中国农业科技导报 ›› 2025, Vol. 27 ›› Issue (4): 68-77.DOI: 10.13304/j.nykjdb.2023.0733
肖林刚1,2(), 马艳1(
), 王旭峰2, 邢剑飞2, 郑剑超3, 马月虹1
收稿日期:
2023-10-07
接受日期:
2023-11-22
出版日期:
2025-04-15
发布日期:
2025-04-15
通讯作者:
马艳
作者简介:
肖林刚E-mail:447551316@qq.com;
基金资助:
Lingang XIAO1,2(), Yan MA1(
), Xufeng WANG2, Jianfei XING2, Jianchao ZHENG3, Yuehong MA1
Received:
2023-10-07
Accepted:
2023-11-22
Online:
2025-04-15
Published:
2025-04-15
Contact:
Yan MA
摘要:
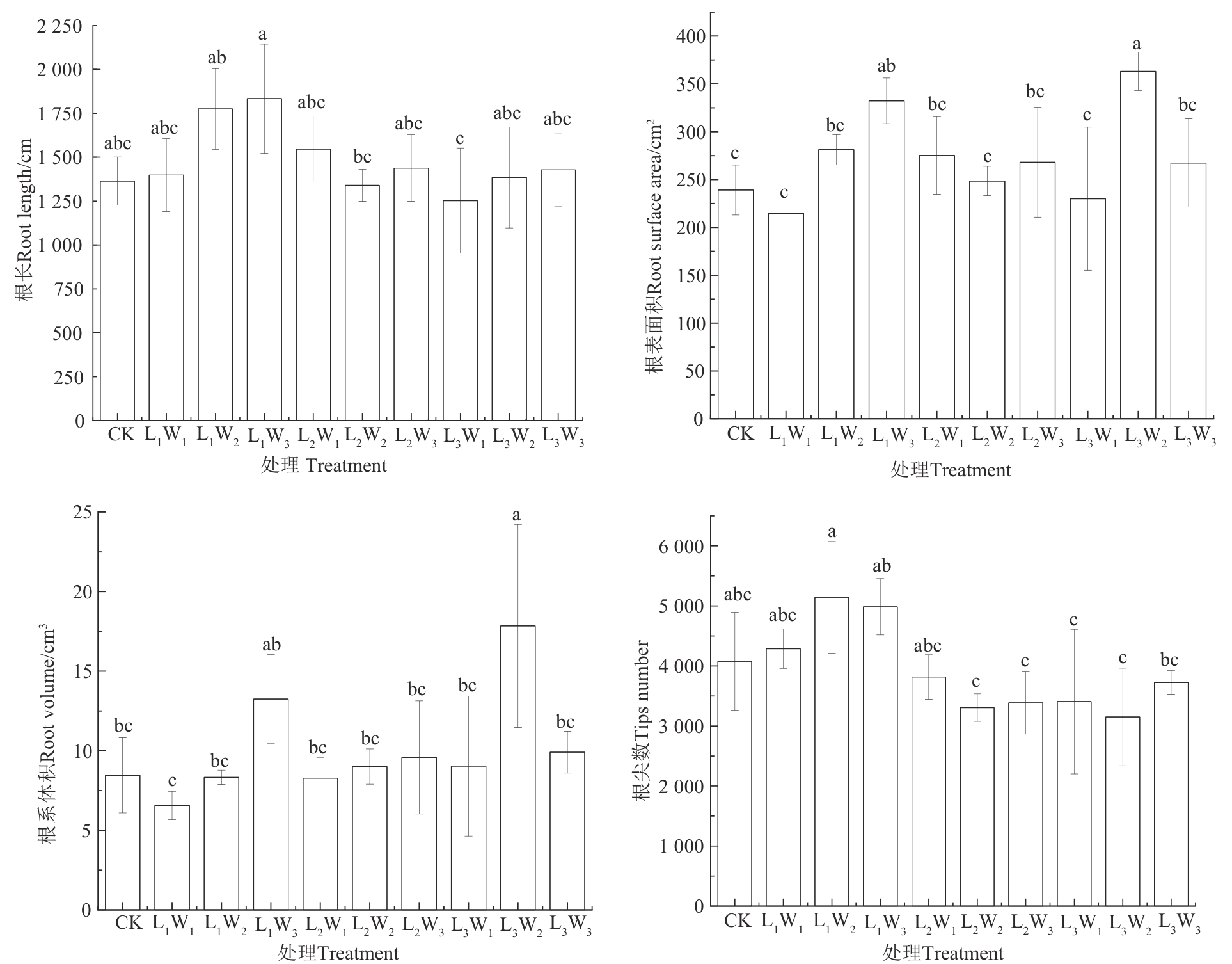
为了明确补光光质和基质含水量对黄瓜幼苗形态调节和光合特性的影响,以温室黄瓜幼苗为研究对象,补光光质设置白、红配比2∶1(L1),全白光(L2),白、红、蓝配比2∶1∶1(L3)3个处理,基质含水量设置55%(W1)、75%(W2)和95%(W3)3个水平,以自然光照射下基质含水量75%为对照(CK),探究不同处理对黄瓜幼苗形态建成、生长发育和光合特性的影响。结果表明,与CK相比,补光可显著改变黄瓜幼苗形态指标、光合作用、抗氧化酶活性和根系活力。在L1W2处理下,黄瓜幼苗的株高显著高于CK, 最大叶面积显著小于CK;在W3处理时L3补光条件下幼苗的气孔导度,蒸腾速率和胞间CO2浓度显著高于L1和L2补光处理;超氧化物歧化酶(superoxide dismutase,SOD)、过氧化物酶(peroxidase,POD)、过氧化氢酶(catalase,CAT)活性和丙二醛(malondialdehyde,MDA)含量在不同光照间差异较大;根表面积和根系体积在L1光照条件下随着基质含水量的增加而增加,在L3光照条件下W2处理显著大于其他2个处理。通过隶属函数综合分析得知,W1处理在各种光质中得分均最低,3种光照条件下同一水分处理中L3光照条件下得分最高,在L3W3处理下黄瓜幼苗综合生长特性最好。以上研究结果为黄瓜幼苗补光和灌溉量的优化模式提供了参考。
中图分类号:
肖林刚, 马艳, 王旭峰, 邢剑飞, 郑剑超, 马月虹. 补光光质和基质含水量对黄瓜幼苗形态调节和光合特性的影响[J]. 中国农业科技导报, 2025, 27(4): 68-77.
