中国农业科技导报 ›› 2023, Vol. 25 ›› Issue (4): 86-99.DOI: 10.13304/j.nykjdb.2022.0314
收稿日期:
2022-04-18
接受日期:
2022-06-10
出版日期:
2023-04-01
发布日期:
2023-06-26
通讯作者:
郝燕,王玉安
作者简介:
张彦芳E-mail:3485342863@qq.com
基金资助:
Yanfang ZHANG1(), Yanfang ZHU2, Yan HAO2(
), Yu’an WANG1,2(
)
Received:
2022-04-18
Accepted:
2022-06-10
Online:
2023-04-01
Published:
2023-06-26
Contact:
Yan HAO,Yu’an WANG
摘要:
酒石酸是葡萄酒酸度的主要贡献者,因河西走廊酿酒葡萄产区升温快、有效积温高且无霜期短,使得葡萄果实中酒石酸降解过快,为探究酒石酸的主要降解时期,在甘肃武威以‘贵人香’为试验材料,分析酿酒葡萄种植基地的温度、湿度、光照、太阳辐射、地温等的变化对葡萄浆果速长期-成熟期果实中酒石酸含量变化的影响。结果表明,‘贵人香’葡萄在浆果速长期-转色期-成熟期的酒石酸含量先降低后缓慢上升,在转色期其含量急剧降低,从14.67降至6.59 mg·g-1;相关性分析表明,日照日累计时数、日平均温度、日最低温度、日平均5 cm地温、日平均10 cm地温、日平均15 cm地温、日平均20 cm地温是影响葡萄果实中酒石酸含量的关键因子。‘贵人香’果实中酒石酸的昼夜变化均呈先升高后降低的变化趋势,在果实速长期和转色期,1个昼夜中酒石酸含量在13∶00达峰值,在果实成熟期,其含量在21∶00达峰值,在果实昼夜生长发育时,酒石酸的降解时间主要在13∶00至次日凌晨1∶00,相关性分析表明,酒石酸昼夜变化与空气温度、日平均5 cm地温、日平均10 cm地温、日平均15 cm地温、日平均20 cm地温、日平均40 cm地温、40 cm土壤湿度呈极显著正相关。综上,‘贵人香’葡萄果实中酒石酸的降解主要发生在果实转色期,且1个昼夜内降解主要发生在下午,对酒石酸含量直接作用较大的是日照日累计数、日平均温度、日最低温度和5—40 cm地温。结果可为减缓酒石酸的降解提供一定的理论基础。
中图分类号:
张彦芳, 朱燕芳, 郝燕, 王玉安. 热环境对河西走廊酿酒葡萄‘贵人香’酒石酸降解的影响[J]. 中国农业科技导报, 2023, 25(4): 86-99.
Yanfang ZHANG, Yanfang ZHU, Yan HAO, Yu’an WANG. Effect of Thermal Environment on Tartaric Acid Degradation of ‘Italian Riesling’ Wine Grape in Hexi Corridor[J]. Journal of Agricultural Science and Technology, 2023, 25(4): 86-99.
图 2 ‘贵人香’葡萄浆果转色期生长环境空气温度和湿度的变化
Fig. 2 Changes of air temperature and humidity in the growing environment of ‘Italian Riesling’ grape during berry color transition
气象因子 Meteorological factors | 果实速长期Rapid-growing period | 果实转色期Colour-changed period | 果实成熟期Fruit maturity period | ||||||
---|---|---|---|---|---|---|---|---|---|
平均值 Average value | 最大值 Maximum value | 最大值时间Maximum time(m/d hours) | 平均值 Average value | 最大值 Maximum value | 最大值时间Maximum time(m/d hours) | 平均值 Average value | 最大值 Maximum value | 最大值时间Maximum time(m/d hours) | |
日照小时累计 Accumulated sunshine hours/min | 0.51 | 1 | 7/1 7∶00 | 0.48 | 1 | 8/1 8∶00 | 0.40 | 1 | 9/1 8∶00 |
日照日累计 Daily sunshine accumulation/h | 30.39 | 60 | 7/1 8∶00 | 26.90 | 60 | 8/1 9∶00 | 24.29 | 60 | 9/1 9∶00 |
总辐射 Total radiation/(MJ·m-2) | 268.91 | 1 111 | 7/14 16∶00 | 220.74 | 1 088 | 8/22 14∶00 | 189.00 | 1 087 | 9/4 12∶00 |
总辐射极大值 Total radiation maximum/(MJ·m-2) | 356.27 | 1 280 | 7/8 13∶00 | 302.38 | 1 238 | 8/22 14∶00 | 244.69 | 1 087 | 9/4 12∶00 |
二氧化碳含量 Carbon dioxide content/% | 1 616.17 | 3 290 | 7/25 10∶00 | 2 391.51 | 3 733 | 8/30 7∶00 | 2 333.11 | 3 861 | 9/5 7∶00 |
最高二氧化碳含量 Maximum carbon dioxide content/% | 1 649.75 | 3 395 | 7/25 10∶00 | 2 449.68 | 3 769 | 8/30 8∶00 | 2 393.50 | 3 998 | 9/5 7∶00 |
最低二氧化碳含量 Minimum carbon dioxide content/% | 1 584.84 | 3 071 | 7/25 10∶00 | 2 337.10 | 3 358 | 8/3 4∶00 | 2 278.45 | 3 702 | 9/5 7∶00 |
表1 ‘贵人香’葡萄浆果速长期-成熟期生长环境月气象因子的变化
Table 1 Changes of month meteorological factors of ‘Italian Riesling’ grape between rapid-growing and fruit maturity period
气象因子 Meteorological factors | 果实速长期Rapid-growing period | 果实转色期Colour-changed period | 果实成熟期Fruit maturity period | ||||||
---|---|---|---|---|---|---|---|---|---|
平均值 Average value | 最大值 Maximum value | 最大值时间Maximum time(m/d hours) | 平均值 Average value | 最大值 Maximum value | 最大值时间Maximum time(m/d hours) | 平均值 Average value | 最大值 Maximum value | 最大值时间Maximum time(m/d hours) | |
日照小时累计 Accumulated sunshine hours/min | 0.51 | 1 | 7/1 7∶00 | 0.48 | 1 | 8/1 8∶00 | 0.40 | 1 | 9/1 8∶00 |
