中国农业科技导报 ›› 2025, Vol. 27 ›› Issue (1): 193-200.DOI: 10.13304/j.nykjdb.2023.0342

• 生物制造 资源生态 • 上一篇    下一篇

不同秸秆还田量对土壤团聚体及有机碳含量的影响

赵炳地1,2(), 张久明2(), 朱莹雪2, 匡恩俊2, 袁佳慧2, 迟凤琴2, 孙磊1, 李宁1()   

  1. 1.新疆农业大学资源与环境学院,乌鲁木齐 830052
    2.黑龙江省黑土保护利用研究院,农业农村部黑土地保护与利用重点实验室,哈尔滨 150086
  • 收稿日期:2023-05-04 接受日期:2023-08-28 出版日期:2025-01-15 发布日期:2025-01-21
  • 通讯作者: 张久明,李宁
  • 作者简介:赵炳地E-mail:yuchizhaobingdi@163.com
  • 基金资助:
    国家重点研发计划项目(2021YFD1500204);黑龙江省农业科学院杰出青年基金项目(2021JCQN004);黑龙江省省属科研院所科研业务费项目(CZKYF2023-1-B006);国家大豆产业技术体系建设项目(CARS-04);黑龙江省现代农业产业技术协同创新体系项目

Effect of Different Straw Return Amount on Soil Aggregate and Organic Carbon Content

Bingdi ZHAO1,2(), Jiuming ZHANG2(), Yingxue ZHU2, Enjun KUANG2, Jiahui YUAN2, Fengqin CHI2, Lei SUN1, Ning LI1()   

  1. 1.School of Resources and Environment,Xinjiang Agricultural University,Urumqi 830052,China
    2.Key Laboratory of Black Land Protection and Utilization of Ministry of Agriculture and Rural Affairs,Heilongjiang Academy of Black Soil Conservation & Utilization,Harbin 150086,China
  • Received:2023-05-04 Accepted:2023-08-28 Online:2025-01-15 Published:2025-01-21
  • Contact: Jiuming ZHANG,Ning LI

摘要:

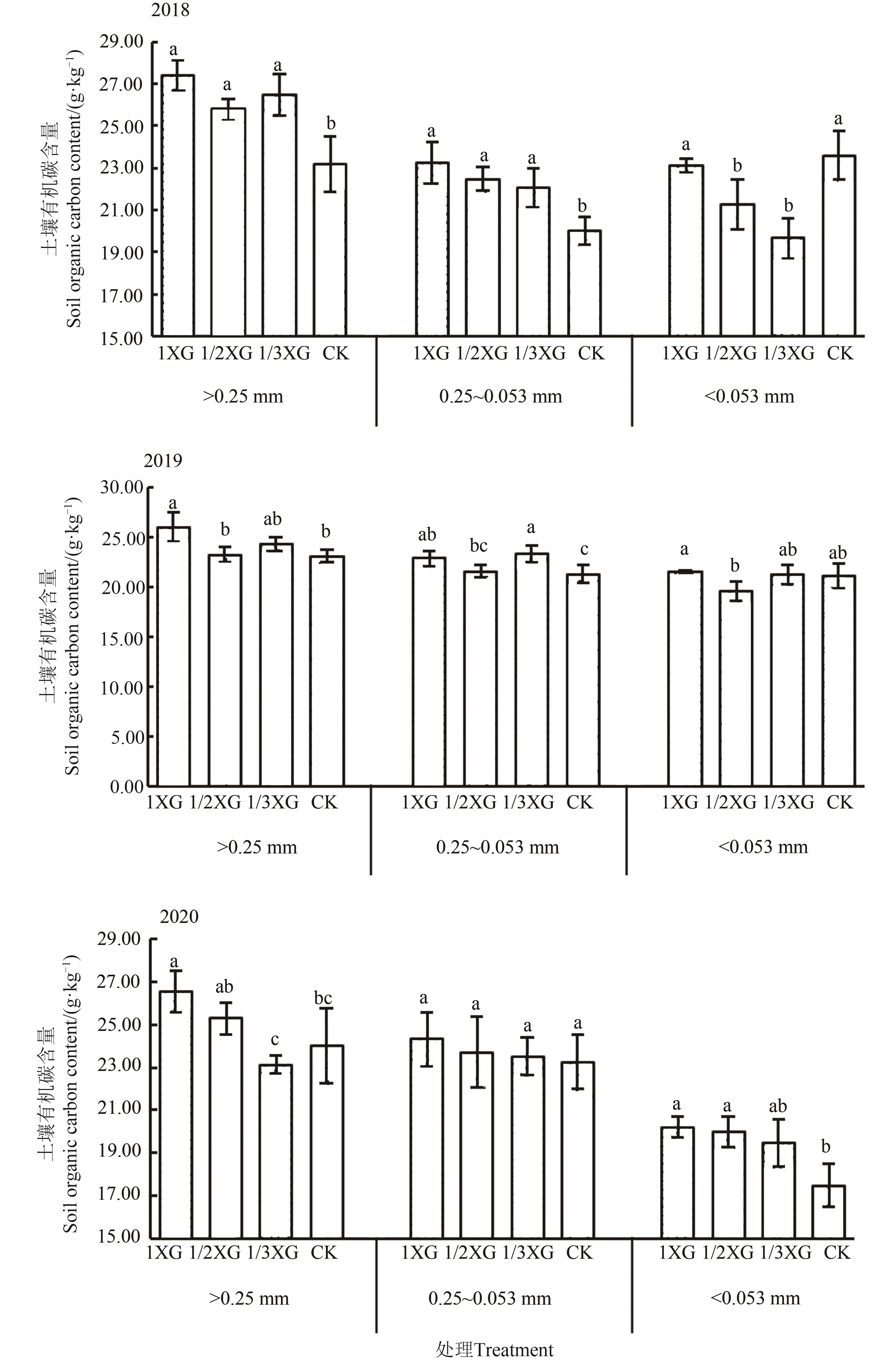
为探究不同秸秆还田量以及秸秆还田年限对土壤团聚体组成、稳定性以及碳库变化特征的影响,利用长期定位试验站的4个处理,秸秆全量还田(1XG)、秸秆1/2量还田(1/2XG)、秸秆1/3量还田(1/3XG)和根茬还田处理(CK),对团聚体稳定性以及各级团聚体有机碳含量进行连续3年的动态监测。结果表明,与CK相比,秸秆还田能够提高土壤中>0.25 mm粒级团聚体的含量,其中秸秆全量还田效果最好。随着秸秆还田年限的增加,<0.053 mm粒级团聚体含量呈增加趋势。秸秆还田能够显著提高团聚体平均重量直径,对增强团聚体稳定性起到一定作用。秸秆还田提高了土壤团聚体有机碳含量,其中秸秆全量还田效果最好,各处理>0.25 mm粒级团聚体有机碳含量均最高,表明秸秆还田后有机碳优先固存在大团聚体中,>0.25 mm粒级团聚体的有机碳贡献率最高,为60.90%~82.09%,<0.053 mm粒级团聚体最低,为2.39%~6.28%。综上,秸秆还田能够促进土壤团聚体的形成,提高土壤团聚体有机碳的含量,其中秸秆全量还田的固碳效果最好。研究结果为确定合理的秸秆还田量提供数据支持,为提升和改善黑土区土壤肥力提供理论依据。

关键词: 秸秆还田量, 水稳性团聚体, 团聚体有机碳, 有机碳贡献率

Abstract:

To explore the effects of different amounts and duration of straw return on the composition, stability, and carbon storage characteristics of soil aggregates,utilizing 4 treatments from a long-term field experiment, full straw return (1XG), 1/2 straw return (1/2XG), 1/3 straw return (1/3XG) and root stubble return (CK),the stability and the organic carbon content of aggregates were dynamically monitoring for 3 consecutive years. The results showed that compared to CK, straw returning increased the content of >0.25 mm soil aggregates. The best effect was observed with full straw return. With the years of straw returning increased, the content of <0.053 mm soil aggregates showed an increasing trend. Straw returning could significantly increase the mean weight diameter of soil aggregates, playing a role in enhancing the stability of the aggregates. The straw returning enhanced the organic carbon content of soil aggregates, and the full straw return showed best effect. The organic carbon content of >0.25 mm soil aggregates was highest in all treatments, indicating that after straw returning, organic carbon was preferably sequestered in large aggregates. The organic carbon contribution rate of >0.25 mm aggregates was the highest, between 60.90%~82.09%, while that of <0.053 mm aggregates was the lowest, between 2.39%~6.28%. In conclusion, straw return to the field promoted the formation of soil aggregates and increased the organic carbon content of soil aggregates. Among them, the full straw return had the best carbon sequestration effect. Above results provided data support for determining the appropriate amount of straw return, and provided a theoretical basis for improving and enhancing soil fertility in black soil areas.

Key words: amount of straw returned to the field, water stable aggregates, aggregated organic carbon, contribution rate of organic carbon

中图分类号: