中国农业科技导报 ›› 2023, Vol. 25 ›› Issue (8): 115-125.DOI: 10.13304/j.nykjdb.2022.0861
肖奕同(), 刘帅, 侯晨连, 刘琦, 李富忠, 张吴平(
)
收稿日期:
2022-10-12
接受日期:
2022-12-08
出版日期:
2023-08-20
发布日期:
2023-09-07
通讯作者:
张吴平
作者简介:
肖奕同 E-mail:xiao19834545797@163.com;
基金资助:
Yitong XIAO(), Shuai LIU, Chenlian HOU, Qi LIU, Fuzhong LI, Wuping ZHANG(
)
Received:
2022-10-12
Accepted:
2022-12-08
Online:
2023-08-20
Published:
2023-09-07
Contact:
Wuping ZHANG
摘要:
为了解决大豆等多分枝作物叶片成簇、叶片相互遮挡带来的高通量表型测量困难问题,提出了基于植株三维点云的器官分割及表型参数测量方法。以分枝期大豆植株为研究对象,采集植株多视角图像,利用三维重建技术得到植株稠密点云、过滤点云噪声并还原实际尺度;以法线微分差异算法、改进的区域生长算法以及点云曲率特征实现植株各器官的分割;最后采用有向包围盒、改进的三角剖分法以及最邻近算法提取植株叶面积、叶宽、叶长、叶倾角和茎粗等表型参数。试验结果表明,器官分割后冠层叶片点云平均分割率为84.24%,单叶点云分割率均高于95.29%,表型参数测量值与人工实测值具有较强相关性,叶面积、叶宽、叶长、叶倾角和茎粗测量值与人工实测值的决定系数分别为0.987 9、0.961 3、0.962 6、0.931 1和0.963 4,均方根误差分别为0.541 7 cm2、0.141 2 cm、0.175 5 cm、3.279 6°和0.047 5 cm。提出的方法对叶片相互粘连的植株具有较好的分割效果,为多分枝作物的器官分割及表型参数测量提供了有效的解决方案。
中图分类号:
肖奕同, 刘帅, 侯晨连, 刘琦, 李富忠, 张吴平. 基于三维点云的大豆植株器官分割及表型分析[J]. 中国农业科技导报, 2023, 25(8): 115-125.
Yitong XIAO, Shuai LIU, Chenlian HOU, Qi LIU, Fuzhong LI, Wuping ZHANG. Organ Segmentation and Phenotypic Analysis of Soybean Plants Based on Three-dimensional Point Clouds[J]. Journal of Agricultural Science and Technology, 2023, 25(8): 115-125.
图4 大豆植株茎叶分割A:原始点云;B:初步冠层点云;C:初步茎秆点云;D:过滤茎秆点云;E:冠层点云回填;F:完整的冠层点云
Fig. 4 Stem and leaf segmentation of soybean plantA: Initial point clouds; B: Preliminary canopy point clouds;C: Preliminary stem point clouds; D: Filter the stem point clouds; E: Backfill canopy point clouds; F:Full canopy point clouds
图5 大豆植株冠层叶片分割A:叶片粘连下的区域生长分割;B:叶片去粘连后区域生长分割;C:改进的区域生长分割
Fig. 5 Leaves segmentation of soybean canopyA:Region growing segmentation of adherent leaves;B:Region growing segmentation of leaves with adhesions removed;C:Improved region growing segmentation
图6 大豆表型参数测量A:植株坐标系;B:叶片有向包围盒;C:提取叶宽及叶倾角;D:提取茎粗;E:叶片网格;F:叶脉拟合
Fig. 6 Measurement of soybean phenotypic parametersA: Plant coordinate system; B: Leaf oriented bounding box; C: Extracted leaf width and leaf inclination angle; D: Extracted stem diameter; E: Leaf grids; F: Fitting of leaf midrib
植株编号 No. | 分割前点云总数N | 冠层叶片点云数量Nc | 冠层叶片点云分割率Rc/% | ||
---|---|---|---|---|---|
DoN | RANSAC | DoN | RANSAC | ||
1 | 230 775 | 195 719 | 172 714 | 84.81 | 74.84 |
2 | 146 930 | 123 517 | 115 810 | 84.07 | 78.82 |
3 | 172 506 | 144 472 | 129 035 | 83.75 | 74.80 |
4 | 198 863 | 165 371 | 162 251 | 83.16 | 81.59 |