日照日累计 Daily sunshine accumulation/h | 30.39 | 60 | 7/1 8∶00 | 26.90 | 60 | 8/1 9∶00 | 24.29 | 60 | 9/1 9∶00 |
总辐射 Total radiation/(MJ·m-2) | 268.91 | 1 111 | 7/14 16∶00 | 220.74 | 1 088 | 8/22 14∶00 | 189.00 | 1 087 | 9/4 12∶00 |
总辐射极大值 Total radiation maximum/(MJ·m-2) | 356.27 | 1 280 | 7/8 13∶00 | 302.38 | 1 238 | 8/22 14∶00 | 244.69 | 1 087 | 9/4 12∶00 |
二氧化碳含量 Carbon dioxide content/% | 1 616.17 | 3 290 | 7/25 10∶00 | 2 391.51 | 3 733 | 8/30 7∶00 | 2 333.11 | 3 861 | 9/5 7∶00 |
最高二氧化碳含量 Maximum carbon dioxide content/% | 1 649.75 | 3 395 | 7/25 10∶00 | 2 449.68 | 3 769 | 8/30 8∶00 | 2 393.50 | 3 998 | 9/5 7∶00 |
最低二氧化碳含量 Minimum carbon dioxide content/% | 1 584.84 | 3 071 | 7/25 10∶00 | 2 337.10 | 3 358 | 8/3 4∶00 | 2 278.45 | 3 702 | 9/5 7∶00 |
日期 Date(m-d) | 风速 Wind speed/ (m·s-1) | 日照小时累计 Accumulated sunshine hours/min | 日照日累计 Daily sunshine accumulation/h | 总辐射 Total radiation/(MJ·m-2) | 二氧化碳含量 Carbon dioxide content/% |
---|---|---|---|---|---|
7-1 | 16.21 | 0.46 | 28.67 | 235.67 | 1 102.92 |
7-5 | 16.25 | 0.53 | 31.88 | 309.23 | 1 133.40 |
7-10 | 13.20 | 0.53 | 31.53 | 289.74 | 1 173.18 |
7-15 | 13.60 | 0.51 | 30.07 | 285.40 | 1 267.64 |
7-20 | 15.36 | 0.54 | 31.88 | 291.33 | 1 650.48 |
7-25 | 15.66 | 0.48 | 28.85 | 222.62 | 2 234.31 |
7-30 | 12.21 | 0.49 | 28.97 | 228.16 | 2 148.84 |
7-31 | 17.13 | 0.51 | 29.50 | 275.67 | 2 114.79 |
8-1 | 11.67 | 0.50 | 29.54 | 270.88 | 2 166.96 |
8-5 | 11.85 | 0.47 | 28.16 | 205.94 | 2 381.68 |
8-10 | 14.01 | 0.45 | 27.32 | 210.16 | 2 286.36 |
8-15 | 10.95 | 0.48 | 28.32 | 232.77 | 2 308.48 |
8-20 | 16.88 | 0.45 | 26.57 | 230.33 | 2 459.46 |
8-25 | 13.87 | 0.41 | 24.81 | 211.88 | 2 400.96 |
8-30 | 11.62 | 0.42 | 25.79 | 211.05 | 2 504.90 |
8-31 | 9.33 | 0.46 | 27.83 | 267.33 | 2 642.25 |
9-1 | 9.63 | 0.46 | 25.83 | 290.25 | 2 372.33 |
9-4 | 12.07 | 0.40 | 23.26 | 147.69 | 2 487.01 |
9-14 | 10.57 | 0.38 | 24.85 | 134.47 | 2 625.72 |
9-17 | 12.99 | 0.38 | 23.67 | 185.68 | 2 458.79 |
9-20 | 15.29 | 0.40 | 23.51 | 168.72 | 2 091.96 |
9-23 | 16.19 | 0.40 | 24.75 | 218.53 | 2 156.79 |
9-26 | 15.14 | 0.40 | 24.06 | 194.22 | 2 366.25 |
9-30 | 8.88 | 0.43 | 25.22 | 215.40 | 2 274.94 |
表2 ‘贵人香’葡萄浆果速长期-成熟期生长环境气象因子日均值的变化
Table 2 Changes of daily mean of meteorological factors of ‘Italian Riesling’ grape between rapid-growing and fruit maturity period
日期 Date(m-d) | 风速 Wind speed/ (m·s-1) | 日照小时累计 Accumulated sunshine hours/min | 日照日累计 Daily sunshine accumulation/h | 总辐射 Total radiation/(MJ·m-2) | 二氧化碳含量 Carbon dioxide content/% |
---|---|---|---|---|---|
7-1 | 16.21 | 0.46 | 28.67 | 235.67 | 1 102.92 |
7-5 | 16.25 | 0.53 | 31.88 | 309.23 | 1 133.40 |
7-10 | 13.20 | 0.53 | 31.53 | 289.74 | 1 173.18 |
7-15 | 13.60 | 0.51 | 30.07 | 285.40 | 1 267.64 |
7-20 | 15.36 | 0.54 | 31.88 | 291.33 | 1 650.48 |
7-25 | 15.66 | 0.48 | 28.85 | 222.62 | 2 234.31 |
7-30 | 12.21 | 0.49 | 28.97 | 228.16 | 2 148.84 |
7-31 | 17.13 | 0.51 | 29.50 | 275.67 | 2 114.79 |
8-1 | 11.67 | 0.50 | 29.54 | 270.88 | 2 166.96 |
8-5 | 11.85 | 0.47 | 28.16 | 205.94 | 2 381.68 |
8-10 | 14.01 | 0.45 | 27.32 | 210.16 | 2 286.36 |
8-15 | 10.95 | 0.48 | 28.32 | 232.77 | 2 308.48 |
8-20 | 16.88 | 0.45 | 26.57 | 230.33 | 2 459.46 |
8-25 | 13.87 | 0.41 | 24.81 | 211.88 | 2 400.96 |
8-30 | 11.62 | 0.42 | 25.79 | 211.05 | 2 504.90 |
8-31 | 9.33 | 0.46 | 27.83 | 267.33 | 2 642.25 |
9-1 | 9.63 | 0.46 | 25.83 | 290.25 | 2 372.33 |
9-4 | 12.07 | 0.40 | 23.26 | 147.69 | 2 487.01 |
9-14 | 10.57 | 0.38 | 24.85 | 134.47 | 2 625.72 |
9-17 | 12.99 | 0.38 | 23.67 | 185.68 | 2 458.79 |
9-20 | 15.29 | 0.40 | 23.51 | 168.72 | 2 091.96 |
9-23 | 16.19 | 0.40 | 24.75 | 218.53 | 2 156.79 |
9-26 | 15.14 | 0.40 | 24.06 | 194.22 | 2 366.25 |
9-30 | 8.88 | 0.43 | 25.22 | 215.40 | 2 274.94 |
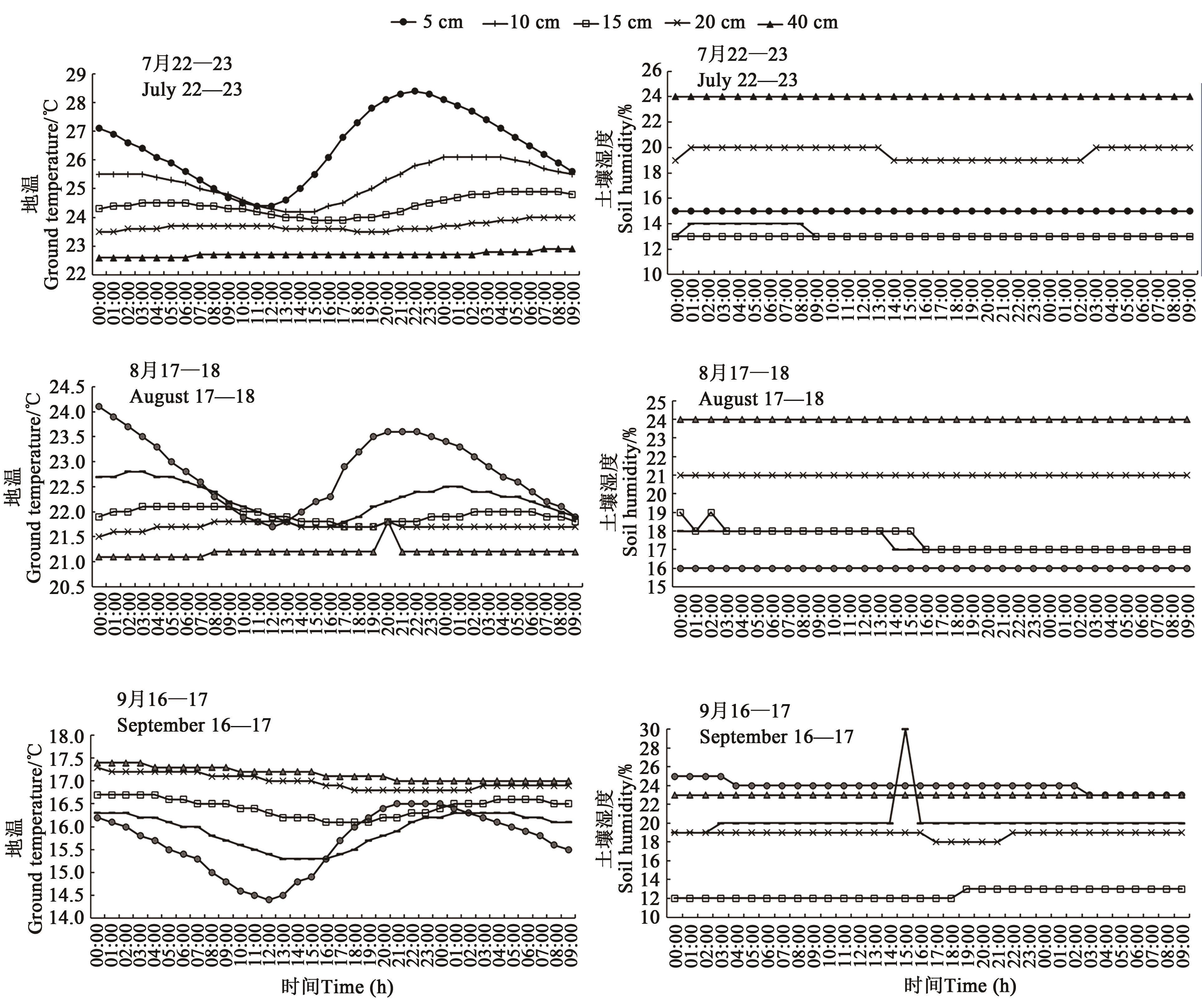
图4 ‘贵人香’葡萄浆果速长期-成熟期不同深度地温、土壤湿度变化特征
Fig. 4 Variation characteristics of ground temperature and soil moisture at different depths of ‘Italian Riesling’ grape between rapid-growing and fruit maturity period
图 5 ‘贵人香’葡萄浆果速长期-成熟期果实酒石酸含量变化注:不同小写字母表示不同时期差异在P<0.05水平显著。
Fig. 5 Variation of tartaric acid content of ‘Italian Riesling’ grape between rapid-growing and fruit maturity periodNote: Different lowercase letters indicate significant differences in different periods at P<0.05 level.
图6 ‘贵人香’葡萄浆果速长期-成熟期果实酒石酸含量昼夜变化特征注:不同小写字母表示同一天不同时间点差异在 P<0.05水平显著。
Fig. 6 Diurnal variation of tartaric acid content of ‘Italian Riesling’ grape between rapid-growing and fruit maturity periodNote: Different lowercase letters indicate significant differences at different time points in same day at P<0.05 level.
图7 ‘贵人香’葡萄浆果速长期-成熟期生长环境气象因子昼夜变化特征
Fig. 7 Diurnal variation of meteorological factors of ‘Italian Riesling’ grape between rapid-growing and fruit maturity period
图 8 ‘贵人香’葡萄浆果速长期-成熟期生长环境土壤温湿度的昼夜变化特征
Fig. 8 Diurnal variation of soil temperature and humidity of ‘Italian Riesling’ grape between rapid-growing and fruit maturity period
气象因子 Meteorological factors | 酒石酸含量 Tartaric acid content |
---|---|
日平均温度 Daily average temperature | 0.726* |
日最高温度 Daily maximum temperature | 0.560 |
日最低温度 Daily minimum temperature | 0.836* |
日平均湿度 Daily average humidity | -0.821* |
昼夜温差 Temperature difference between day and night | -0.486 |
日最高湿度 Daily maximum humidity | -0.791* |
日最低湿度 Daily minimum humidity | -0.662 |
日平均总辐射 Daily average total radiation | -0.007 |
日平均二氧化碳含量 Daily average carbon dioxide content | -0.650 |
日照日累计时数 Accumulated sunshine hours per day | 0.954** |
日平均5 cm地温 Daily average ground temperature of 5 cm | 0.748* |
日平均10 cm地温 Daily average ground temperature of 10 cm | 0.741* |
日平均15 cm地温 Daily average ground temperature of 15 cm | 0.731* |
日平均20 cm地温 Daily average ground temperature of 20 cm | 0.708* |
日平均40 cm地温 Daily average ground temperature of 40 cm | 0.661 |
日平均5 cm土壤湿度 Daily average 5 cm soil moisture | -0.492 |
日平均10 cm土壤湿度 Daily average 10 cm soil moisture | -0.504 |
日平均15 cm土壤湿度 Daily average 15 cm soil moisture | -0.081 |
日平均20 cm土壤湿度 Daily average 20 cm soil moisture | 0.393 |
日平均40 cm土壤湿度 Daily average 40 cm soil moisture | 0.663 |
表 3 ‘贵人香’葡萄浆果速长期-成熟期果实酒石酸与气象因子、土壤温湿度的相关系数
Table 3 Correlation coefficients between tartaric acid of ‘Italian Riesling’ grape between rapid-growing and fruit maturity period and meteorological factors, soil temperature and humidity value
气象因子 Meteorological factors | 酒石酸含量 Tartaric acid content |
---|---|
日平均温度 Daily average temperature | 0.726* |
日最高温度 Daily maximum temperature | 0.560 |
日最低温度 Daily minimum temperature | 0.836* |
日平均湿度 Daily average humidity | -0.821* |
昼夜温差 Temperature difference between day and night | -0.486 |
日最高湿度 Daily maximum humidity | -0.791* |
日最低湿度 Daily minimum humidity | -0.662 |
日平均总辐射 Daily average total radiation | -0.007 |
日平均二氧化碳含量 Daily average carbon dioxide content | -0.650 |
日照日累计时数 Accumulated sunshine hours per day | 0.954** |
日平均5 cm地温 Daily average ground temperature of 5 cm | 0.748* |
日平均10 cm地温 Daily average ground temperature of 10 cm | 0.741* |
日平均15 cm地温 Daily average ground temperature of 15 cm | 0.731* |
日平均20 cm地温 Daily average ground temperature of 20 cm | 0.708* |
日平均40 cm地温 Daily average ground temperature of 40 cm | 0.661 |
日平均5 cm土壤湿度 Daily average 5 cm soil moisture | -0.492 |
日平均10 cm土壤湿度 Daily average 10 cm soil moisture | -0.504 |
日平均15 cm土壤湿度 Daily average 15 cm soil moisture | -0.081 |
日平均20 cm土壤湿度 Daily average 20 cm soil moisture | 0.393 |
日平均40 cm土壤湿度 Daily average 40 cm soil moisture | 0.663 |
指标Index | 酒石酸含量 Tartaric acid content | |
---|---|---|
气象因子 Meteorological factors | 空气温度 Air temperature | 0.724** |
空气湿度 Air humidity | -0.615** | |
总辐射 Total radiation | 0.389 | |
二氧化碳含量 Carbon dioxide | -0.422 | |
地温 Ground temperature | 5 cm地温 5 cm ground temperature | 0.798** |
10 cm地温 10cm ground temperature | 0.807** | |
15 cm地温 15 cm ground temperature | 0.810** | |
20 cm地温 20 cm ground temperature | 0.806** | |
40 cm地温 40 cm ground temperature | 0.791** | |
土壤湿度 Soil moisture | 5 cm土壤湿度 5 cm soil moisture | -0.691** |
10 cm土壤湿度 10 cm soil moisture | -0.910** | |
15 cm土壤湿度 15 cm soil moisture | -0.205 | |
20 cm土壤湿度 20 cm soil moisture | 0.045 | |
40 cm土壤湿度 40 cm soil moisture | 0.626** |
表4 ‘贵人香’葡萄果实酒石酸昼夜值与气象因子、土壤温湿度昼夜值的相关系数
Table 4 Correlation coefficients between tartaric acid diurnal value of ‘Italian Riesling’ grape and meteorological factors, soil temperature and humidity diurnal value
指标Index | 酒石酸含量 Tartaric acid content | |
---|---|---|
气象因子 Meteorological factors | 空气温度 Air temperature | 0.724** |
空气湿度 Air humidity | -0.615** | |
总辐射 Total radiation | 0.389 | |
二氧化碳含量 Carbon dioxide | -0.422 | |
地温 Ground temperature | 5 cm地温 5 cm ground temperature | 0.798** |
10 cm地温 10cm ground temperature | 0.807** | |
15 cm地温 15 cm ground temperature | 0.810** | |
20 cm地温 20 cm ground temperature | 0.806** | |
40 cm地温 40 cm ground temperature | 0.791** | |
土壤湿度 Soil moisture | 5 cm土壤湿度 5 cm soil moisture | -0.691** |
10 cm土壤湿度 10 cm soil moisture | -0.910** | |
15 cm土壤湿度 15 cm soil moisture | -0.205 | |
20 cm土壤湿度 20 cm soil moisture | 0.045 | |
40 cm土壤湿度 40 cm soil moisture | 0.626** |
1 | 白耀栋,郝燕,马麒龙,等.河西走廊冰酒葡萄品种贵人香优质稳产栽培技术[J].甘肃农业科技,2014(4):66-68. |
BAI Y D, HAO Y, MA Q L, et al.. Cultivation techniques of Italian Riesling grape variety with high quality and stable yield in Hexi corridor [J]. Gansu Agric. Sci. Technol., 2014(4): 66-68. | |
2 | 郝燕,苏静,白耀栋,等.摘叶对不同架形‘贵人香’和‘霞多丽’果实品质的影响[J].西北林学院学报,2018,33(6):133-137. |
HAO Y, SU J, BAI Y D,et al.. Effects of leaf picking on fruit quality of ‘Italian Riesling’ and ‘Chardonnay’ with different frame shapes [J]. J. Northwest For. Univ., 2018,33 (6): 133-137. | |
3 | CHARNEY J G,夏爽,李耀辉.Sahel沙漠地区干旱的动力学机理[J].干旱气象,2018,36(4):709-714. |
CHARNEY J G, XIA S, LI Y H. Dynamic mechanism of drought in Sahel desert [J]. Drought Meteorol., 2018,36(4): 709-714. | |
4 | 李文超,孙盼,王振平.不同土壤条件对酿酒葡萄生理及果实品质的影响[J].果树学报,2012,29(5):837-842. |
LI W C, SUN P, WANG Z P. Effects of different soil conditions on physiology and fruit quality of wine grape [J]. J. Fruit Sci., 2012,29(5): 837-842. | |
5 | 韩业慧,唐柯,席艳茹,等.不同产区贵人香葡萄的品质分析[J].中国酿造,2015,34(12):10-13. |
HAN Y H, TANG K, XI Y R, et al.. Quality analysis of Italian Riesling grape in different producing areas [J]. Chin. Brewing., 2015,34(12): 10-13. | |
6 | RIBEREAU-GAYON P, DUBOURDIEU D, DONECHE B, et al.. Handbook of Enology Volume 1. The Microbiology of Wine and Vinifications, 2nd [M]. The Atrium, Southern Gate,Chichester: John Wiley & Sons, Ltd., 2006:1-497. |
7 | BAYDAR N G. Organic acid, tocopherol, and phenolic compositions of some Turkish grape cultivars [J]. Chem. Nat. Compd., 2006, 42(2):156-159. |
8 | DARTIGUENAVE C, JEANDET P, MAUJEAN A. Study of the contribution of the major organic acids of wine to the buffering capacity of wine in model solutions [J]. Am. J. Enol. Vitic., 2000, 51(4): 352-356. |
9 | DEBOLT S, COOK D, FORD C. l-tartaric acid synthesis from vitamin C in higher plants [J]. Proc. Natl. Acad. Sci. USA, 2006, 103(14):5608-5613. |
10 | BOULTON R. The relationship between total acidity,titratable acidity and pH in grape tissue [J]. Am. J. Enol. Vitic., 1980, 19 (2):113-120. |
11 | 问亚琴,张艳芳,潘秋红.葡萄果实有机酸的研究进展[J].海南大学学报(自然科学版),2009,27(3):302-307. |
WEN Y Q, ZHANG Y F, PAN Q H. Research progress of organic acids in grape fruit [J]. J. Hainan Univ. (Nat. Sci.), 2009,27 (3): 302-307 . | |
12 | 佚名.RIGOLL-3000系列高效液相色谱系统[J].实验与分析,2012(1):32. |
YI M. RIGOLL-3000 series high performance liquid chromatography system [J]. Exp. Anal., 2012 (1): 32. | |
13 | 张茜茹.山西夏县酿酒葡萄种植气候适宜性分析[J].山西农业科学,2021,49(10):1223-1228. |
ZHANG X R. Climatic suitability analysis of wine grape planting in Xia county, Shanxi province [J]. Shanxi Agric. Sci., 2021,49 (10): 1223-1228. | |
14 | 毛如志,张国涛,邵建辉,等.低海拔和高海拔产区气象因子对'美乐'葡萄浆果品质和代谢组的影响[J].中国生态农业学报,2016,24(4):506-516. |
MAO R Z, ZHANG G T, SHAO J H, et al.. Effects of meteorological factors in low altitude and high altitude production areas on berry quality and metabolome of ‘Merlot’ grape [J]. Chin. J. Ecol. Agric., 2016,24 (4): 506-516. | |
15 | 李红英,张晓煜,王静,等.中国北方酿酒葡萄美乐优质生态区划研究[J].中外葡萄与葡萄酒,2014,5(5):22-26. |
LI H Y, ZHANG X Y, WANG J, et al.. Study on high quality ecological regionalization of wine grape Merlot in northern China [J]. Chin. Foreign Grapes Wine, 2014,5 (5): 22-26. | |
16 | BOUMENDJEL A, MARIETTE A M, BRESSON-RIVAL D, et al.. Hesperitin esters: highly stable flavanones with both free radical scavenging and anti-elastase activities [J]. Pharm. Biol., 2003, 41(7): 546-549. |
17 | BINDON K, MYBURGH P, OBERHOLSTER A, et al.. Response of grape and wine phenolic composition in Vitis vinifera L. cv. Merlot to variation in grapevine water status [J]. South Af. J. Enol. Vitic., 2011, 32(1): 71-88. |
18 | 王芳,李苒苒,刘莹,等.天津地区气候条件与酿酒葡萄品种的选择[J].天津农业科学,2016,22(3):131-135. |
WANG F, LI R R, LIU Y, et al.. Climatic conditions and selection of wine grape varieties in Tianjin [J]. Tianjin Agric. Sci., 2016,22 (3): 131-135. | |
19 | 郭金强,王肖娟,危常州,等.坐果-成熟期光温因子对新疆加工番茄品质的影响[J].中国农业气象,2009,30():235-237. |
GUO J Q, WANG X J, WEI C Z, et al.. Effects of light and temperature factors on the quality of processed tomato in Xinjiang [J]. China Agrometeorol., 2009,30 (S2): 235-237. | |
20 | 胡泽军. 贺兰山东麓不同子产区气象和土壤条件与赤霞珠葡萄品质的关系研究[D].银川:宁夏大学,2021. |
HU Z J. Study on the relationship between meteorological and soil conditions and Cabernet Sauvignon grape quality in different sub production areas in the eastern foot of Helan [D]. Yinchuan: Ningxia University, 2021 . | |
21 | 张晓煜,刘玉兰,张磊,等.气象条件对酿酒葡萄若干品质因子的影响[J].中国农业气象,2007,28(3):326-330. |
ZHANG X Y, LIU Y L, ZHANG L, et al.. Effects of meteorological conditions on some quality factors of wine grape [J]. China Agrometeorol., 2007, 28(3): 326-330. | |
22 | 刘孟龙,李响,高振,等.气象因子对赤霞珠果实GLVs香气的影响[J].果树学报,2021,38(11):1890-1899. |
LIU M L, LI X, GAO Z, et al.. Effects of meteorological factors on GLVs aroma of Cabernet Sauvignon fruit [J]. J. Fruit Sci., 2021,38 (11): 1890-1899 . | |
23 | SOMKUWAR R G, BAHETWAR A, KHAN I, et al.. Changes in growth, photosynthetic activities, biochemical parameters and amino acid profile of Thompson Seedless grapes (Vitis vinifera L.) [J]. J. Environ. Biol., 2014, 35(6) : 1157-1163. |
24 | 朱攀攀.不同气候沃柑果实量品质比较研究[D].重庆:西南大学,2020. |
ZHU P P. Comparative study on fruit yield and quality of Citrus grandis in different climatic regions [D].Chongqing: Southwest University, 2020 . | |
25 | 贺普超,罗国光.葡萄学[M].北京:中国农业出版社,1994: 35-37. |
26 | 刘洪波,白云岗,吴彬,等.微气候因子对极端干旱区葡萄果实品质的响应关系[J].西南农业学报,2021,34(9):1950-1958. |
LIU H B, BAI Y G, WU B, et al.. Response of microclimate factors to grape fruit quality in extreme arid areas [J]. Southwest Agric. J., 2021,34 (9): 1950-1958. |
[1] | 王宏利, 牛琳, 赵晓丹, 陈雷, 刘冰. 双活化法制备山竹壳多孔炭材料及其对刚果红的吸附性能研究[J]. 中国农业科技导报, 2025, 27(5): 239-249. |
[2] | 姚泽, 刘世增, 詹科杰, 王祺, 王飞, 刘淑娟, 王芳琳, 孙涛, 常兆丰. 沙漠光伏的热力平衡效应及其防沙治沙的生态学意义[J]. 中国农业科技导报, 2022, 24(1): 98-105. |
[3] | 刘洪润1,高雪纯1,彭艳新1,赵阳佳1,李润枝1*,宋振伟2*. 近55年来河西走廊农业水热资源变化特征与趋势[J]. 中国农业科技导报, 2018, 20(1): 85-94. |
[4] | 彭亮亮1,2,王自强2,王云山2,张利平1,苏志国2. 顺式环氧琥珀酸水解酶酶活的快速测定方法[J]. , 2010, 12(1): 135-138. |
阅读次数 | ||||||
全文 |
|
|||||
摘要 |
|
|||||