Lingang XIAO, Yan MA, Xufeng WANG, Jianfei XING, Jianchao ZHENG, Yuehong MA. Effects of Supplemental Light Quality and Substrate Moisture Content on Morphological Regulation and Photosynthetic Characteristics of Cucumber Seedlings[J]. Journal of Agricultural Science and Technology, 2025, 27(4): 68-77.
处理 Treatment | 光质设置 Light quality setting | 水分含量 Moisture content/% |
---|---|---|
L1W1 | 白红2∶1 White and red 2∶1 | 55 |
L1W2 | 75 | |
L1W3 | 95 | |
L2W1 | 全白光All white | 55 |
L2W2 | 75 | |
L2W3 | 95 | |
L3W1 | 白红蓝 2∶1∶1 White, red and blue 2∶1∶1 | 55 |
L3W2 | 75 | |
L3W3 | 95 | |
CK | 自然光Natural light | 75 |
表1 光质和水分处理
Table 1 Treatments of light and water
处理 Treatment | 光质设置 Light quality setting | 水分含量 Moisture content/% |
---|---|---|
L1W1 | 白红2∶1 White and red 2∶1 | 55 |
L1W2 | 75 | |
L1W3 | 95 | |
L2W1 | 全白光All white | 55 |
L2W2 | 75 | |
L2W3 | 95 | |
L3W1 | 白红蓝 2∶1∶1 White, red and blue 2∶1∶1 | 55 |
L3W2 | 75 | |
L3W3 | 95 | |
CK | 自然光Natural light | 75 |
处理Treatment | 株高 SH/cm | 茎粗 SD/mm | 最大叶面积 MLA/cm2 | 壮苗指数 SI | 根冠比 Root to shoot ratio | SPAD | 叶片相对含水率 RWC/% | |
---|---|---|---|---|---|---|---|---|
L1 | W1 | 14.67±1.26 e | 3.78±0.30 b | 56.81±3.30 bc | 0.45±0.05 bc | 0.219±0.009 ab | 53.58±3.10 ab | 0.87±0.01 ab |
W2 | 21.83±2.02 ab | 4.03±0.21 ab | 55.69±8.31 c | 0.45±0.06 bc | 0.214±0.023 abc | 56.21±4.15 a | 0.86±0.08 ab | |
W3 | 21.83±1.53 ab | 4.13±0.06 ab | 69.48±11.10 ab | 0.45±0.02 bc | 0.169±0.003 d | 54.78±3.20 ab | 0.87±0.02 ab | |
L2 | W1 | 18.33±1.53 cd | 4.24±0.30 a | 61.00±4.13 abc | 0.46±0.02 bc | 0.233±0.032 a | 53.65±3.18 ab | 0.88±0.03 a |
W2 | 21.67±1.15 ab | 4.03±0.16 ab | 58.97±7.72 bc | 0.50±0.04 ab | 0.199±0.017 bcd | 55.20±3.20 ab | 0.86±0.03 ab | |
W3 | 23.50±1.73 a | 4.33±0.18 a | 65.39±5.32 abc | 0.48±0.06 b | 0.188±0.016 bcd | 54.68±3.20 ab | 0.85±0.02 ab | |
L3 | W1 | 15.93±1.89 de | 4.03±0.19 ab | 54.84±8.29 c | 0.43±0.03 bc | 0.213±0.009 abc | 53.08±3.05 ab | 0.81±0.04 ab |
W2 | 19.43±1.44 bc | 3.96±0.07 ab | 55.00±2.74 c | 0.40±0.02 c | 0.194±0.014 bcd | 54.88±1.68 ab | 0.83±0.03 ab | |
W3 | 19.50±2.29 bc | 4.23±0.19 a | 73.67±3.12 a | 0.55±0.01 a | 0.208±0.01 abc | 56.61±2.06 a | 0.81±0.02 ab | |
CK | 18.07±1.04 cd | 3.86±0.15 ab | 72.27±10.51 a | 0.42±0.13 bc | 0.172±0.010 cd | 50.97±2.24 b | 0.72±0.01 b |
表2 不同处理下黄瓜幼苗形态指标和叶绿素含量
Table 2 Morphological indicators and chlorophyll content of cucumber seedlings under different treatments
处理Treatment | 株高 SH/cm | 茎粗 SD/mm | 最大叶面积 MLA/cm2 | 壮苗指数 SI | 根冠比 Root to shoot ratio | SPAD | 叶片相对含水率 RWC/% | |
---|---|---|---|---|---|---|---|---|
