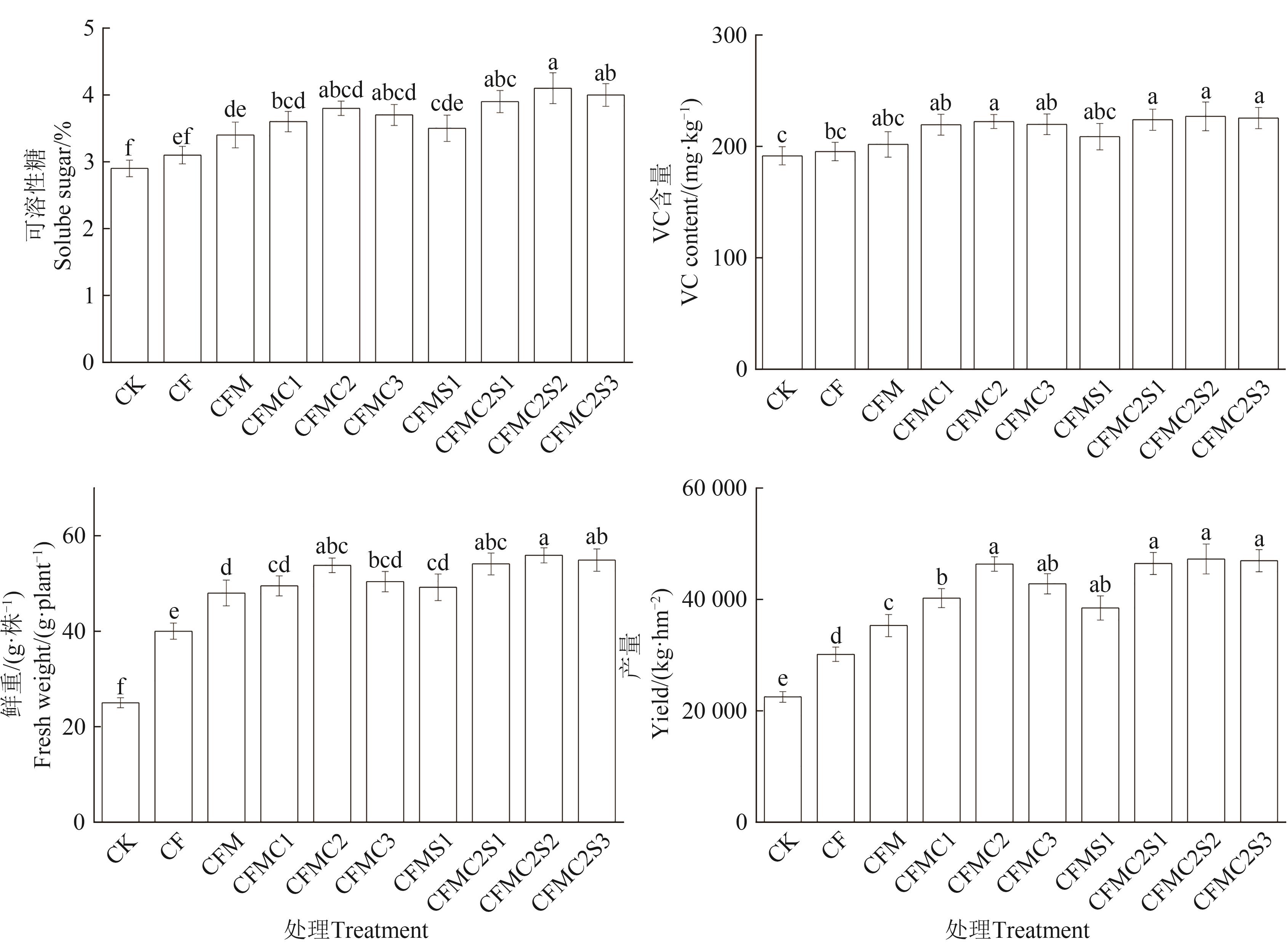
图3 有机肥配施氯化胆碱和鼠李糖脂下番茄可溶性糖、VC含量、产量和鲜重注:不同小写字母表示不同处理间在P<0.05水平差异显著。
Fig. 3 Soluble sugars, VC content, yield and fresh weight of tomato in organic fertilizers with choline chloride and rhamnolipidNote: Different lowercase letters indicate significant differences between different treatments at P<0.05 level.
图4 有机肥配施氯化胆碱和鼠李糖脂番茄叶绿素含量和Pn注:不同小写字母表示不同处理间在P<0.05水平差异显著。
Fig. 4 Chlorophyll content and Pn of organic fertilizer with choline chloride and rhamnolipid tomatoNote: Different lowercase letters indicate significant differences between different treatments at P<0.05 level.
图5 有机肥配施氯化胆碱和鼠李糖脂下番茄叶片K+、Ca2+和Na+含量注:不同小写字母表示不同处理间在P<0.05水平差异显著。
Fig. 5 K+, Ca2+ and Na+ contents of tomato leaves with organic fertilizers with choline chloride and rhamnolipidNote: Different lowercase letters indicate significant differences between different treatments at P<0.05 level.
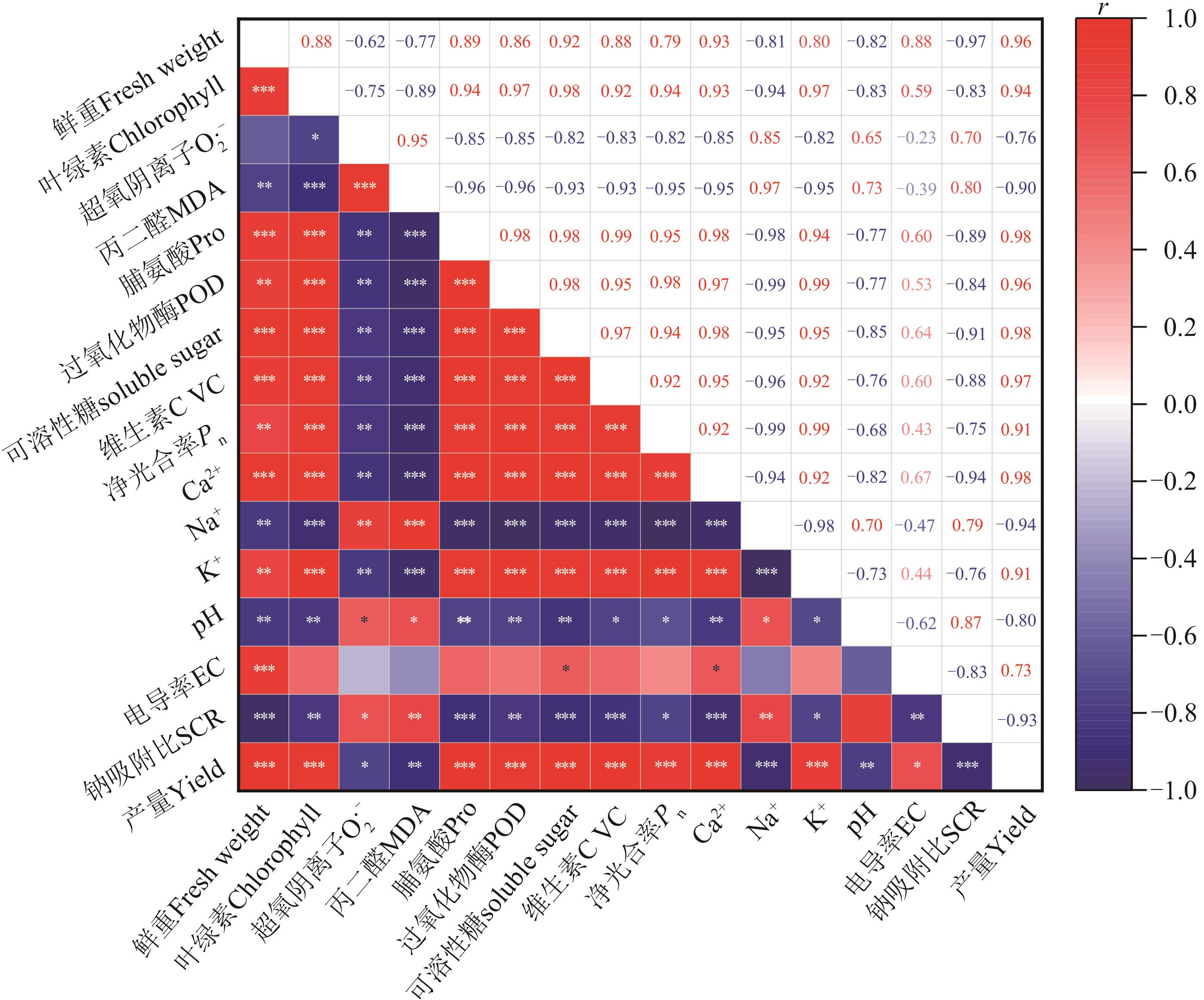
图6 番茄产量与各项指标的相关性分析注:*、**和***分别表示在P<0.05、P<0.01、P<0.001水平显著相关。
Fig. 6 Correlation analysis of tomato yield with various indicatorsNote: *,** and *** indicate significant correlations at P<0.05,P<0.01 and P<0.001 levels,respectively.
