中国农业科技导报 ›› 2025, Vol. 27 ›› Issue (6): 184-194.DOI: 10.13304/j.nykjdb.2023.0906

• 生物制造 资源生态 • 上一篇    下一篇

典型草原矿区排土场边坡不同治理模式的径流产沙特征

史鹏莉1,2,3(), 刘艳萍2,3, 郭建英2,3(), 杨振奇2,3, 范进昇4   

  1. 1.内蒙古农业大学沙漠治理学院,呼和浩特 010018
    2.中国水利水电科学研究院,内蒙古阴山北麓荒漠草原生态水文野外科学观测研究站,北京 100383
    3.水利部牧区水利科学研究所,呼和浩特 010020
    4.内蒙古锡林浩特市给排水有限责任公司,内蒙古 锡林浩特 026000
  • 收稿日期:2023-12-09 接受日期:2024-03-28 出版日期:2025-06-15 发布日期:2025-06-23
  • 通讯作者: 郭建英
  • 作者简介:史鹏莉 E-mail:657988571@qq.com
  • 基金资助:
    内蒙古自治区科技兴蒙行动重点专项(2022EEDSKJXM005);内蒙古自治区科技重大专项(2020ZD0020)

Characteristics of Runoff and Sediment Yield of Different Treatment Modes of Dump Slope in Typical Grassland Mining Area

Pengli SHI1,2,3(), Yanping LIU2,3, Jianying GUO2,3(), Zhenqi YANG2,3, Jinsheng FAN4   

  1. 1.School of Desert Control,Inner Mongolia Agricultural University,Hohhot 010018,China
    2.Field Scientific Observation and Research Station of Desert Grassland Ecology and Hydrology at the North Foot of Yinshan Mountain in Inner Mongolia,China Academy of Water Resources and Hydropower,Beijing 100383,China
    3.Institute of Water Resources for Pastoral Area,Ministry of Water Resources,Hohhot 010020,China
    4.Inner Mongolia Xilinhot City Water Supply and Drainage Limited Liability Company,Inner Mongolia Xilinhot 026000,China
  • Received:2023-12-09 Accepted:2024-03-28 Online:2025-06-15 Published:2025-06-23
  • Contact: Jianying GUO

摘要:

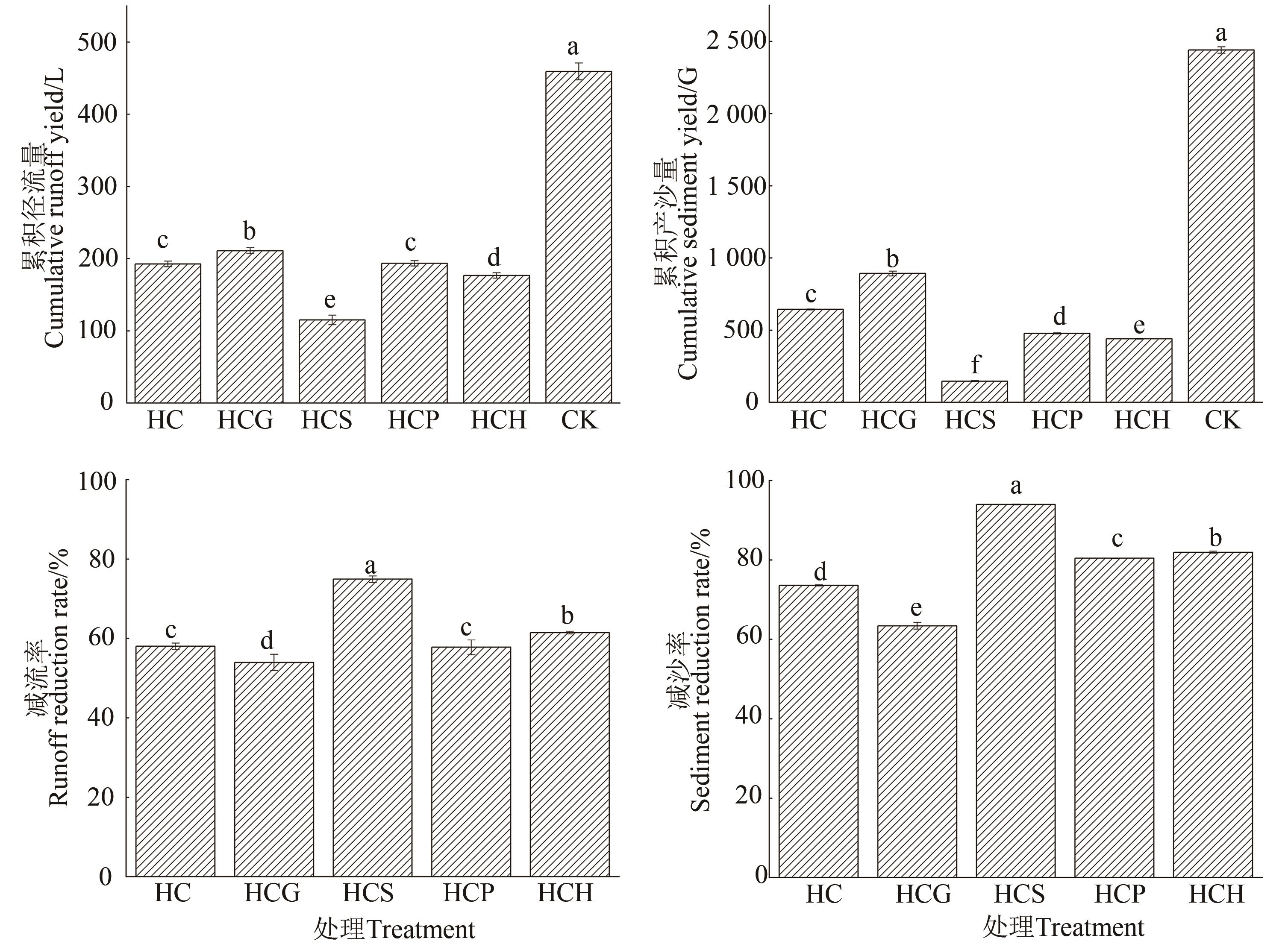
为分析典型草原矿区排土场边坡不同治理模式的径流和产沙特征,以锡林郭勒盟贺斯格乌拉南露天煤矿为研究对象,设置混草(HC)、混草+灌木(HCG)、混草+菱形网格整地(HCS)、混草+品字形整地(HCP)、混草+行带状整地(HCH)、裸坡(CK)6种处理,运用K-均值聚类法,划分研究区降雨类型,结合径流小区2021—2023年15场天然降雨的径流、产沙数据,分析不同治理模式的产流产沙特征及其对降雨的响应。结果表明,以降雨历时、降雨量和降雨强度为特征指标,侵蚀性降雨可分为3种类型,其中雨型Ⅰ表现为历时短、降雨量小、降雨强度大;雨型Ⅱ表现为历时中、降雨量中、降雨强度中;雨型Ⅲ表现为历时长、降雨量大、降雨强度小。各类型治理措施的累积径流量随着降雨类型的变化并无统一规律,其中,HC处理在雨型Ⅰ时的径流量最少,为36.15 L;HCS处理在雨型Ⅱ、Ⅲ时的径流量最少,分别为36.14、23.15 L。在单一植被措施下,HC处理的累积径流量和产沙量显著低于HCG处理;在复合模式下,HCS处理的径流量和产沙量显著低于其他处理。总体而言,各治理措施的多年累积径流量、产沙量呈现为HCS<HCH<HCP<HCG<HC<CK。降雨量是影响径流量与产沙量最显著的降雨指标,不同治理处理的径流量、产沙量对各降雨参数的响应特征不同。减流、减沙效果最好的HCS处理,受降雨影响最小,CK的径流量和产沙量受降雨影响最大。以上结果表明,布设治理措施均可有效防治排土场边坡的水土流失问题,其中布设混草+菱形网格整地措施的减流、减沙效果最优。