L1 | W1 | 14.67±1.26 e | 3.78±0.30 b | 56.81±3.30 bc | 0.45±0.05 bc | 0.219±0.009 ab | 53.58±3.10 ab | 0.87±0.01 ab |
W2 | 21.83±2.02 ab | 4.03±0.21 ab | 55.69±8.31 c | 0.45±0.06 bc | 0.214±0.023 abc | 56.21±4.15 a | 0.86±0.08 ab | |
W3 | 21.83±1.53 ab | 4.13±0.06 ab | 69.48±11.10 ab | 0.45±0.02 bc | 0.169±0.003 d | 54.78±3.20 ab | 0.87±0.02 ab | |
L2 | W1 | 18.33±1.53 cd | 4.24±0.30 a | 61.00±4.13 abc | 0.46±0.02 bc | 0.233±0.032 a | 53.65±3.18 ab | 0.88±0.03 a |
W2 | 21.67±1.15 ab | 4.03±0.16 ab | 58.97±7.72 bc | 0.50±0.04 ab | 0.199±0.017 bcd | 55.20±3.20 ab | 0.86±0.03 ab | |
W3 | 23.50±1.73 a | 4.33±0.18 a | 65.39±5.32 abc | 0.48±0.06 b | 0.188±0.016 bcd | 54.68±3.20 ab | 0.85±0.02 ab | |
L3 | W1 | 15.93±1.89 de | 4.03±0.19 ab | 54.84±8.29 c | 0.43±0.03 bc | 0.213±0.009 abc | 53.08±3.05 ab | 0.81±0.04 ab |
W2 | 19.43±1.44 bc | 3.96±0.07 ab | 55.00±2.74 c | 0.40±0.02 c | 0.194±0.014 bcd | 54.88±1.68 ab | 0.83±0.03 ab | |
W3 | 19.50±2.29 bc | 4.23±0.19 a | 73.67±3.12 a | 0.55±0.01 a | 0.208±0.01 abc | 56.61±2.06 a | 0.81±0.02 ab | |
CK | 18.07±1.04 cd | 3.86±0.15 ab | 72.27±10.51 a | 0.42±0.13 bc | 0.172±0.010 cd | 50.97±2.24 b | 0.72±0.01 b |
处理Treatment | 净光合速率 Pn/(μmol·m-2·s-1) | 气孔导度 Gs/(mol·m-2·s-1) | 胞间 CO2浓度 Ci/(μmol·mol-1) | 蒸腾速率 Tr/(mmol·m-2·s-1) | |
---|---|---|---|---|---|
L1 | W1 | 9.38±3.40 bc | 0.083±0.050 cd | 204.56±24.55 d | 2.102±0.531 e |
W2 | 12.12±2.00 ab | 0.121±0.059 bcd | 289.11±26.79 a | 2.849±1.191 de | |
W3 | 10.47±4.22 abc | 0.089±0.026 cd | 228.23±27.53 cd | 2.881±1.471 de | |
L2 | W1 | 9.01±1.75 bc | 0.061±0.017 d | 152.36±23.55 e | 2.615±0.620 de |
W2 | 13.36±3.41 a | 0.130±0.045 abc | 218.9±37.73 d | 5.667±1.400 bc | |
W3 | 12.69±2.14 ab | 0.083±0.023 cd | 177.83±29.37 e | 4.570±0.966 cd | |
L3 | W1 | 6.78±2.80 c | 0.073±0.031 cd | 234.94±2.33 bcd | 4.451±1.673 cd |
W2 | 11.53±3.08 ab | 0.163±0.056 ab | 261.45±26.63 ab | 6.741±1.721 ab | |
W3 | 12.02±2.05 ab | 0.190±0.077 a | 264.50±22.43 ab | 7.971±1.740 a | |
CK | 11.38±2.49 ab | 0.148±0.047 ab | 240.59±21.85 abc | 5.816±1.378 ab |
表3 不同处理下黄瓜幼苗叶片光合参数
Table 3 Photosynthetic parameters of cucumber seedling leaves under different treatments
处理Treatment | 净光合速率 Pn/(μmol·m-2·s-1) | 气孔导度 Gs/(mol·m-2·s-1) | 胞间 CO2浓度 Ci/(μmol·mol-1) | 蒸腾速率 Tr/(mmol·m-2·s-1) | |
---|---|---|---|---|---|
L1 | W1 | 9.38±3.40 bc | 0.083±0.050 cd | 204.56±24.55 d | 2.102±0.531 e |
W2 | 12.12±2.00 ab | 0.121±0.059 bcd | 289.11±26.79 a | 2.849±1.191 de | |
W3 | 10.47±4.22 abc | 0.089±0.026 cd | 228.23±27.53 cd | 2.881±1.471 de | |
L2 | W1 | 9.01±1.75 bc | 0.061±0.017 d | 152.36±23.55 e | 2.615±0.620 de |
W2 | 13.36±3.41 a | 0.130±0.045 abc | 218.9±37.73 d | 5.667±1.400 bc | |
W3 | 12.69±2.14 ab | 0.083±0.023 cd | 177.83±29.37 e | 4.570±0.966 cd | |
L3 | W1 | 6.78±2.80 c | 0.073±0.031 cd | 234.94±2.33 bcd | 4.451±1.673 cd |
W2 | 11.53±3.08 ab | 0.163±0.056 ab | 261.45±26.63 ab | 6.741±1.721 ab | |
W3 | 12.02±2.05 ab | 0.190±0.077 a | 264.50±22.43 ab | 7.971±1.740 a | |
CK | 11.38±2.49 ab | 0.148±0.047 ab | 240.59±21.85 abc | 5.816±1.378 ab |
处理 Treatment | 过氧化氢酶 CAT /(nmol•min-1•g-1) | 过氧化物酶 POD/(U•g-1) | 超氧化物歧化酶 SOD/(U•g-1) | 丙二醛 MDA/(nmol•g-1) | |
---|---|---|---|---|---|
L1 | W1 | 204.70±4.98 b | 8 413.7±321.3 bcd | 114.30±4.96 b | 31.43±0.93 a |
W2 | 50.37±0.58 h | 11 462.0±1 376.61 a | 163.23±2.76 a | 26.20±1.78 b | |
W3 | 154.07±4.54 c | 6 441.7±1 924.7 cde | 101.90±4.62 c | 28.87±0.99 a | |
L2 | W1 | 85.93±7.77 f | 3 483.3±1 140.8 e | 80.20±2.10 d | 23.57±1.68 bc |
W2 | 79.20±10.77 g | 5 608.0±3 353.7 de | 98.07±5.07 c | 22.27±2.20 c | |
W3 | 140.07±10.85 cd | 7 848.3±1 480.6 bcd | 86.13±2.16 d | 21.70±1.50 c | |
L3 | W1 | 219.67±3.55 a | 7 196.7±500.8 bcd | 102.97±6.23 c | 23.13±1.32 bc |
W2 | 101.30±0.69 e | 7 250.7±429.1 bcd | 117.47±4.74 b | 23.73±1.01 bc | |
W3 | 118.53±3.36 d | 8 835.0±824.8 abc | 101.43±8.40 c | 24.90±1.04 bc | |
CK | 87.87±10.56 ef | 9 124.7±961.5 ab | 62.43±3.88 e | 19.50±3.14 d |
表4 不同处理下黄瓜幼苗叶片的MDA含量和抗氧化酶活性
Table 4 MDA content and antioxidant enzyme activity in cucumber seedling leaves under different treatments
处理 Treatment | 过氧化氢酶 CAT /(nmol•min-1•g-1) | 过氧化物酶 POD/(U•g-1) | 超氧化物歧化酶 SOD/(U•g-1) | 丙二醛 MDA/(nmol•g-1) | |
---|---|---|---|---|---|
L1 | W1 | 204.70±4.98 b | 8 413.7±321.3 bcd | 114.30±4.96 b | 31.43±0.93 a |
W2 | 50.37±0.58 h | 11 462.0±1 376.61 a | 163.23±2.76 a | 26.20±1.78 b | |
W3 | 154.07±4.54 c | 6 441.7±1 924.7 cde | 101.90±4.62 c | 28.87±0.99 a | |
L2 | W1 | 85.93±7.77 f | 3 483.3±1 140.8 e | 80.20±2.10 d | 23.57±1.68 bc |
W2 | 79.20±10.77 g | 5 608.0±3 353.7 de | 98.07±5.07 c | 22.27±2.20 c | |
W3 | 140.07±10.85 cd | 7 848.3±1 480.6 bcd | 86.13±2.16 d | 21.70±1.50 c | |
L3 | W1 | 219.67±3.55 a | 7 196.7±500.8 bcd | 102.97±6.23 c | 23.13±1.32 bc |
W2 | 101.30±0.69 e | 7 250.7±429.1 bcd | 117.47±4.74 b | 23.73±1.01 bc | |
W3 | 118.53±3.36 d | 8 835.0±824.8 abc | 101.43±8.40 c | 24.90±1.04 bc | |
CK | 87.87±10.56 ef | 9 124.7±961.5 ab | 62.43±3.88 e | 19.50±3.14 d |
图1 不同处理下黄瓜幼苗根系形态特征注:不同小写字母表示不同处理间在P<0.05水平差异显著。
Fig. 1 Root morphology characteristics of cucumber seedlings under different treatmentsNote: Different lowercase letters indicate significant differences between different treatments at P<0.05 level.