[1] | KUMAWAT K C, NAGPAL S, SHARMA P. Potential of plant growth-promoting rhizobacteria-plant interactions in mitigating salt stress for sustainable agriculture: a review [J]. Pedosphere, 2022, 32(2):223-245. |
[2] | Food and Agriculture Organization of the United Nations (FAO). Global Map of Salt-affected Soils (GSASmap) [R].FAO, 2021:1-20. |
[3] | 杨劲松,姚荣江,王相平,等.中国盐渍土研究:历程、现状与展望[J].土壤学报, 2022,59(1):10-27. |
YANG J S, YAO R J, WANG X P, et al.. Research on salt-affected soils in China: history,status quo and prospect [J]. Acta Pedol. Sin., 2022, 59(1):10-27. | |
[4] | ZHANG Q, DAI W. Stress Physiology of Woody Plants [M]. Boca Raton: CRC Press Taylor & Francis Group, 2019:155-173. |
[5] | NAVADA S, VADSTEIN O, GAUMET F, et al.. Biofilms remember: Osmotic stress priming as a microbial management strategy for improving salinity acclimation in nitrifying biofilms [J/OL]. Water Res., 2020, 176:115732 [2024-01-06].. |
[6] | PAN T, LIU M, KRESLAVSKI V D, et al.. Non-stomatal limitation of photosynthesis by soil salinity [J]. Critical Reviews Environ. Sci. Technol., 2021, 51(8): 791-825. |
[7] | GHAZALI G E B E. Suaeda vermiculata Forssk. ex J. F. Gmel.: structural characteristics and adaptations to salinity and drought:a review [J]. Int. J. Sci., 2020, 9(2):28-33. |
[8] | 邵孝候,张宇杰,常婷婷,等.生物有机肥对盐渍土壤水盐动态及番茄产量的影响[J].河海大学学报(自然科学版),2018,46(2):153-160. |
SHAO X H, ZHANG Y J, CHANG T T, et al.. Effects of different fertilizer treatments on soil water,salt and crop yield formation in saline soils [J]. J. Hohai Univ. (Nat.Sci.), 2018, 46(2):153-160. | |
[9] | 荆恩恩,高翔,李宗震,等.氯化胆碱对小麦幼苗耐低温能力的生理调控效应[J].麦类作物学报,2018,38(6):748-755. |
JING E E, GAO X, LI Z Z, et al.. Physiological regulation of choline chloride on tolerance of wheat seedling to low temperature [J]. J. Triticeae Crops, 2018, 38(6):748-755. | |
[10] | UNWIN N. Structure of a cholinergic cell membrane [J/OL]. Proc. Natl. Acad. Sci. USA, 2022, 119(34): e2207641119 [2024-01-06]. . |
[11] | SALAMA K H A, MANSOUR M M F, HASSAN N S. Choline priming improves salt tolerance in wheat (Triticum aestivum L.) [J]. Australian J. Basic Appl. Sci., 2011, 5(11): 26-132. |
[12] | WANG J F, BAO H Y, PAN G D, et al.. Combined application of rhamnolipid and agricultural wastes enhances PAHs degradation via increasing their bioavailability and changing microbial community in contaminated soil [J/OL]. J. Environ. Manag., 2021, 294:112998 [2024-01-06].. |
[13] | 王敏鸽,刘艺文,张丹丹,等.鼠李糖脂改性生物炭对盐渍土小白菜抗性及氮素吸收的影响[J].干旱地区农业研究,2022,40(5):81-87. |
WANG M G, LIU Y W, ZHANG D D, et al.. Effects of rhamnolipid modified biochar on resistance and nitrogen absorption of Chinese cabbage in saline soil [J]. Agric. Res. Arid Areas, 2022, 40(5): 81-87. | |
[14] | 彭奥翔. 鼠李糖脂改土效果及对平邑甜茶生长影响的研究 [D].泰安:山东农业大学,2022. |
PENG A X. Effects of rhamnolipid on soil amelioration and growth of Malus hupehensis [D]. Tai’an: Shandong Agricultural University, 2022. | |
[15] | 张丹丹. 鼠李糖脂对基质栽培小白菜抗盐性的影响[D].杨凌:西北农林科技大学,2022. |
ZHANG D D. Effect of rhamnosin on salt resistance of chinesecabbage in matrix cultivation [D]. Yangling: Northwest A&F University, 2022. | |
[16] | 黄炳川. 鼠李糖脂和纳米硅肥对棉花耐盐特性的影响[D]. 阿拉尔:塔里木大学,2022. |
HUANG B C. Effects of rhamnolipid and nano silicon fertilizeron salt tolerance of cotton [D]. Alar: Tarim University, 2022. | |
[17] | HU K X, XU S Q, GAO Y Y, et al.. Choline chloride and rhamnolipid combined with organic manures improve salinity tolerance, yield,and quality of tomato [J]. J. Plant Growth Regul., 2023, 42(7):4118-4130. |
[18] | 咸敬甜,陈小兵,王上,等.盐渍土磷有效性研究进展与展望[J].土壤, 2023,55(3):474-486. |
XIAN J T, CHEN X B, WANG S, et al.. Phosphorus availability in saline soil:a review [J]. Soils, 2023, 55(3): 474-486. | |
[19] | 李合生.植物生理生化实验原理和技术[M].北京:高等教育出版社,2000:116-261. |
[20] | LIU J B, ZHU K C, ZHANG C, et al.. Microscale spatiotemporal variation and generation mechanisms of reactive oxygen species in the rhizosphere of ryegrass:coupled biotic-abiotic processes [J]. Environ. Sci. Technol., 2022, 56(22): 16483-16493. |
[21] | 鲍士旦.土壤农化分析[M].3版.北京:中国农业出版社,2000:8-29. |
[22] | AMINI S, GHADIRI H, CHEN C R, et al.. Salt-affected soils, reclamation, carbon dynamics, and biochar: a review [J]. J. Soils Sediments, 2016, 16(3): 939-953. |
[23] | XU X, WANG J H, TANG Y M, et al.. Mitigating soil salinity stress with titanium gypsum and biochar composite materials: improvement effects and mechanism [J/OL]. Chemosphere, 2023, 321:138127 [2024-01-06].. |
[24] | CHEN X D, OPOKU-KWANOWAA Y, LI J M, et al.. Application of organic wastes to primary saline-alkali soil in Northeast China: effects on soil available nutrients and salt ions [J]. Commun. Soil Sci. Plant Analysis, 2020, 51(9): 1238-1252. |
[25] | 王晟强.植茶年限对土壤团聚体养分含量变化的影响[D].雅安:四川农业大学,2014. |
WANG S Q. Effects of ages of tea plantations on changes of nutrientcontents in soil aggregates [D]. Ya’an: Sichuan Agricultural University, 2014. | |
[26] | 罗玲,潘宏兵,钟奇,等.石灰和有机肥对芒果园酸性土壤的改良效果及对芒果品质的影响[J].中国土壤与肥料,2021(3):169-177. |
LUO L, PAN H B, ZHONG Q, et al.. Effects of lime and organic fertilizer on acid soil of mango plantation and mango quality [J]. Soil Fert. Sci. China, 2021(3):169-177. | |
[27] | YIN S, HU W, CHEN Y, et al.. Chinese consumer preferences for fresh produce: interaction between food safety labels and brands [J]. Agribusiness, 2019, 35(1): 53-68. |
[28] | CHEN T X, SHABALA S, NIU Y N, et al.. Molecular mechanisms of salinity tolerance in rice [J]. Crop J., 2021, 9(3):506-520. |
[29] | DING F, QIANG X, JIA Z Q, et al.. Knockout of a novel salt responsive gene SlABIG1 enhance salinity tolerance in tomato [J/OL]. Environ. Exp. Bot., 2022,200: 104903 [2024-01-06]. . |
[30] | 郭光光,杨俐苹,曹磊.关于化肥对土壤的污染及有效治理举措阐述[J].环境与发展,2020,32(1):78-79. |
GUO G G, YANG L P, CAO L. Explanation of soil pollution by chemical fertilizers and effective control measures [J]. Environ. Dev., 2020, 32(1):78-79. | |
[31] | SYEED S, SEHAR Z, MASOOD A, et al.. Control of elevated ion accumulation,oxidative stress,and lipid peroxidation with salicylic acid-induced accumulation of Glycine betaine in salinity-exposed Vigna radiata L. [J]. Appl. Biochem. Biotechnol., 2021, 193(10): 3301-3320. |
[32] | HAO S, WANG Y, YAN Y, et al.. A Review on plant responses to salt stress and their mechanisms of salt resistance [J/OL]. Horticulturae, 2021, 7(6): 132 [2024-01-06]. . |
[33] | HUSSAIN I, SALEEM M H, MUMTAZ S, et al. Choline chloride mediates chromium tolerance in spinach (Spinacia oleracea L.) by restricting its uptake in relation to Morpho-physio-biochemical attributes [J]. J. Plant Growth Regul., 2022, 41(4):1594-1614. |
[34] | ZHAO Y, HE Y, WANG X, et al.. Proline metabolism regulation in Spartina alterniflora and SaP5CS2 gene positively regulates salt stress tolerance in transgenic Arabidopsis thaliana [J]. J. Plant Interactions, 2022, 17(1): 632-642. |
[35] | YAO W S, XU T T, FAROOQ S U, et al.. Glycine betaine treatment alleviates chilling injury in zucchini fruit (Cucurbita pepo L.) by modulating antioxidant enzymes and membrane fatty acid metabolism [J]. Postharvest Biol. Technol., 2018, 144: 20-28. |
[36] | SALINAS R, SANCHEZ E, RUIZ J M, et al.. Proline, betaine, and choline responses to different phosphorus levels in green bean [J]. Commun. Soil Sci. Plant Analysis, 2013, 44(1-4): 465-472. |
[37] | SOFY M R, ELHAWAT N, TAREK ALSHAAL. Glycine betaine counters salinity stress by maintaining high K+/Na+ ratio and antioxidant defense via limiting Na+ uptake in common bean (Phaseolus vulgaris L.) [J]. Ecotoxicol. Environ. Saf., 2020, 200:110732 [2024-01-06]. . |
[38] | 刘雅,蔡光容,于伟,等.生物表面活性剂鼠李糖脂对大豆叶面肥喷施效果的影响[J].大豆科学,2018,37(3):378-384. |
LIU Y, CAI G R, YU W, et al.. Effect of biosurfactant rhamnolipid on the spraying efficiency of soybean foliar fertilizer [J]. Soybean Sci., 2018, 37(3):378-384. | |
[39] | HAMEED A, AHMED M Z, HUSSAIN T, et al.. Effects of salinity stress on chloroplast structure and function [J/OL]. Cells, 2021, 10(8):2023 [2024-01-06].. |
[40] | GULZAR S, HUSSAIN T, GUL B, et al. Handbook of Halophytes: From Molecules to Ecosystems towards Biosaline Agriculture [M]. Berlin:Springer International Publishing, 2020: 1-31. |
[41] | XUE F, LIU W, CAO H, et al.. Stomatal conductance of tomato leaves is regulated by both abscisic acid and leaf water potential under combined water and salt stress [J]. Physiologia Plantarum, 2021, 172(4): 2070-2078. |
[42] | RIAZ S, HUSSAIN I, IBRAHIM M, et al.. holine chloride mediates salinity tolerance in cluster bean (Cyamopsis tetragonoloba L.) by improving growth, oxidative defense, and secondary metabolism [J]. Dose-response, 2021, 19(4):55026[2024-01-06]. . |
[43] | 陈文志,邬梦晞,罗巧,等.两种表面活性剂对镉胁迫下龙葵生理特性的影响[J].北方园艺,2017(11):1-7. |
CHEN W Z, WU M X, LUO Q, et al.. Effects of two surfactants on growth of Solanum nigrum L. under cadmium stress [J]. Northern Hortic., 2017(11):1-7. | |
[44] | WEI L, ZHANG J, WEI S, et al.. Nitric oxide enhanced salt stress tolerance in tomato seedlings,involving phytohormone equilibrium and photosynthesis [J/OL]. Int. J. Mol. Sci., 2022, 23(9):4539 [2024-01-06].. |
[45] | 张培苹.鼠李糖脂水溶肥料对苹果农艺性状及产量的影响[J].农业科技通讯,2014(10):137-139. |
[46] | KHEDR R A, SOROUR S G R, ABOUKHADRAH S H, et al.. Alleviation of salinity stress effects on agro-physiological traits of wheat by auxin, Glycine betaine, and soil additives [J]. Saudi J. Biol. Sci., 2022, 29(1):534-540. |
[1] | 姜明君, 范燕敏, 武红旗, 张浩, 刘卓, 王德俊. 基于机器学习的加工番茄叶绿素相对含量遥感反演研究[J]. 中国农业科技导报, 2025, 27(8): 89-99. |
[2] | 周琦, 刘强, 张靖, 邓超超, 王振龙, 柳洋, 吴芳, 常浩, 周彦芳, 宿翠翠, 施志国, 高正睿, 马凤捷. 有机肥替代化肥对土壤生物学特性及南瓜产量的影响[J]. 中国农业科技导报, 2025, 27(7): 190-203. |
[3] | 张曦瑜, 沈幸, 李伟, 谢文歌, 李杰, 杨昌浩, 柴仲平. 氮肥减量配施有机肥对库尔勒香梨园土壤细菌群落结构的影响[J]. 中国农业科技导报, 2025, 27(7): 217-228. |
[4] | 王亚鑫, 吕洋成, 王文琦, 刘琦, 杨杰, 任桂鸿, 张吴平, 李富忠. 番茄植株生长过程中茎叶表型的无损分割与提取[J]. 中国农业科技导报, 2025, 27(7): 90-100. |
[5] | 蓝江林, 肖荣凤, 王阶平, 张海峰, 刘波. 整合微生物组菌剂对番茄植株生长及根际细菌群落多样性的影响[J]. 中国农业科技导报, 2025, 27(5): 173-181. |
[6] | 许静, 李晗, 陈平录, 罗江旎, 唐承露, 刘木华. 油茶茶枯离散元模型参数标定与试验[J]. 中国农业科技导报, 2025, 27(3): 112-121. |
[7] | 李大荣, 李小玲, 周武先, 张美德, 蒋小刚, 由金文, 王华. 有机肥替代部分化肥对湖北贝母生长及土壤性质的影响[J]. 中国农业科技导报, 2025, 27(3): 216-226. |
[8] | 罗金城, 朱晓林, 魏小红, 王贤, 王宝强, 杜雪芬. 番茄黄化曲叶病毒胁迫下外源NO对番茄抗氧化物酶基因表达的影响[J]. 中国农业科技导报, 2025, 27(2): 125-135. |
[9] | 米春娇, 孙洪仁, 张吉萍, 吕玉才, 张砚迪. 我国番茄土壤有效磷丰缺指标和推荐施磷量初步研究[J]. 中国农业科技导报, 2025, 27(1): 222-232. |
[10] | 徐雪雯, 王兴鹏, 王洪博, 曹振玺. 鼠李糖脂对盐胁迫下棉花幼苗根系生长的调控作用[J]. 中国农业科技导报, 2025, 27(1): 72-79. |
[11] | 李贤国, 戴麒, 王泽鹏, 陈兆龙, 闫会转, 李宁. 番茄CCCH类锌指蛋白家族的鉴定及其表达分析[J]. 中国农业科技导报, 2025, 27(1): 80-95. |
[12] | 史丹一, 邱禹, 黄成真, 王娟. 酸改性生物炭对滨海盐渍土壤水分入渗特性的影响[J]. 中国农业科技导报, 2024, 26(9): 183-192. |
[13] | 张俊蕾, 盖晓彤, 赵正婷, 刘弟, 王金凤, 姜宁, 刘雅婷. 烟草番茄斑萎病毒RT-LAMP检测体系的建立及优化[J]. 中国农业科技导报, 2024, 26(8): 140-150. |
[14] | 王兴松, 王娜, 杜宇, 周鹏, 王戈, 贾孟, 徐照丽, 白羽祥. 有机肥对玉溪植烟土壤有机质组分和微生物群落结构的影响[J]. 中国农业科技导报, 2024, 26(8): 201-212. |
[15] | 张福林, 奚瑞, 刘宇翔, 陈兆龙, 余庆辉, 李宁. 番茄BURP结构域基因家族全基因组鉴定及表达分析[J]. 中国农业科技导报, 2024, 26(8): 51-62. |
阅读次数 | ||||||
全文 |
|
|||||
摘要 |
|
|||||