5 | 221 826 | 189 764 | 166 273 | 85.55 | 74.96 |
6 | 215 876 | 185 681 | 170 564 | 86.01 | 79.01 |
7 | 173 328 | 143 937 | 137 762 | 83.04 | 79.48 |
8 | 166 324 | 140 344 | 134 996 | 84.38 | 81.16 |
9 | 201 988 | 168 796 | 162 237 | 83.57 | 80.32 |
10 | 185 933 | 156 402 | 145 894 | 84.12 | 78.47 |
平均 Average | 191 435 | 161 400 | 149 754 | 84.24 | 78.34 |
表1 植株茎叶分割结果统计
Table 1 Statistics of stem and leaf segmentation results of plants
植株编号 No. | 分割前点云总数N | 冠层叶片点云数量Nc | 冠层叶片点云分割率Rc/% | ||
---|---|---|---|---|---|
DoN | RANSAC | DoN | RANSAC | ||
1 | 230 775 | 195 719 | 172 714 | 84.81 | 74.84 |
2 | 146 930 | 123 517 | 115 810 | 84.07 | 78.82 |
3 | 172 506 | 144 472 | 129 035 | 83.75 | 74.80 |
4 | 198 863 | 165 371 | 162 251 | 83.16 | 81.59 |
5 | 221 826 | 189 764 | 166 273 | 85.55 | 74.96 |
6 | 215 876 | 185 681 | 170 564 | 86.01 | 79.01 |
7 | 173 328 | 143 937 | 137 762 | 83.04 | 79.48 |
8 | 166 324 | 140 344 | 134 996 | 84.38 | 81.16 |
9 | 201 988 | 168 796 | 162 237 | 83.57 | 80.32 |
10 | 185 933 | 156 402 | 145 894 | 84.12 | 78.47 |
平均 Average | 191 435 | 161 400 | 149 754 | 84.24 | 78.34 |
图8 不同参数下叶片分割结果A:较大参数下区域生长分割;B:较小参数下区域生长分割;C:较小参数下改进的区域生长分割
Fig. 8 Results of leaf segmentation under different parametersA:Region growth segmentation;B:Region growth segmentation with small parameters;C:Improved region growth segmentation with small parameters
植株编号 No. | 分割前点云总数Nc | 叶片聚类点云总数 Nl | 单叶点云分割率Rl/% |
---|---|---|---|
1 | 189 764 | 183 691 | 96.80 |
2 | 165 371 | 160 138 | 96.84 |
3 | 144 472 | 138 853 | 96.11 |
4 | 195 719 | 186 988 | 95.54 |
5 | 123 517 | 120 173 | 97.29 |
6 | 185 681 | 181 085 | 97.52 |
7 | 143 937 | 138 100 | 95.94 |
8 | 140 344 | 135 017 | 96.20 |
9 | 168 796 | 160 844 | 95.29 |
10 | 156 402 | 150 702 | 96.36 |
平均 Average | 161 400 | 155 559 | 96.39 |
表2 植株叶片分割结果统计
Table 2 Statistics of leaf segmentation results of plants
植株编号 No. | 分割前点云总数Nc | 叶片聚类点云总数 Nl | 单叶点云分割率Rl/% |
---|---|---|---|
1 | 189 764 | 183 691 | 96.80 |
2 | 165 371 | 160 138 | 96.84 |
3 | 144 472 | 138 853 | 96.11 |
4 | 195 719 | 186 988 | 95.54 |
5 | 123 517 | 120 173 | 97.29 |
6 | 185 681 | 181 085 | 97.52 |
7 | 143 937 | 138 100 | 95.94 |
8 | 140 344 | 135 017 | 96.20 |
9 | 168 796 | 160 844 | 95.29 |
10 | 156 402 | 150 702 | 96.36 |
平均 Average | 161 400 | 155 559 | 96.39 |
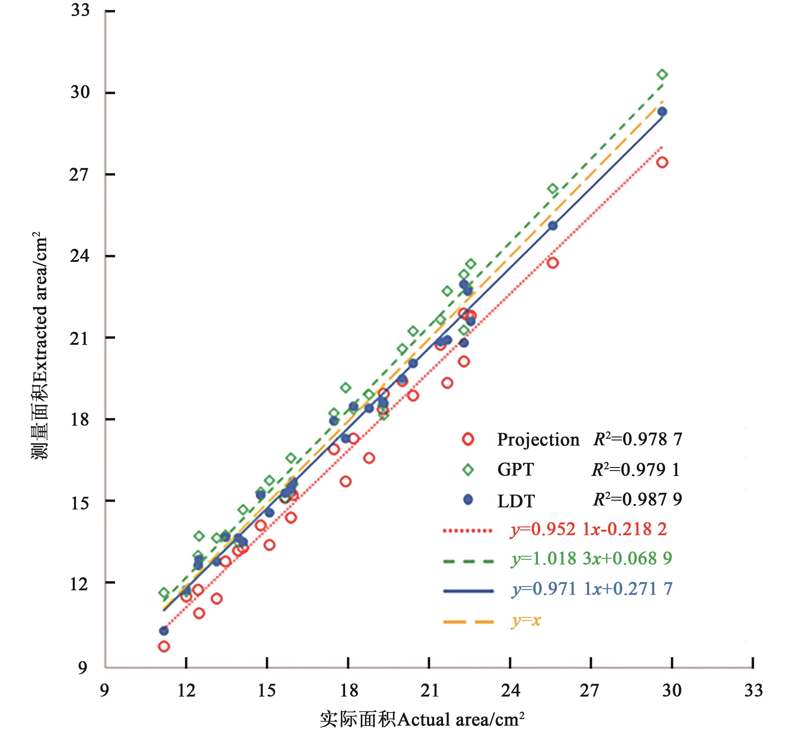
测量方法 Measurement methods | 平均相对误差 MRE/% | 决定系数 R2 | 均方根误差 RMSE/cm2 |
---|---|---|---|
投影法 Projection | 6.14 | 0.978 7 | 1.251 1 |
贪婪投影三角化法GPT | 3.95 | 0.979 1 | 0.763 3 |
LDT | 2.71 | 0.987 9 | 0.541 7 |
表3 不同方法测量叶面积结果评价
Table 3 Result evaluation of leaf area by different methods
测量方法 Measurement methods | 平均相对误差 MRE/% | 决定系数 R2 | 均方根误差 RMSE/cm2 |
---|---|---|---|
投影法 Projection | 6.14 | 0.978 7 | 1.251 1 |
贪婪投影三角化法GPT | 3.95 | 0.979 1 | 0.763 3 |
LDT | 2.71 | 0.987 9 | 0.541 7 |
表型参数 Phenotypic parameter | 平均相对误差 MRE/% | 决定系数 R2 | 均方根误差 RMSE |
---|---|---|---|
叶宽 Leaf width | 2.68 | 0.961 3 | 0.141 2 cm |
叶长 Leaf length | 2.87 | 0.962 6 | 0.175 5 cm |
茎粗 Stem diameter | 3.99 | 0.963 4 | 0.047 5 cm |
叶倾角 Leaf inclination angle | 7.22 | 0.931 1 | 3.279 6 ° |
表4 叶宽、叶长及茎粗测量结果评价
Table 4 Result evaluation of leaf width, leaf length and stem diameter
表型参数 Phenotypic parameter | 平均相对误差 MRE/% | 决定系数 R2 | 均方根误差 RMSE |
---|---|---|---|
叶宽 Leaf width | 2.68 | 0.961 3 | 0.141 2 cm |
叶长 Leaf length | 2.87 | 0.962 6 | 0.175 5 cm |
茎粗 Stem diameter | 3.99 | 0.963 4 | 0.047 5 cm |
叶倾角 Leaf inclination angle | 7.22 | 0.931 1 | 3.279 6 ° |
图10 大豆表型参数测量值与真实值比较A:叶宽;B:叶长;C:茎粗;D:叶倾角
Fig. 10 Comparison of soybean phenotypic parameters extracted with actual valuesA:Leaf width; B:Leaf length; C:Stem diameter; D: Leaf inclination angle
处理阶段 Processing stage | 点云重建 Point clouds reconstruction/min | 滤波 Filtering/s | 器官分割 Organ segmentation/s | 表型参数提取 Phenotypic parameter extraction/s | |
---|---|---|---|---|---|
茎叶分割 Stem and leaf segmentation | 单叶分割 Single leaf segmentation | ||||
最小处理时间 Minimum processing time | 19.73 | 7.11 | 13.79 | 6.53 | 34.65 |
最大处理时间 Maximum processing time | 26.58 | 8.91 | 18.44 | 10.90 | 53.17 |
平均处理时间 Average processing time | 24.17 | 7.35 | 14.63 | 8.42 | 46.72 |
表5 时效分析结果
Table 5 Results of processing time analysis
处理阶段 Processing stage | 点云重建 Point clouds reconstruction/min | 滤波 Filtering/s | 器官分割 Organ segmentation/s | 表型参数提取 Phenotypic parameter extraction/s | |
---|---|---|---|---|---|
茎叶分割 Stem and leaf segmentation | 单叶分割 Single leaf segmentation | ||||
最小处理时间 Minimum processing time | 19.73 | 7.11 | 13.79 | 6.53 | 34.65 |
最大处理时间 Maximum processing time | 26.58 | 8.91 | 18.44 | 10.90 | 53.17 |
平均处理时间 Average processing time | 24.17 | 7.35 | 14.63 | 8.42 | 46.72 |
1 | 翁杨,曾睿,吴陈铭,等.基于深度学习的农业植物表型研究综述[J].中国科学:生命科学, 2019, 49(6):698-716. |
WENG Y, ZENG R, WU C M,et al.. A survery on deep-learning-based plant phenotype research in agriculture [J]. Sci. Sin. Vitae, 2019, 49(6):698-716. | |
2 | 潘映红.论植物表型组和植物表型组学的概念与范畴[J].作物学报, 2015, 41(2):175-186. |
PAN Y H. Analysis of concepts and categories of plant phenome and phenomics [J]. Acta Agron. Sin., 2015, 41(2):175-186. | |
3 | YANG W N, FENG H, ZHANG X H,et al..Crop phenomics and high-throughput phenotyping: past decades, current challenges, and future perspectives [J]. Mol. Plant, 2020, 13(2):187-214. |
4 | MEYER G E, NETO J C, JONES D D, et al.. Intensified fuzzy clusters for classifying plant, soil, and residue regions of interest from color images [J]. Comp. Electron. Agric., 2004, 42(3):161-180. |
5 | 李晓斌,王玉顺,付丽红. 用K-means图像法和主成分分析法监测生菜生长势[J].农业工程学报, 2016, 32(12):179-186. |
LI X B, WANG Y S, FU L H. Monitoring lettuce growth using K-means color image segmentation and principal component analysis method [J]. Trans. Chin. Soc. Agric. Eng., 2016, 32(12):179-186. | |
6 | 周静静,郭新宇,吴升,等. 基于多视角图像的植物三维重建研究进展[J].中国农业科技导报, 2019, 21(2):9-18. |
ZHOU J J, GUO X Y, WU S, et al.. Research progress on plant three-dimensional reconstruction based on multi-view images [J]. J. Agric. Sci. Technol., 2019, 21(2):9-18. | |
7 | LI L, ZHANG Q, HANG D F. A review of imaging techniques for plant phenotyping [J]. Sensors, 2014, 14:20078-20111. |
8 | 史蒲娟,翟瑞芳,常婷婷,等.基于单目视觉和激光扫描技术的油菜植株模型重建及株型参数测量[J].华中农业大学学报, 2017, 36(3):63-68. |
SHI P J, ZHAI R F, CHANG T T, et al.. 3D model generation and phenotypic measurement of rapeseed plant based on monocular visio and laser scanning technology [J]. J. Huazhong Agric. Univ., 2017, 36(3):63-68. | |
9 | 李杨先,张慧春,杨旸.一种基于图像处理技术的植物形态表型参数获取方法[J].林业工程学报, 2020, 5(6):128-136. |
LI Y X, ZHANG H C, YANG Y. A method for obtaining plant morphological phenotypic parameters using image processing technology [J]. J. Forestry Eng., 2020, 5(6):128-136. | |
10 | 高宇,高军萍,李寒,等.植物表型监测技术研究进展及发展对策[J].江苏农业科学, 2017, 45(11):5-10. |
11 | WU S, WEN W L, XIAO B X, et al.. An accurate skeleton extraction approach from 3D point clouds of maize plants [J]. Front. Plant Sci., 2019, 10:248-262. |
12 | BOOGAARD F P, HENTEN E V, KOOTSTRA G. Boosting plant-part segmentation of cucumber plants by enriching incomplete 3D point clouds with spectral data [J]. Biosyst. Eng., 2021, 211:167-182. |
13 | 彭程,李帅,苗艳龙,等.基于三维点云的番茄植株茎叶分割与表型特征提取[J].农业工程学报, 2022, 38(9):187-194. |
PENG C, LI S, MIAO Y L, et al.. Stem-leaf segmentation and phenotypic trait extraction of tomatoes using three-dimensional poind cloud [J]. Trans. Chin. Soc. Agric. Eng., 2022, 38(9):187-194. | |
14 | 朱超,苗腾,许童羽,等.基于骨架和最优传输距离的玉米点云茎叶分割和表型提取[J].农业工程学报, 2021, 37(4):188-198. |
ZHU C, MIAO T, XU T Y, et al.. Segmentation and phenotypic trait extraction of maize point cloud stem-leaf based on skeleton and optimal transportation distances [J]. Trans. Chin. Soc. Agric. Eng., 2021, 37(4):188-198. | |
15 | 阳旭,胡松涛,王应华,等.利用多时序激光点云数据提取棉花表型参数方法[J].智慧农业, 2021, 3(1):51-62. |
YANG X, HU S T, WANG Y H, et al..Cotton phenotypic trait extraction using multi-temporal laser point clouds [J]. Smart Agric., 2021, 3(1):51-62. | |
16 | LI D W, CAO Y, SHI G L, et al.. An overlapping-free leaf segmentation method for plant point clouds [J]. IEEE Access, 2019,7( 9): 129054-129070. |
17 | 赖亦斌,陆声链,钱婷婷,等.植物三维点云分割[J].应用科学学报, 2021, 39(4):660-671. |
LAI Y B, LU S L, QIAN T T, et al.. Three-dimensional point cloud segmentation for plants [J]. J. Appl. Sci., 2021, 39(4):660-671. | |
18 | RUSU R B, COUSINS S. 3D is here: point cloud library (PCL)[C]// 2011 IEEE International Conference on Robotics & Automation. USA: NewYork, IEEE, 2011:1-4. |
19 | IOANNOU Y, TAATI B, HARRAP R, et al.. Difference of normals as a multi-scale operator in unorganized point clouds [C]// 2012 Second International Conference on 3D Imaging, Modeling, Processing, Visualization & Transmission. Zurich. Switzerland:IEEE, 2012:501-508. |
20 | 孟祥丽,刘一鸣,刘瑶,等.基于摄影测量技术的植物叶面积精确测量方法研究[J].西北林学院学报, 2019, 34(2):222-226. |
MENG X L, LIU Y M, LIU Y, et al.. Precise measurement of plant leaf area based on photogrammetry technology [J]. J. Northwest For. Univ., 2019, 34(2):222-226. | |
21 | 彭宝江,钟若飞,孙海丽,等.面向 DEM 构建的点云四叉树和R树混合索引研究[J].应用科学学报, 2018, 36(4):644-654. |
PENG B J, ZHONG R F, SUN H L, et al.. Hybrid index method based on quad tree and R-tree for DEM reconstruction of airborne point cloud [J]. J. Appl. Sci., 2018, 36(4):644-654. | |
22 | 孙智慧,陆声链,郭新宇,等.基于点云数据的植物叶片曲面重构方法[J].农业工程学报, 2012, 28(3):184-190. |
SUN Z H, LU S L, GUO X Y, et al.. Surfaces reconstruction of plant leaves based on point cloud data [J]. Trans. Chin. Soc.Agric. Eng., 2012, 28(3):184-190. |
[1] | 于泽涛1,2,温维亮1,2,郭新宇1,2*,王勇健1,2,钱婷婷3. 基于三维点云的灌浆后期玉米植株形态变化研究[J]. 中国农业科技导报, 2018, 20(12): 59-66. |
阅读次数 | ||||||
全文 |
|
|||||
摘要 |
|
|||||