处理 Treatment | 株高 SH | 茎粗SD | 叶面积MLA | 壮苗指数SI | 根冠比 Root to shoot ratio | SPAD | 相对含水率RWC | 净光合速率Pn | 气孔导度Gs | 胞间CO2浓度Ci | 蒸腾速率Tr | 过氧化氢酶CAT | 过氧化物酶POD | 超氧化物歧化酶SOD | 丙二醛MDA | 根长RL | 根表面积RSA | 根系体积RV | 根尖数TN | 综合评价值Comprehensive evaluation value | 排名 Ranking | |
---|---|---|---|---|---|---|---|---|---|---|---|---|---|---|---|---|---|---|---|---|---|---|
L1 | W1 | 0.000 | 0.000 | 0.003 | 0.008 | 0.022 | 0.004 | 0.014 | 0.020 | 0.017 | 0.019 | 0.000 | 0.110 | 0.048 | 0.036 | 0.000 | 0.009 | 0.000 | 0.000 | 0.027 | 0.338 | 9 |
W2 | 0.032 | 0.005 | 0.001 | 0.008 | 0.019 | 0.008 | 0.014 | 0.040 | 0.048 | 0.049 | 0.015 | 0.000 | 0.077 | 0.071 | 0.017 | 0.031 | 0.020 | 0.014 | 0.048 | 0.517 | 3 | |
W3 | 0.032 | 0.007 | 0.025 | 0.008 | 0.000 | 0.005 | 0.014 | 0.028 | 0.022 | 0.027 | 0.015 | 0.074 | 0.029 | 0.028 | 0.008 | 0.035 | 0.036 | 0.052 | 0.044 | 0.490 | 4 | |
L2 | W1 | 0.016 | 0.010 | 0.010 | 0.010 | 0.028 | 0.004 | 0.015 | 0.017 | 0.000 | 0.000 | 0.010 | 0.025 | 0.000 | 0.012 | 0.026 | 0.018 | 0.019 | 0.013 | 0.016 | 0.249 | 10 |
W2 | 0.031 | 0.005 | 0.007 | 0.017 | 0.013 | 0.006 | 0.014 | 0.050 | 0.055 | 0.024 | 0.071 | 0.021 | 0.021 | 0.025 | 0.030 | 0.005 | 0.010 | 0.019 | 0.004 | 0.426 | 7 | |
W3 | 0.039 | 0.012 | 0.018 | 0.013 | 0.008 | 0.005 | 0.013 | 0.045 | 0.017 | 0.009 | 0.049 | 0.064 | 0.042 | 0.017 | 0.032 | 0.011 | 0.016 | 0.023 | 0.006 | 0.439 | 5 | |
L3 | W1 | 0.006 | 0.005 | 0.000 | 0.005 | 0.019 | 0.003 | 0.009 | 0.000 | 0.010 | 0.030 | 0.047 | 0.121 | 0.036 | 0.028 | 0.027 | 0.000 | 0.005 | 0.019 | 0.006 | 0.375 | 8 |
W2 | 0.021 | 0.004 | 0.000 | 0.000 | 0.011 | 0.006 | 0.011 | 0.036 | 0.081 | 0.039 | 0.092 | 0.036 | 0.037 | 0.039 | 0.025 | 0.008 | 0.046 | 0.087 | 0.000 | 0.578 | 2 | |
W3 | 0.021 | 0.009 | 0.032 | 0.025 | 0.017 | 0.008 | 0.009 | 0.040 | 0.102 | 0.040 | 0.117 | 0.049 | 0.052 | 0.027 | 0.021 | 0.010 | 0.016 | 0.026 | 0.014 | 0.636 | 1 | |
CK | 0.015 | 0.002 | 0.030 | 0.003 | 0.001 | 0.000 | 0.000 | 0.035 | 0.069 | 0.032 | 0.074 | 0.027 | 0.055 | 0.000 | 0.039 | 0.007 | 0.007 | 0.015 | 0.022 | 0.432 | 6 | |
变异系数 | 0.144 | 0.043 | 0.118 | 0.093 | 0.102 | 0.030 | 0.057 | 0.183 | 0.377 | 0.181 | 0.430 | 0.446 | 0.286 | 0.260 | 0.143 | 0.128 | 0.168 | 0.322 | 0.177 | |||
权重 | 0.039 | 0.012 | 0.032 | 0.025 | 0.028 | 0.008 | 0.015 | 0.050 | 0.102 | 0.049 | 0.117 | 0.121 | 0.077 | 0.071 | 0.039 | 0.035 | 0.046 | 0.087 | 0.048 |
表5 不同处理下黄瓜幼苗形态调节和光合特性影响隶属函数综合评价
Table 5 Comprehensive evaluation of membership functions of morphological regulation and photosynthetic characteristics of cucumber seedlings under different treatments
处理 Treatment | 株高 SH | 茎粗SD | 叶面积MLA | 壮苗指数SI | 根冠比 Root to shoot ratio | SPAD | 相对含水率RWC | 净光合速率Pn | 气孔导度Gs | 胞间CO2浓度Ci | 蒸腾速率Tr | 过氧化氢酶CAT | 过氧化物酶POD | 超氧化物歧化酶SOD | 丙二醛MDA | 根长RL | 根表面积RSA | 根系体积RV | 根尖数TN | 综合评价值Comprehensive evaluation value | 排名 Ranking | |
---|---|---|---|---|---|---|---|---|---|---|---|---|---|---|---|---|---|---|---|---|---|---|
L1 | W1 | 0.000 | 0.000 | 0.003 | 0.008 | 0.022 | 0.004 | 0.014 | 0.020 | 0.017 | 0.019 | 0.000 | 0.110 | 0.048 | 0.036 | 0.000 | 0.009 | 0.000 | 0.000 | 0.027 | 0.338 | 9 |
W2 | 0.032 | 0.005 | 0.001 | 0.008 | 0.019 | 0.008 | 0.014 | 0.040 | 0.048 | 0.049 | 0.015 | 0.000 | 0.077 | 0.071 | 0.017 | 0.031 | 0.020 | 0.014 | 0.048 | 0.517 | 3 | |
W3 | 0.032 | 0.007 | 0.025 | 0.008 | 0.000 | 0.005 | 0.014 | 0.028 | 0.022 | 0.027 | 0.015 | 0.074 | 0.029 | 0.028 | 0.008 | 0.035 | 0.036 | 0.052 | 0.044 | 0.490 | 4 | |
L2 | W1 | 0.016 | 0.010 | 0.010 | 0.010 | 0.028 | 0.004 | 0.015 | 0.017 | 0.000 | 0.000 | 0.010 | 0.025 | 0.000 | 0.012 | 0.026 | 0.018 | 0.019 | 0.013 | 0.016 | 0.249 | 10 |
W2 | 0.031 | 0.005 | 0.007 | 0.017 | 0.013 | 0.006 | 0.014 | 0.050 | 0.055 | 0.024 | 0.071 | 0.021 | 0.021 | 0.025 | 0.030 | 0.005 | 0.010 | 0.019 | 0.004 | 0.426 | 7 | |
W3 | 0.039 | 0.012 | 0.018 | 0.013 | 0.008 | 0.005 | 0.013 | 0.045 | 0.017 | 0.009 | 0.049 | 0.064 | 0.042 | 0.017 | 0.032 | 0.011 | 0.016 | 0.023 | 0.006 | 0.439 | 5 | |
L3 | W1 | 0.006 | 0.005 | 0.000 | 0.005 | 0.019 | 0.003 | 0.009 | 0.000 | 0.010 | 0.030 | 0.047 | 0.121 | 0.036 | 0.028 | 0.027 | 0.000 | 0.005 | 0.019 | 0.006 | 0.375 | 8 |
W2 | 0.021 | 0.004 | 0.000 | 0.000 | 0.011 | 0.006 | 0.011 | 0.036 | 0.081 | 0.039 | 0.092 | 0.036 | 0.037 | 0.039 | 0.025 | 0.008 | 0.046 | 0.087 | 0.000 | 0.578 | 2 | |
W3 | 0.021 | 0.009 | 0.032 | 0.025 | 0.017 | 0.008 | 0.009 | 0.040 | 0.102 | 0.040 | 0.117 | 0.049 | 0.052 | 0.027 | 0.021 | 0.010 | 0.016 | 0.026 | 0.014 | 0.636 | 1 | |
CK | 0.015 | 0.002 | 0.030 | 0.003 | 0.001 | 0.000 | 0.000 | 0.035 | 0.069 | 0.032 | 0.074 | 0.027 | 0.055 | 0.000 | 0.039 | 0.007 | 0.007 | 0.015 | 0.022 | 0.432 | 6 | |
变异系数 | 0.144 | 0.043 | 0.118 | 0.093 | 0.102 | 0.030 | 0.057 | 0.183 | 0.377 | 0.181 | 0.430 | 0.446 | 0.286 | 0.260 | 0.143 | 0.128 | 0.168 | 0.322 | 0.177 | |||
权重 | 0.039 | 0.012 | 0.032 | 0.025 | 0.028 | 0.008 | 0.015 | 0.050 | 0.102 | 0.049 | 0.117 | 0.121 | 0.077 | 0.071 | 0.039 | 0.035 | 0.046 | 0.087 | 0.048 |
1 | 杨亚娜,樊小雪,徐刚,等.不同红蓝LED光照强度和灌溉量交互作用对番茄幼苗生长的影响[J].浙江农业学报,2019,31(5):737-745. |
YANG Y N, FAN X X, XU G, et al.. Effects of different red and blue LED light intensity and irrigation and their interactions on growth of tomato seedlings [J]. Acta Agric. Zhejiangensis, 2019,31(5):737-745. | |
2 | 翟丙年,郑险峰,杨岩荣,等.植物生长调节物质的研究进展[J].西北植物学报,2003,23(6):1069-1075. |
ZHAI B N, ZHENG X F, YANG Y R,et al..The research progresses of plant growth substances [J]. Acta Bot. Bor-Occid. Sin., 2003,23(6):1069-1075. | |
3 | 申宝营,李毅念,赵三琴,等.暗期补光对黄瓜幼苗形态调节效果及综合评价[J].农业工程学报,2014,30(22):201-208. |
SHEN B Y, LI Y N, ZHAO S Q, et al.. Effect of dark period lighting regulation on cucumber seedling morphology and comprehensive evaluation analysis and comprehensive evaluation [J]. Trans. Chin. Soc. Agric. Eng., 2014,30(22):201-208. | |
4 | BLOM T, KEREC D, BROWN W, et al.. Irrigation method and temperature of water affect height of potted easter lilies [J]. HortScience, 2004, 39(1):71-74. |
5 | GARNER L C, lANGTON F A. Brushing pansy (Viola tricolor L.) transplants: a flexible, effective method for controlling plant size [J]. Sci. Hortic., 1997,70(2-3):187-195. |
6 | 崔馨元,赵瑞,陈俊琴.不同波段紫外辐射增强对黄瓜穴盘苗生长发育的影响[J].东北农业大学学报,2010,41(9):31-34. |
CUI X Y, ZHAO R, CHEN J Q. Effect of different UV radiation bands on growth and development of cucumber plug seedlings [J]. J. Northeast Agric. Univ., 2010,41(9):31-34. | |
7 | HOGEWONING S W, TROUWBORST G, MALJAARS H, et al.. Blue light dose-responses of leaf photosynthesis,morphology,and chemical composition of Cucumis sativus grown under different combinations of red and blue light [J].J.Exp. Bot.,2010,61(11):3107-3117. |
8 | 孙洪助,孙文华,刘士辉,等.不同光质对作物形态建成和生长发育的影响[J].安徽农业科学,2015,43(27):17-20. |
SUN H Z, SUN W H, LIU S H, et al.. Effect of light quality on formation and growth of crops [J].J. Anhui Agric. Sci.,2015,43(27):17-20. | |
9 | MORROW R C. LED lighting in horticulture [J]. HortScience, 2008, 43(7): 1947-1950. |
10 | PARK Y, RUNKLE E S. Spectral effects of light-emitting diodes on plant growth,visual color quality,and photosynthetic photon efficacy:white versus blue plus red radiation [J/OL].PLoS One,2018,13(8):e0202386 [2023-09-06].. |
11 | YAN Z N, HE D X, NIU G H, et al.. Evaluation of growth and quality of hydroponic lettuce at harvest as affected by the light intensity,photoperiod and light quality at seedling stage [J]. Sci. Hortic., 2019,248:138-144. |
12 | PARK Y, RUNKLE E S. Investigating the merit of including far-red radiation in the production of ornamental seedlings grown under sole-source lighting [J]. Acta Hortic., 2016, 1134: 259-266. |
13 | KIM H H, GOINS G D, WHEELER R M, et al.. Green-light supplementation for enhanced lettuce growth under red- and blue-light-emitting diodes [J]. HortScience,2004,39(7):1617-1622. |
14 | 季方,甘佩典,刘男,等.LED光质和日累积光照量对番茄种苗生长及能量利用效率的影响[J].农业工程学报,2020,36(22):231-238. |
JI F, GAN P D, LIU N, et al.. Effects of LED spectrum and daily light integral on growth and energy use efficiency of tomato seedlings [J]. Trans. Chin. Soc. Agric. Eng., 2020,36(22):231-238. | |
15 | 梁贝贝,温江丽,李灵芝,等.植物工厂LED光源环境下黄瓜幼苗生长和需水规律[J].中国蔬菜,2018(10):25-29. |
LIANG B B, WEN J L, LI L Z,et al..Studies on cucumber seedling growth and water requirement regulation under environment with LED light source in plant factory [J].China Veget., 2018(10):25-29. | |
16 | 陈俊琴,赵瑞.不同基质相对含水量对黄瓜穴盘苗叶片水分生理与光合特性的影响[J].农业工程技术,2017,37(4):20-22. |
17 | 冯嘉玥,邹志荣,陈修斌.土壤水分对温室春黄瓜苗期生长与生理特性的影响[J].西北植物学报,2005,25(6):1242-1245. |
FENG J Y, ZOU Z R, CHEN X B. Effect of soil moisture on growth and physiological characteristics of greenhouse spring cucumber during seedling period [J]. Acta Bot. Bor-Occid. Sin.,2005, 25(6):1242-1245. | |
18 | 郭永青,李建明,邹志荣,等.不同补充灌溉量对番茄幼苗生长的影响[J].西北农业学报,2010,19(4):169-172. |
GUO Y Q, LI J M, ZOU Z R,et al..Effects of different supplementary irrigation on growth of tomato seedlings [J]. Acta Agric. Bor-Occid. Sin., 2010,19(4):169-172. | |
19 | 李建明,王平,李江.灌溉量对亚低温下温室番茄生理生化与品质的影响[J].农业工程学报,2010,26(2):129-134. |
LI J M, WANG P, LI J. Effect of irrigation amount on physiology,biochemistry and fruit quality of greenhouse tomato under sub-low temperatures [J]. Trans. Chin. Soc. Agric. Eng., 2010,26(2):129-134. | |
20 | 裴孝伯,李世诚,张福墁,等.温室黄瓜叶面积计算及其与株高的相关性研究[J].中国农学通报,2005,21(8):80-82. |
PEI X B, LI S C, ZHANG F M,et al..Study on leaf area calculation and its correlation with plant height of cucumber in greenhouse [J]. Chin. Agric. Sci.Bull., 2005,21(8):80-82. | |
21 | 高俊凤.植物生理学实验指导[M].北京:高等教育出版社,2006:15-17. |
22 | 郝建军,康宗利,于洋.植物生理学实验技术[M].北京:化学工业出版社,2007: 101-103. |
23 | 李合生.植物生理生化实验原理和技术[M]. 北京:高等教育出版社, 2000:192-201. |
24 | 马沛勤,陈莉,陈俊. Cu2+胁迫下三种蔬菜四种抗氧化生理指标的变化[J].北方园艺,2013(10):11-14. |
MA P Q, CHEN L, CHEN J.Study on the Cu2+ stress on physiological and biochemical index in three kinds of vegetables [J]. Northern Hortic., 2013(10):11-14. | |
25 | ZHANG Y, SHI Y, GONG H J, et al.. Beneficial effects of silicon on photosynthesis of tomato seedlings under water stress [J]. J. Integr. Agric., 2018, 17(10): 2151-2159. |
26 | 齐红岩,李天来,曲春秋,等.亏缺灌溉对设施栽培番茄物质分配及果实品质的影响[J].中国蔬菜,2004(2):10-12. |
QI H Y, LI T L, QU C Q, et al.. Effects of deficit irrigation on dry matter distribution and fruit quality of tomato in protected cultivation [J]. China Veget., 2004(2):10-12. | |
27 | 许大全,高伟,阮军.光质对植物生长发育的影响[J].植物生理学报,2015,51(8):1217-1234. |
XU D Q, GAO W, RUAN J. Effects of light quality on plant growth and development [J]. Plant Physiol. J., 2015,51(8):1217-1234. | |
28 | 祁娟霞,刘馨,赵小兵,等.不同灌水量和灌水频率对番茄植株生长、光合与荧光特性的影响[J].节水灌溉,2017(4):50-56. |
QI J X, LIU X, ZHAO X B, et al.. Effects of different irrigation amount and irrigation frequency on the growth,photosynthesis and fluorescence characteristics of tomato [J]. Water Sav. Irrig., 2017(4):50-56. | |
29 | 何建文. LED间歇光照在黄瓜、番茄育苗上的应用研究[D].广州:华南农业大学,2018. |
HE J W. Effect of LED intermittent light on seeding of cucumber and tomato [D]. Guangzhou: South China Agricultural University, 2018. | |
30 | 李璇,岳红,王升,等.影响植物抗氧化酶活性的因素及其研究热点和现状[J].中国中药杂志,2013,38(7):973-978. |
LI X, YUE H, WANG S,et al..Research of different effects on activity of plant antioxidant enzymes [J]. China J. Chin. Mater. Med., 2013,38(7):973-978. | |
31 | 冯敬涛,刘照霞,徐新翔,等.海藻提取物对干旱胁迫下苹果砧木幼苗抗旱性和养分吸收的影响[J].干旱地区农业研究,2020,38(5):79-85. |
FENG J T, LIU Z X, XU X X,et al..Effects of seaweed extract on drought resistance and nutrient absorption of apple rootstock seedlings under drought stress [J]. Agric. Res. Arid Areas, 2020,38(5):79-85. | |
32 | KHOYERDI F F, SHAMSHIRI M H, ESTAJI A.Changes in some physiological and osmotic parameters of several pistachio genotypes under drought stress [J]. Sci. Hortic., 2016,198:44-51. |
[1] | 吴梅, 张金珠, 王振华, 刘健, 温越, 李宣志. 水气互作对膜下滴灌玉米生理生长及产量的影响[J]. 中国农业科技导报, 2024, 26(8): 189-200. |
[2] | 黄跃, 谢晏芬, 朱宣全, 贾孟, 王戈, 白羽祥, 杜宇, 周鹏, 赵宇婷, 朱红琼, 杨帆, 肖志文, 王文波, 方志鹏, 韩家宝, 王娜. 植烟区烟叶氯含量风险评估及影响因素分析[J]. 中国农业科技导报, 2024, 26(6): 206-213. |
[3] | 张艺, 何军, 张宝龙, 张才军, 甘学华. 蓄雨型间歇灌溉模式下缓释肥对水稻生长、产量及水分利用的影响[J]. 中国农业科技导报, 2024, 26(10): 195-205. |
[4] | 杨学瑾, 周媛媛, 彭欣怡, 刘建凤, 张爱民, 井爱芹, 赵钢勇, 曹丹丹. 根结线虫危害与健康黄瓜根际土壤微生物群落结构差异分析[J]. 中国农业科技导报, 2023, 25(1): 109-118. |
[5] | 刘雪静, 鲍晓远, 候晓阳, 甄文超. 海河平原春季限水灌溉下冬小麦农田水分动态及产量形成特征[J]. 中国农业科技导报, 2022, 24(7): 167-176. |
[6] | 李宝石, 刘文科, 王奇, 邵明杰. 起垄内嵌基质栽培对日光温室夏季黄瓜根区温度、生长和产量的影响[J]. 中国农业科技导报, 2022, 24(2): 177-183. |
[7] | 丁圆圆, 王曦奥, 刘策, 李淑菊, 程智慧. 黄瓜耐湿冷性苗期综合评价预测方程的建立[J]. 中国农业科技导报, 2022, 24(11): 87-96. |
[8] | 李宝石, 刘文科, 王奇, 查凌雁, 张玉彬, 周成波, 邵明杰. 根区施用硝化抑制剂DMPP对不同栽培方式下黄瓜产量及根区温室气体排放的影响[J]. 中国农业科技导报, 2021, 23(9): 184-192. |
[9] | 陈潇洁, 吕德生, 王振华, 李文昊, 宗睿, 温越, 邹杰. 加气灌溉及水氮耦合滴灌对加工番茄产量及品质的影响[J]. 中国农业科技导报, 2021, 23(11): 191-200. |
[10] | 王洪博, 赵栗, 高阳, 王兴鹏, 曹辉, . 南疆无膜滴灌棉田灌溉模式及耗水规律研究[J]. 中国农业科技导报, 2021, 23(10): 153-160. |
[11] | 王转,朱国龙,龙怀玉*,张认连,申哲,曲潇琳,喻科凡. 土壤水分时间变异对玉米生长及水分效率的影响[J]. 中国农业科技导报, 2020, 22(11): 153-164. |
[12] | 周宇1,2,陈蒙蒙1,刘青1,马新超1,耿杨阳1,2,杨平1,2,马国财3,轩正英1,2*. 黄沙和炉渣不同配比基质对温室黄瓜植株生长及生理特性的影响[J]. 中国农业科技导报, 2019, 21(9): 117-124. |
[13] | 陈丽楠1,2,刘秀春1,荣传胜1,韩晓日2,孙占祥3*. 交替根区灌溉对葡萄幼树生长及干物质分配的影响[J]. 中国农业科技导报, 2019, 21(5): 152-158. |
[14] | 尚超1,2,徐凡2,3,韩莹琰1,郭文忠2,3*. 岩棉营养液栽培条件下温室番茄耗水规律的研究[J]. 中国农业科技导报, 2019, 21(3): 109-117. |
[15] | 李亚莉,侯栋*,岳宏忠,张东琴. 尖孢镰孢菌对抗病和感病黄瓜幼苗生长及叶片游离氨基酸的影响[J]. 中国农业科技导报, 2019, 21(11): 94-102. |
阅读次数 | ||||||
全文 |
|
|||||
摘要 |
|
|||||