关键词: 草原矿区, 侵蚀性降雨, 径流, 产沙, 侵蚀调控

Abstract:

In order to analysis the characteristics of runoff and sediment yield under different management modes of dump slope in typical grassland mining area, the Hesigewulanan open-pit coal mine in Xilinguole League was taken as the research object. 6 treatments were set up, including mixed grass (HC), mixed grass+shrub (HCG), mixed grass+diamond grid land preparation (HCS), mixed grass+pin-shaped land preparation (HCP), mixed grass+strip land preparation (HCH) and bare slope (CK). The K-means clustering method was used to divide the rainfall types in the study area. Combined with the runoff and sediment yield data of 15 natural rainfalls in runoff plots from 2021 to 2023, the characteristics of runoff and sediment yield under different management modes and their response to rainfall were analyzed. The results showed that, taking rainfall duration, rainfall and rainfall intensity as characteristic indexes, erosive rainfall could be divided into 3 types of rain, rain type Ⅰ showed short rainfall duration, small rainfall, heavy rainfall intensity, rain type Ⅱ showed medium rainfall duration, medium rainfall, medium rainfall intensity, rain type Ⅲ showed long rainfall duration, large rainfall, small rainfall intensity. There was no uniform rule for the cumulative runoff of various types of control measures with the change of rainfall type. Among them, HC had the least runoff in rain type I with 36.15 L, and HCS had the least runoff in rain type Ⅱ and Ⅲ with 36.14 and 23.15 L, respectively. Under single vegetation measure, the runoff and sediment yield of HC treatment were significantly less than those of HCG treatment, and under composite modes, the runoff and sediment yield of HCS treatment were significantly less than those of other treatments. In general, the multi-year cumulative runoff and sediment yield of various types of control measures showed HCS<HCH<HCP<HCG<HC<CK. The rainfall was the most significant index affecting runoff and sediment yield. The response characteristics of runoff and sediment yield in different treatments to various rainfall parameters were different. The HCS treatment had the best effect of runoff and sediment reduction and least affected by rainfall, while the runoff and sediment yield of CK were significantly affected by rainfall. Above results indicated that the layout of control measures could effectively prevent and control the soil and water loss of the dump slope. The layout of mixed grass+diamond grid land preparation measures had the best effect on reducing the runoff and sediment.

Key words: steppe mining area, erosive rainfall, runoff, sediment, erosion control

中图分类号: