中国农业科技导报 ›› 2023, Vol. 25 ›› Issue (1): 206-222.DOI: 10.13304/j.nykjdb.2022.0728
李晓东1,2,3(), 苏丽1,2,3, 李晓捷4, 李杰5, 徐英江6, 常丽荣7, 于仁成1,2, 杨德周1,2,3, 逄少军1,2,3(
)
收稿日期:
2022-08-31
接受日期:
2022-09-14
出版日期:
2023-01-15
发布日期:
2023-04-17
通讯作者:
逄少军
作者简介:
李晓东 E-mail: xdli@qdio.ac.cn;
基金资助:
Xiaodong LI1,2,3(), Li SU1,2,3, Xiaojie LI4, Jie LI5, Yingjiang XU6, Lirong CHANG7, Rencheng YU1,2, Dezhou YANG1,2,3, Shaojun PANG1,2,3(
)
Received:
2022-08-31
Accepted:
2022-09-14
Online:
2023-01-15
Published:
2023-04-17
Contact:
Shaojun PANG
摘要:
2021年11月至2022年4月,海带(Saccharina japonica)主产区山东荣成发生了海带溃烂灾害,受灾面积超9 300 hm2,直接经济损失20亿元。通过现场调查、室内试验、资料分析等手段进行了研究,结果显示,2021年10月至2022年12月,由多纹膝沟藻(Gonyaulax polygramma)和红色赤潮藻(Akashiwo sanguinea)构成的赤潮,顺自西向东沿岸流进入荣成海带养殖区,自北至南蔓延,暴发海域可溶解磷酸盐含量为3.68 μg·L-1,凸显磷限制;室内培养试验显示问题海域海水正常;浮标观测显示,养殖区2021年11月盐度30.92 PSU,显著偏低;养殖区海水透明度显著高于往年同期。综上,此次灾害归因于海水透明度季节性偏高、赤潮藻枯竭了海带早期生长赖以需要的营养元素,溃烂海带促进了褐藻酸降解菌繁殖,加速溃烂过程,带来次生灾害。
中图分类号:
李晓东, 苏丽, 李晓捷, 李杰, 徐英江, 常丽荣, 于仁成, 杨德周, 逄少军. 2021—2022年山东荣成海带产区大规模溃烂灾害综合调查分析[J]. 中国农业科技导报, 2023, 25(1): 206-222.
Xiaodong LI, Li SU, Xiaojie LI, Jie LI, Yingjiang XU, Lirong CHANG, Rencheng YU, Dezhou YANG, Shaojun PANG. Comprehensive Analysis of Large-Scale Saccharina japonica Damage in the Principal Farming Area of Rongcheng in Shandong Province from 2021 to 2022[J]. Journal of Agricultural Science and Technology, 2023, 25(1): 206-222.
海域 Sea area | 养殖区 Farming region | 位置 Location | |
---|---|---|---|
鸡鸣岛 Jiming island | 低区 Low zone | 37°26′33″N | 122°26′46″E |
中区 Mid zone | 37°26′47″N | 122°26′48″E | |
高区 High zone | 37°27′4″N | 122°26′47″E | |
荣成湾 Rongcheng bay | 低区 Low zone | 37°19′9″N | 122°36′30″E |
中区 Mid zone | 37°20′18″N | 122°37′17″E | |
高区 High zone | 37°19′5″N | 122°38′1″E | |
俚岛 Li island | 低区 Low zone | 37°15′19″N | 122°38′37″E |
中区 Mid zone | 37°15′20″N | 122°37′6″E | |
高区 High zone | 37°15′22″N | 122°35′35″E | |
爱莲湾 Ailian bay | 低区 Low zone | 37°11′54″N | 122°35′9″E |
中区 Mid zone | 37°9′48″N | 122°34′24″E | |
高区 High zone | 37°9′29″N | 122°33′17″E | |
楮岛 Chu island | 低区 Low zone | 37°1′42″N | 122°33′17″E |
中区 Mid zone | 37°1′12″N | 122°34′10″E | |
高区 High zone | 37°1′8″N | 122°34′37″E | |
镆铘岛 Moye island | 低区 Low zone | 36°54′43″N | 122°32′6″E |
中区 Mid zone | 36°54′33″N | 122°32′20″E | |
高区 High zone | 36°54′23″N | 122°32′33″E |
表1 样品采集信息
Table 1 Information of samples
海域 Sea area | 养殖区 Farming region | 位置 Location | |
---|---|---|---|
鸡鸣岛 Jiming island | 低区 Low zone | 37°26′33″N | 122°26′46″E |
中区 Mid zone | 37°26′47″N | 122°26′48″E | |
高区 High zone | 37°27′4″N | 122°26′47″E | |
荣成湾 Rongcheng bay | 低区 Low zone | 37°19′9″N | 122°36′30″E |
中区 Mid zone | 37°20′18″N | 122°37′17″E | |
高区 High zone | 37°19′5″N | 122°38′1″E | |
俚岛 Li island | 低区 Low zone | 37°15′19″N | 122°38′37″E |
中区 Mid zone | 37°15′20″N | 122°37′6″E | |
高区 High zone | 37°15′22″N | 122°35′35″E | |
爱莲湾 Ailian bay | 低区 Low zone | 37°11′54″N | 122°35′9″E |
中区 Mid zone | 37°9′48″N | 122°34′24″E | |
高区 High zone | 37°9′29″N | 122°33′17″E | |
楮岛 Chu island | 低区 Low zone | 37°1′42″N | 122°33′17″E |
中区 Mid zone | 37°1′12″N | 122°34′10″E | |
高区 High zone | 37°1′8″N | 122°34′37″E | |
镆铘岛 Moye island | 低区 Low zone | 36°54′43″N | 122°32′6″E |
中区 Mid zone | 36°54′33″N | 122°32′20″E | |
高区 High zone | 36°54′23″N | 122°32′33″E |
海域 Sea areas | 海水样品 Samples of seawater | 沉积物样品 Samples of sediments | 海带样品名称 Samples name of Saccharina japonica |
---|---|---|---|
鸡鸣岛Jiming island | 鸡鸣岛海水JMW | 鸡鸣岛沉积物JMS | / |
爱莲湾Ailian bay | 爱莲湾海水ALW | 爱莲湾沉积物ALS | 爱莲湾低区海带 LK |
爱莲湾中区海带 MK | |||
爱莲湾高区海带 HK | |||
镆铘岛 Moye island | 镆铘岛海水MYW | 镆铘岛沉积物MYS | / |
表2 2022年2月采集样品汇总
Table 2 Information of samples in February 2022
海域 Sea areas | 海水样品 Samples of seawater | 沉积物样品 Samples of sediments | 海带样品名称 Samples name of Saccharina japonica |
---|---|---|---|
鸡鸣岛Jiming island | 鸡鸣岛海水JMW | 鸡鸣岛沉积物JMS | / |
爱莲湾Ailian bay | 爱莲湾海水ALW | 爱莲湾沉积物ALS | 爱莲湾低区海带 LK |
爱莲湾中区海带 MK | |||
爱莲湾高区海带 HK | |||
镆铘岛 Moye island | 镆铘岛海水MYW | 镆铘岛沉积物MYS | / |
图1 荣成海区灾害发生前后海带A:典型受灾海带;B:灾害后期海带(鸡鸣岛,2022年1月10日);C: 楮岛海区海带受灾前(2022年1月6日);D: 楮岛海区海带受灾后(2022年3月9日)
Fig. 1 Saccharina japonica before and after the disasterA:Festered Saccharina japonica on a cultivation rope; B: Remained residual plants on a ropeafter disaster (Jiming island, January 10, 2022); C: Healthy sporophytesbefore disaster (Chu island, January 6, 2022); D: Sporophytes after disaster (Chu island, March 9, 2022)
海域 Sea areas | 站位 Station | pH | 溶解无机氮 DIN/(μg·L-1) | 溶解磷酸盐 DIP/(μg·L-1) | 溶解硅酸盐 DISi/(μg·L-1) | 化学需氧量 COD/(μg·L-1) | 氮磷比 N/P | 硅磷比 Si/P | 硅氮比 Si/N | 相对限制因子Absolute limiting factor | 绝对限制因子Relative limiting factor | 富营养化指数E |
---|---|---|---|---|---|---|---|---|---|---|---|---|
爱莲湾Ailian bay | 1 | 8.12 | 195.61±90.67 | 12.70±14.76 | 129.57±11.34 | 1 361.55±8.29 | 15.41 | 0.66 | 10.20 | 0.75 | ||
2 | 8.12 | 227.19±165.34 | 3.65±1.14 | 164.01±9.50 | 1 313.68±32.67 | 62.32 | 0.72 | 44.99 | P | 0.24 | ||
3 | 8.24 | 187.48±30.85 | 3.67±0.33 | 138.18±7.79 | 1 499.47±11.56 | 51.14 | 0.74 | 37.70 | P | 0.23 | ||
荣成湾 Rongcheng bay | 4 | 8.18 | 675.10±7.07 | 2.79±0.07 | — | 1 472.74±9.95 | 241.97 | — | — | P | 0.62 | |
5 | 8.19 | 179.55±140.36 | 1.67±1.22 | 198.45±14.44 | 1 385.28±35.71 | 107.75 | 1.11 | 119.09 | P | P | 0.09 | |
6 | 8.19 | 131.35±29.48 | 1.68±0.42 | 112.35±3.22 | 1 238.83±24.44 | 78.00 | 0.86 | 66.71 | P | P | 0.06 | |
7 | 8.22 | 199.58±98.88 | 8.60±5.09 | 155.40±0.95 | 1 371.90±8.85 | 23.21 | 0.78 | 18.07 | 0.52 | |||
俚岛 Li island | 8 | 8.21 | 139.09±18.97 | 4.05±2.12 | 263.02±1.98 | 1 154.42±14.56 | 34.34 | 1.89 | 64.94 | P | 0.14 | |
9 | 8.17 | 190.55±36.55 | 4.01±4.12 | 125.27±10.53 | 1 166.39±22.36 | 47.50 | 0.66 | 31.22 | P | 0.20 | ||
10 | 8.17 | 164.26±66.24 | 4.64±1.29 | 185.54±15.00 | 1 472.63±17.60 | 35.44 | 1.13 | 40.03 | P | 0.25 | ||
11 | 8.20 | 161.50±2.12 | 4.06±0.07 | — | 1 297.39±21.22 | 39.78 | — | — | 0.19 | |||
12 | 8.23 | 160.70±0.71 | 4.25±0.07 | — | 1 172.26±15.11 | 37.81 | — | — | 0.18 | |||
13 | 8.25 | 192.40±2.12 | 2.79±0.07 | 328.00±8.23 | 1 256.70±31.54 | 68.96 | 1.70 | 117.56 | P | P | 0.15 | |
鸡鸣岛Jiming island | 14 | 8.25 | 557.27±612.06 | 3.12±0.78 | 265.51±14.35 | 1 571.77±22.77 | 178.47 | 0.48 | 85.03 | P | 0.61 | |
15 | 8.25 | 244.39±78.89 | 3.11±1.39 | 209.16±5.78 | 1 261.3±12.45 | 78.55 | 0.86 | 67.23 | P | 0.21 | ||
16 | 8.25 | 279.67±92.15 | 2.61±2.01 | 188.82±11.71 | 1 550.27±28.76 | 107.18 | 0.68 | 72.36 | P | P | 0.25 | |
楮岛 Chu island | 17 | 8.17 | 100.85±6.58 | 2.72±1.01 | 86.70±0.92 | — | 37.15 | 0.86 | 31.93 | P | P | — |
18 | 8.21 | 48.20±7.64 | 2.57±0.81 | 100.00±5.40 | — | 18.76 | 2.07 | 38.91 | P | P | — | |
19 | 8.25 | 51.84±9.38 | 3.14±0.83 | 93.20±2.57 | — | 16.53 | 1.80 | 29.73 | P | — | ||
20 | 8.11 | 42.03±11.15 | 2.10±1.28 | 142.77±4.47 | — | 19.98 | 3.40 | 67.89 | P | P | — | |
21 | 8.11 | 46.27±19.07 | 1.33±0.42 | 168.64±12.26 | — | 34.79 | 3.64 | 126.82 | P | P | — | |
22 | 8.22 | 61.50±49.36 | 1.62±0.85 | 142.49±17.31 | — | 37.89 | 2.32 | 87.79 | P | P | — |
表3 海带养殖区海水营养盐参数
Table 3 Parameters of seawater nutrients in Saccharina japonica sea areas
海域 Sea areas | 站位 Station | pH | 溶解无机氮 DIN/(μg·L-1) | 溶解磷酸盐 DIP/(μg·L-1) | 溶解硅酸盐 DISi/(μg·L-1) | 化学需氧量 COD/(μg·L-1) | 氮磷比 N/P | 硅磷比 Si/P | 硅氮比 Si/N | 相对限制因子Absolute limiting factor | 绝对限制因子Relative limiting factor | 富营养化指数E |
---|---|---|---|---|---|---|---|---|---|---|---|---|
爱莲湾Ailian bay | 1 | 8.12 | 195.61±90.67 | 12.70±14.76 | 129.57±11.34 | 1 361.55±8.29 | 15.41 | 0.66 | 10.20 | 0.75 | ||
2 | 8.12 | 227.19±165.34 | 3.65±1.14 | 164.01±9.50 | 1 313.68±32.67 | 62.32 | 0.72 | 44.99 | P | 0.24 | ||
3 | 8.24 | 187.48±30.85 | 3.67±0.33 | 138.18±7.79 | 1 499.47±11.56 | 51.14 | 0.74 | 37.70 | P | 0.23 | ||
荣成湾 Rongcheng bay | 4 | 8.18 | 675.10±7.07 | 2.79±0.07 | — | 1 472.74±9.95 | 241.97 | — | — | P | 0.62 | |
5 | 8.19 | 179.55±140.36 | 1.67±1.22 | 198.45±14.44 | 1 385.28±35.71 | 107.75 | 1.11 | 119.09 | P | P | 0.09 | |
6 | 8.19 | 131.35±29.48 | 1.68±0.42 | 112.35±3.22 | 1 238.83±24.44 | 78.00 | 0.86 | 66.71 | P | P | 0.06 | |
7 | 8.22 | 199.58±98.88 | 8.60±5.09 | 155.40±0.95 | 1 371.90±8.85 | 23.21 | 0.78 | 18.07 | 0.52 | |||
俚岛 Li island | 8 | 8.21 | 139.09±18.97 | 4.05±2.12 | 263.02±1.98 | 1 154.42±14.56 | 34.34 | 1.89 | 64.94 | P | 0.14 | |
9 | 8.17 | 190.55±36.55 | 4.01±4.12 | 125.27±10.53 | 1 166.39±22.36 | 47.50 | 0.66 | 31.22 | P | 0.20 | ||
10 | 8.17 | 164.26±66.24 | 4.64±1.29 | 185.54±15.00 | 1 472.63±17.60 | 35.44 | 1.13 | 40.03 | P | 0.25 | ||
11 | 8.20 | 161.50±2.12 | 4.06±0.07 | — | 1 297.39±21.22 | 39.78 | — | — | 0.19 | |||
12 | 8.23 | 160.70±0.71 | 4.25±0.07 | — | 1 172.26±15.11 | 37.81 | — | — | 0.18 | |||
13 | 8.25 | 192.40±2.12 | 2.79±0.07 | 328.00±8.23 | 1 256.70±31.54 | 68.96 | 1.70 | 117.56 | P | P | 0.15 | |
鸡鸣岛Jiming island | 14 | 8.25 | 557.27±612.06 | 3.12±0.78 | 265.51±14.35 | 1 571.77±22.77 | 178.47 | 0.48 | 85.03 | P | 0.61 | |
15 | 8.25 | 244.39±78.89 | 3.11±1.39 | 209.16±5.78 | 1 261.3±12.45 | 78.55 | 0.86 | 67.23 | P | 0.21 | ||
16 | 8.25 | 279.67±92.15 | 2.61±2.01 | 188.82±11.71 | 1 550.27±28.76 | 107.18 | 0.68 | 72.36 | P | P | 0.25 | |
楮岛 Chu island | 17 | 8.17 | 100.85±6.58 | 2.72±1.01 | 86.70±0.92 | — | 37.15 | 0.86 | 31.93 | P | P | — |
18 | 8.21 | 48.20±7.64 | 2.57±0.81 | 100.00±5.40 | — | 18.76 | 2.07 | 38.91 | P | P | — | |
19 | 8.25 | 51.84±9.38 | 3.14±0.83 | 93.20±2.57 | — | 16.53 | 1.80 | 29.73 | P | — | ||
20 | 8.11 | 42.03±11.15 | 2.10±1.28 | 142.77±4.47 | — | 19.98 | 3.40 | 67.89 | P | P | — | |
21 | 8.11 | 46.27±19.07 | 1.33±0.42 | 168.64±12.26 | — | 34.79 | 3.64 | 126.82 | P | P | — | |
22 | 8.22 | 61.50±49.36 | 1.62±0.85 | 142.49±17.31 | — | 37.89 | 2.32 | 87.79 | P | P | — |
图2 海带幼苗室内培养A:培养4 d;B:培养8 d;QD—使用青岛采集海水培养;RC—使用荣成灾区采集海水培养
Fig. 2 Indoor culture of Saccharina japonica seedlingsA: Culture for 4 days;B: Culture for 8 days;QD— Using water sampled from Qingdao; RC—Using water sampled from problematic area in Rongcheng area
图3 不同海区海带成分组成注:JM—鸡鸣岛;MY—镆铘岛;DY—大鱼岛;E25—对照;不同小写字母表示差异在P<0.05水平显著。
Fig. 3 Contents of Saccharina japonica collected from different sea areasNote:JM—Jiming island; MY—Moye island; DY—Dayu island; E25—Control; Different lowercase letters indicate significant difference at P<0.05 level.
图4 山东半岛东北部海域叶绿素a含量与分布的遥感分析结果A:2021年12月7日;B:2021年12月20日
Fig. 4 Remote-sensing results on chrolophyll a level and distribution in the coastal waters around Shandong peninsulaA: December 7, 2021: B: December 20, 2021
图5 2021年12月11日山东半岛东北部赤潮区采集的浮游植物及其分离培养物A:赤潮区采集的浮游植物;B:分离培养的多纹膝沟藻; C:分离培养的红色赤潮藻
Fig. 5 Phytoplankton samples and their isolated cultures collected from the red tide area of northeast Shandong peninsula on December 11, 2021A:Phytoplankton samples collected from the red tide area;B:Isolated and cultures of Gonyaulax polygramma; C:Isolated cultures Akashiwo sanguinea
图7 2021年11月(2021/11)至2022年3月(2022/03)渤海和黄海海表面流场
Fig. 7 Monthly mean ocean current surface layer of Bo Sea and Yellow Sea from Novmber 2021 (2021/11) to March 2022 (2022/03)
图8 不同位点不同样品的Alpha多样性指数注:不同小写字母表示差异在P<0.05水平显著。
Fig. 8 Alpha diversity indices of different samples from different locationsNote: Different lowercase letters indicate significant difference at P<0.05 level.
图10 2022年3个海区和2019年桑沟湾海区1、2月细菌属的相对丰度注:不同小写字母表示差异在P<0.05水平显著。
Fig. 10 Relative abundance of the bacterial genera in the three locations in 2022 with those in January and February of 2019 in Sungo BayNote: Different lowercase letters indicate significant difference at P<0.05 level.
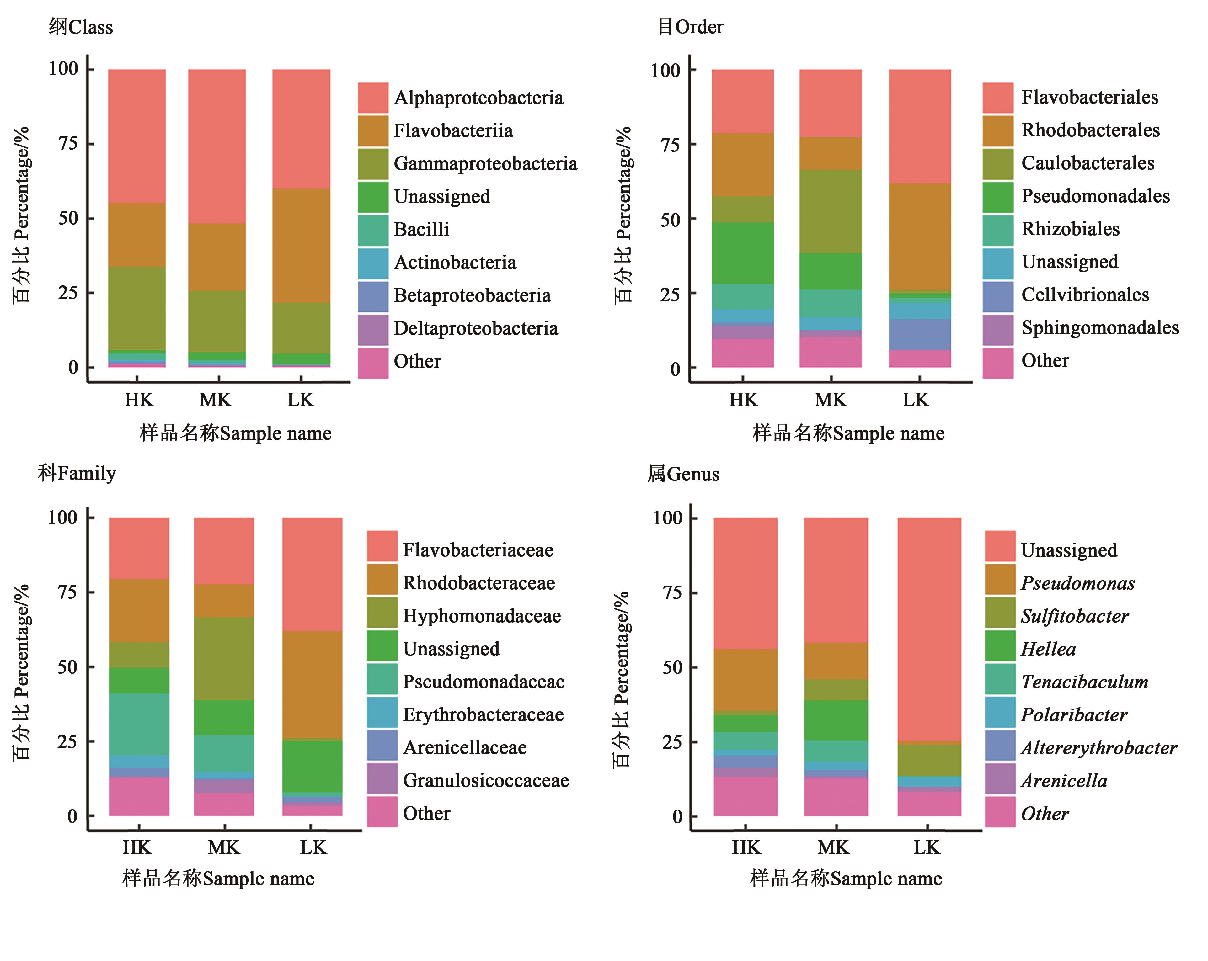
图12 爱莲湾海带的主要附生细菌类群注:样品名称同表2。
Fig. 12 Major epiphytic bacterial taxa associated with the Saccharina japonica in Ailian bayNote: Sample name is the same as Table 2.
图13 2022年爱莲湾和2019年桑沟湾1、2月海带附生细菌属的相对丰度注:不同小写字母表示差异在P<0.05水平显著。
Fig. 13 Relative abundance of the kelp-associated bacterial genera in Ailian bay in 2022 with those in Sungo bay in January and February of 2019Note: Different lowercase letters indicate significant difference at P<0.05 level.
1 | 农业农村部渔业渔政管理局, 全国水产技术推广总站, 中国水产学会. 2021中国渔业统计年鉴[M]. 北京: 中国农业出版社, 2021:1-158. |
Fishery Bureau of Ministry of Agriculture and Rural Affairs of China, National Fisheries Technology Extension Center China Society of Fisheries. China Fishery Statistical Yearbook [M]. Beijing: China Agriculture Press, 2021:1-158. | |
2 | 索如瑛. 海带养殖[M]. 北京: 中国农业出版社, 1988:35-36. |
SUO R Y. Kelp Farming [M]. Beijing: China Agriculture Press, 1988:35-36. | |
3 | 徐恒振,马永安,于涛,等. 海洋监测规范 第3部分:样品采集、贮存与运输: [S]. 北京: 中国标准出版社, 2007. |
4 | 马永安,徐恒振,于涛,等. 海洋监测规范 第4部分:海水分析: [S]. 北京: 中国标准出版社, 2007. |
5 | 江苏省环境监测中心,苏州市环境监测中心站. 水质65种元素的测定 电感耦合等离子体质谱法: [S]. 北京:中国环境出版社, 2014. |
6 | 张秀珍,徐英江,张华威,等. 养殖水体中三嗪类、酰胺类、二硝基甲苯胺类除草剂的测定 气相色谱-质谱法: [S]. 山东: 山东省市场监督管理局, 2020. |
7 | 张华威, 崔艳梅, 王倩, 等. 气相色谱法同时测定海水中13种拟除虫菊酯类杀虫剂的残留量[J]. 中国渔业质量与标准, 2019, 9(3): 45-52. |
ZHANG H W, CUI Y M, WANG Q, et al.. Determination of 13 kinds of pyrethroid insecticides residues in seawater using gas chromatography method [J]. Chin. Fish. Quality Standards, 2019, 9(3): 45-52. | |
8 | 刘爱英, 马元庆, 李斌, 等. 山东三个贝类增养殖区营养盐季节分布及营养盐限制性分析[J]. 海洋环境科学, 2013, 32(1): 54-57. |
LIU A Y, MA Y Q, LI B, et al.. Seasonal distribution of nutrient and nutrient limitation in shellfish culture area of Shandong [J]. Marine Environ. Sci., 2013, 32(1): 54-57. | |
9 | 黄自强,张克,许昆灿,等. 海水水质标准: [S]. 北京: 中国标准出版社, 1997. |
10 | 张锗, 任宏伟, 牟亮, 等. 春季青岛鳌山湾沿岸海水水质状况分析与评价[J]. 海洋环境科学, 2021, 40(4): 515-520. |
ZHANG Z, REN H W, MOU L, et al.. Assessment on the water quality of coastal seawater in the oshan bay, Qingdao in spring [J]. Marine Environ. Sci., 2021, 40(4): 515-520. | |
11 | JUSTIĆ D, RABALAIS N N, TURNER R E. Stoichiometric nutrient balance and origin of coastal eutrophication [J]. Marine Poll. Bull., 1995, 30(1): 41-46. |
12 | PROVASOLI L. Media and prospects for the cultivation of marine algae [C]// Cultures and Collections of Algae. Proceedings of US-Japan Conference, Hakone, September 1966. Japan Society of Plant Physiology, 1968: 63-15. |
13 | SU L, SHAN T F, LI J, et al.. Characterization of the novel hybrid cultivar E25 of Saccharina japonica in the northern farming region of China [J]. J. Appl. Phycol., 2021, 33: 4011-4021. |
14 | 中华人民共和国国家卫生和计划生育委员会,国家食品药品监督管理总局. 食品安全国家标准 食品中多元素的测定: [S]. 北京: 中国标准出版社, 2016. |
15 | 中华人民共和国国家卫生和计划生育委员会,国家食品药品监督管理总局. 食品安全国家标准 食品中碘的测定: [S]. 北京: 中国标准出版社, 2016. |
16 | LENAERS G, MAROTEAUX L, MICHOT B, et al.. Dinoflagellates in evolution. a molecular phylogenetic analysis of large subunit ribosomal RNA [J]. J. Mol. Evol., 1989, 29(1): 40-51. |
17 | YU R C, ZHANG Q C, LIU Y, et al.. The dinoflagellate Alexandrium catenella producing only carbamate toxins may account for the seafood poisonings in Qinhuangdao, China [J/OL]. Harmful Algae, 2021, 103: 101980 [2022-07-30].. |
18 | HE Z, YANG D, WANG Y, et al.. Impact of 4D-Var data assimilation on modelling of the East China Sea dynamics [J/OL]. Ocean Model (Oxf), 2022, 176: 102044 [2022-07-30].. |
19 | WALTERS W, HYDE E R, BERG-LYONS D, et al.. Improved bacterial 16S rRNA gene (V4 and V4-5) and fungal internal transcribed spacer marker gene primers for microbial community surveys [J/OL]. mSystems, 2016, 1(1): e00009-15[2022-07-30].. |
20 | ZHANG J, ZHANG N, LIU Y X, et al.. Root microbiota shift in rice correlates with resident time in the field and developmental stage [J]. Sci. China Life Sci., 2018, 61(6): 613-621. |
21 | 林永水, 周近明, 黎爱韶. 盐田水域多纹膝沟藻赤潮发生过程的生态学研究[J]. 热带海洋, 1993(1): 46-50, 107. |
LIN Y S, ZHOU J M, LI A S. An ecological study on the occurrence of the tide of Gonyaulax Polygramma in Yantian waters, Dapeng Bay [J]. J. Phys. Oceanogr., 1993(1): 46-50, 107. | |
22 | 潘雪峰, 张鹰, 刘吉堂. 海州湾多纹膝沟藻赤潮的动态相关分析[J]. 海洋环境科学, 2007,26(6): 523-526. |
PAN X F, ZHANG Y, LIU J T. Dynamic and correlative analysis of the Gonyaulax Polygramma red tide in Haizhou Gulf [J]. Mar. Environ. Res., 2007,26(6): 523-526. | |
23 | 周健, 王玮, 吴志宏, 等. 山东沿海赤潮灾害基本特征及防控对策建议[J]. 海洋环境科学, 2020, 39(4): 537-543. |
ZHOU J, WANG W, WU Z H, et al.. The basic characteristics and prevention countermeasures of red tide in Shandong coast waters [J]. Mar. Environ. Res., 2020, 39(4): 537-543. | |
24 | 蔡霞. 大型藻类对氮的吸收利用模型研究[D]. 舟山:浙江海洋大学, 2018. |
CAI X. Modelling nitrogen absorption and utilization of Laminaria japonica [D]. Zhoushan:Zhejiang Ocean University, 2018. | |
25 | 谢琳萍, 蒲新明, 孙霞, 等. 荣成湾营养盐的时空分布特征及其影响因素分析[J]. 海洋通报, 2013, 32(1): 19-27. |
XIE L P, PU X M, SUN X, et al.. Analysis on the temporal and spatial distribution of nutrients and the influence factors in Rongcheng Bay [J]. Marin. Sci. Bull., 2013, 32(1): 19-27. | |
26 | 徐英江, 刘慧慧, 任传博, 等. 莱州湾海域表层海水中三嗪类除草剂的分布特征[J]. 渔业科学进展, 2014, 35(3): 34-39. |
XU Y J, LIU H H, REN C B, et al.. Distributions of the tiazine hrbicides in the srface sawater of Laizhou Bay [J]. Prog. Fish. Sci., 2014, 35(3): 34-39. | |
27 | 何培民, 张泽宇, 张学成, 等. 海藻栽培学[M]. 北京: 科学出版社, 2018:46-49. |
HE P M, ZHANG Z Y, ZHANG X C, et al.. Seaweed Cultivation [M]. Beijing: Science Press, 2018:46-49. | |
28 | 曾呈奎, 吴超元. 海带养殖学[M]. 北京: 科学出版社, 1962:173-174. |
ZENG C K, WU C Y. The Kelp Cultivation [M]. Beijing: Science Press, 1962:173-174. | |
29 | 刘敏, 侯立军, 许世远, 等. 长江河口潮滩表层沉积物对磷酸盐的吸附特征[J]. 地理学报, 2002,57(4): 397-406. |
LIU M, HOU L J, XU S Y, et al.. Phosphate adsorption characteristics of tidal flat surface sediments and its environmental effect from the Yangtz estuary [J]. Acta. Geogr. Sin., 2002,57(4): 397-406. | |
30 | 喻龙, 马兆虎, 郝彦菊, 等. 四十里湾2012年一次血红哈卡藻赤潮的调查分析[J]. 海洋科学进展, 2014, 32(1): 84-91. |
YU L, MA Z H, HAO Y J, et al.. Analysis of the red tide caused by Akashiwo sanguinea in Sishili Bay, 2012 [J]. Adv. Marin. Biol., 2014, 32(1): 84-91. | |
31 | 陈月红, 石晓勇, 韩秀荣, 等. 闽浙近岸海域赤潮暴发前后海水营养盐特征分析[J]. 海洋通报, 2015, 34(5): 568-576. |
CHEN Y H, SHI X Y, HAN X R, et al.. Characteristics of seawater nutrients during the occurrence of harmful algal blooms in Fujian and Zhejiang coastal areas [J]. Marin. Sci. Bull., 2015, 34(5): 568-576. | |
32 | SUN F, WANG C, WANG Y, et al.. Diatom red tide significantly drive the changes of microbiome in mariculture ecosystem [J/OL]. Aquaculture, 2020, 520: 734742[2022-07-30]. . |
33 | TEELING H, FUCHS B M, BECHER D, et al.. Substrate-controlled succession of marine bacterioplankton populations induced by a phytoplankton bloom [J]. Science, 2012, 336(6081): 608-611. |
34 | VOGET S, WEMHEUER B, BRINKHOFF T, et al.. Adaptation of an abundant roseobacter RCA organism to pelagic systems revealed by genomic and transcriptomic analyses [J]. Isme. J., 2015, 9(2): 371-384. |
35 | LI Y, WEI J, YANG C, et al.. Tenacibaculum xiamenense sp. nov., an algicidal bacterium isolated from coastal seawater [J]. Int. J. Syst. Evol. Micr., 2013, 63( 9): 3481-3486. |
36 | XU Z X, YU P, MU D S, et al.. Tenacibaculum agarivorans sp. nov., an agar-degrading bacterium isolated from marine alga Porphyra yezoensis Ueda [J]. Int. J. Syst. Evol. Micr., 2017, 67(12): 5139-5143. |
37 | XU S, HE C, SONG S, et al.. Spatiotemporal dynamics of marine microbial communities following a Phaeocystis bloom: biogeography and co-occurrence patterns [J]. Environ. Microbiol. Rep., 2021, 13(3): 294-308. |
38 | PU N, WANG M R, LI Z J. Characterization of polyhydroxyalkanoate synthases from the marine bacterium Neptunomonas concharum JCM17730 [J]. J. Biotechnol., 2020, 319: 69-73. |
39 | DIÉGUEZ A L, PICHON P, BALBOA S, et al.. Complete characterization of new isolates of Neptunomonas phycophila leads to emend its description and opens possibilities of biotechnological applications [J/OL]. MicrobiologyOpen, 2017, 6(6): e00519[2022-07-30]. . |
40 | MAHAJAN S, RAMYA T N C. Cellulophaga algicola alginate lyase inhibits biofilm formation of a clinical Pseudomonas aeruginosa strain MCC 2081 [J]. IUBMB Life, 2021, 73(2): 444-462. |
41 | HOWLADER M M, MOLZ J, SACHSE N, et al.. Optimization of fermentation conditions for carrageenase production by cellulophaga species: a comparative study [J/OL]. Biology, 2021, 10(10): 971[2022-07-30]. . |
42 | WANG Y, YU W, HAN F. Expression and characterization of a cold-adapted, thermotolerant and denaturant-stable GH5 endoglucanase Celal_2753 that withstands boiling from the psychrophilic bacterium Cellulophaga algicola IC166T [J]. Biotechnol. Letters, 2016, 38(2): 285-290. |
43 | DOGS M, WEMHEUER B, WOLTER L, et al.. Rhodobacteraceae on the marine brown alga Fucus spiralis are abundant and show physiological adaptation to an epiphytic lifestyle [J]. Syst. Appl. Microbiol., 2017, 40(6): 370-382. |
44 | FERNÁNDEZ-GÓMEZ B, RICHTER M, SCHÜLER M, et al.. Ecology of marine Bacteroidetes: a comparative genomics approach [J]. Isme. J., 2013, 7(5): 1026-1037. |
45 | LEI X, LI Y, CHEN Z, et al.. Altererythrobacter xiamenensis sp. nov., an algicidal bacterium isolated from red tide seawater [J]. Int. J. Syst. Evol. Micr., 2014, 64( 2): 631-637. |
46 | EGAN S, GARDINER M. Microbial dysbiosis: rethinking disease in marine ecosystems [J/OL]. Front. Microbiol., 2016, 7:991[2022-07-30].. |
47 | EGAN S, FERNANDES N D, KUMAR V, et al.. Bacterial pathogens, virulence mechanism and host defence in marine macroalgae [J]. Environ. Microbiol., 2014, 16(4): 925-938. |
[1] | 陈沛良, 徐民俊. 高压静电场及其在水产上的研究和应用进展[J]. 中国农业科技导报, 2024, 26(2): 13-19. |
[2] | 孙锐康, 付京花, 徐民俊. 鱼菜共生复合系统研究进展[J]. 中国农业科技导报, 2023, 25(9): 227-233. |
[3] | 李琦, 张树林, 张达娟, 贾滢暄, 王泽斌. 响应面法改良牟氏角毛藻培养基[J]. 中国农业科技导报, 2023, 25(8): 225-233. |
[4] | 李雪, 刘子飞, 赵明军, 徐乐俊, 孙慧武. 我国水产养殖与捕捞业“双碳”目标及实现路径[J]. 中国农业科技导报, 2022, 24(11): 13-26. |
[5] | 蔡振鑫, 刘春红, . 基于神经网络的多特征结合法鲫鱼质量估计[J]. 中国农业科技导报, 2021, 23(12): 109-115. |
[6] | 陈澜1,2,杨信廷1,2,孙传恒2,王以忠1,徐大明2,周超2*. 基于自适应模糊神经网络的鱼类投喂预测方法研究[J]. 中国农业科技导报, 2020, 22(2): 91-100. |
[7] | 刘福利1,牛建峰2,隋正红3,单体锋2,王铁杆4,唐贤明5,梁洲瑞1,逄少军2*. 中国经济海藻养殖技术概况与展望[J]. 中国农业科技导报, 2020, 22(12): 1-9. |
[8] | 门丽娜1,2,王利军1,张宇宏3,曹悦1,韩有志1,2*,张志伟1,2*. 人工沙棘林沙棘木蠹蛾灾害预警指标体系的构建与应用[J]. 中国农业科技导报, 2019, 21(7): 102-111. |
[9] | 高伟1,高磊2,周勇3,王利鹤1,牛文学1,赵永来1,刘文枝3*. 基于ZigBee的水产养殖水质控制管理系统设计[J]. 中国农业科技导报, 2018, 20(7): 74-82. |
[10] | 苏丽1,2,逄少军1*,高素芹1. 杂交海带新品系B013孢子囊形成规律初探[J]. 中国农业科技导报, 2017, 19(2): 119-123. |
[11] | 李新宇1,孜力汗1,2*,张宝会1,杨闯1,徐永平1,2,李淑英2. 噬菌体在水产养殖中应用的研究进展[J]. 中国农业科技导报, 2016, 18(5): 187-192. |
[12] | 李静,逄少军*,单体锋,高素芹. 基于海带孤雌生殖研究海带夏苗制冷水工艺中的品种混杂问题[J]. 中国农业科技导报, 2016, 18(4): 163-167. |
[13] | 李静,逄少军*,苏丽,高素芹. 白色维尼纶和褐色棕绳培育海带夏苗的效果分析[J]. 中国农业科技导报, 2015, 17(6): 118-124. |
[14] | 张骞月1,赵婉婉1,吴伟1,2*. 水产养殖环境中抗生素抗性基因污染及其研究进展[J]. 中国农业科技导报, 2015, 17(6): 125-134. |
[15] | 李丹,徐瑞永*,孙昭宁,钟汝杰. 渔业生态环境研究进展[J]. , 2015, 17(1): 153-159. |
阅读次数 | ||||||
全文 |
|
|||||
摘要 |
|
|||||