中国农业科技导报 ›› 2023, Vol. 25 ›› Issue (5): 112-122.DOI: 10.13304/j.nykjdb.2021.1018

• 智慧农业 农机装备 • 上一篇    下一篇

双稳态折叠结构日光温室前屋面保温设施的设计与试验

吴若丁1(), 何斌1,2(), 张亦博1, 龚健林1, 赵昱权1   

  1. 1.西北农林科技大学水利与建筑工程学院, 陕西 杨凌 712100
    2.西北农林科技大学旱区农业水土工程教育部重点实验室, 陕西 杨凌 712100
  • 收稿日期:2021-11-29 接受日期:2022-03-27 出版日期:2023-05-20 发布日期:2023-07-13
  • 通讯作者: 何斌
  • 作者简介:吴若丁E-mail:994231163@qq.com
  • 基金资助:
    陕西省科技创新引导专项项目(2021QFY08-01);陕西省科技统筹创新工程项目(2016KTCL02-02)

Design and Experiment of Thermal Insulation Facilities for the Front Roof of Bistable Folding Solar Greenhouse

Ruoding WU1(), Bin HE1,2(), Yibo ZHANG1, Jianlin GONG1, Yuquan ZHAO1   

  1. 1.College of Water Resources and Architectural Engineering, Northwest A&F University, Shaanxi Yangling 712100, China
    2.Key Laboratory of Agricultural Soil and Water Engineering in Arid and Semiarid Areas, Ministry of Education, Northwest A&F University, Shaanxi Yangling 712100, China
  • Received:2021-11-29 Accepted:2022-03-27 Online:2023-05-20 Published:2023-07-13
  • Contact: Bin HE

摘要:

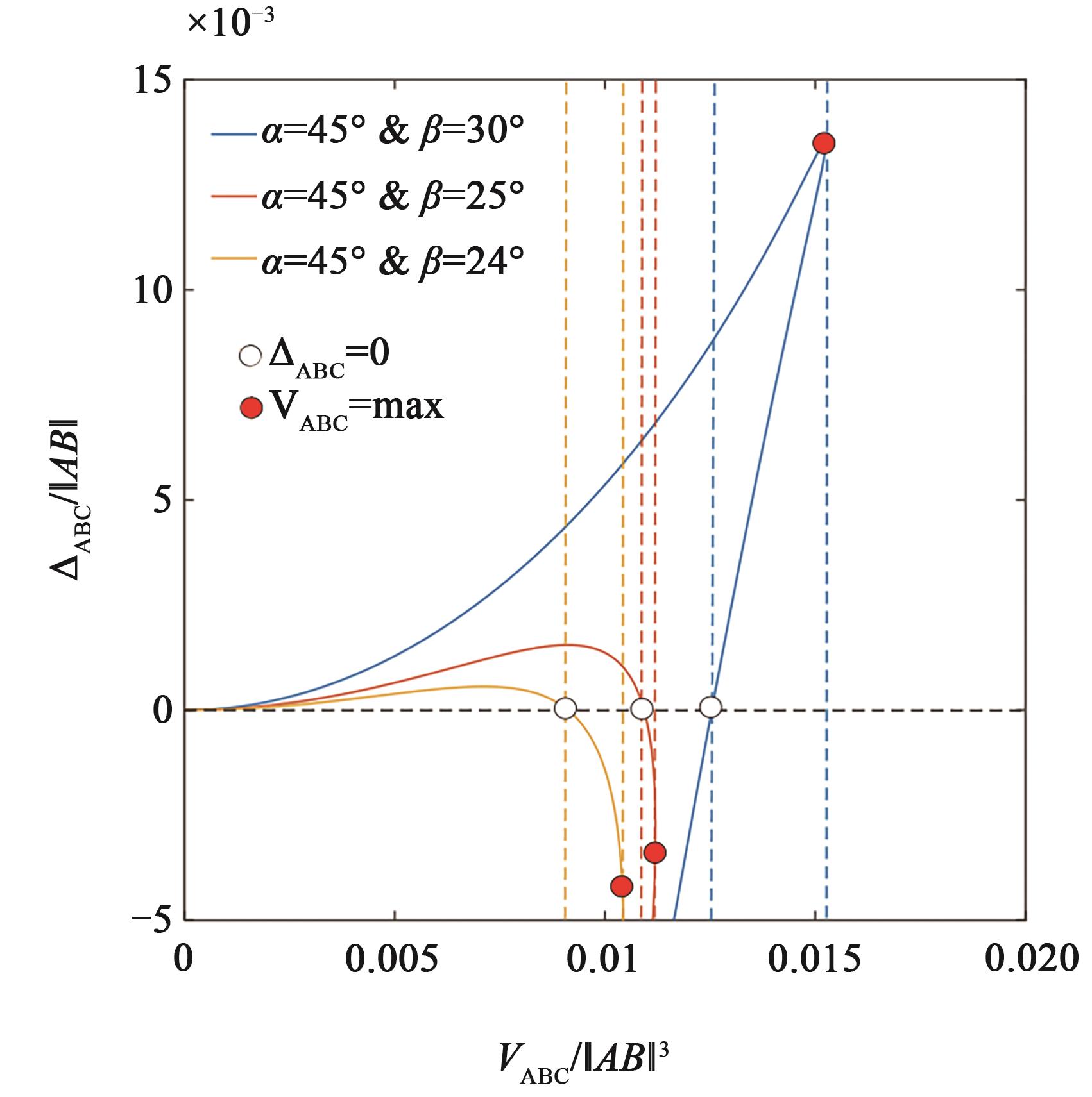
为了增加温室生产作业的便捷性和安全性,提高温室的保温性能,研发能代替草帘和保温被等传统覆盖物的新型日光温室双稳态折叠结构保温设施,其在前屋面展开并覆盖后具有稳定的空腔结构,不仅可以承受雪荷载,也更加有利于保温。除此之外,与传统的前屋面保温设施相比,新型保温设施的双稳态性质可以使其拥有展开和收折2个结构稳定状态,这也直接导致其作业方式发生了根本变化,通过充气或抽气破坏其几何不相容性就可以完成状态切换,进行展开和收折操作,免除了卷帘机的使用。通过该设计方法可以制作出任意尺寸的日光温室折叠结构保温设施;经过有限元分析实例得出,单元结构体只需满足倾斜角度为0°时,内部最大应力小于材料强度即可保证其结构稳定;通过静态热箱试验发现折叠结构保温设施的传热系数仅为2.62 W·m-2·K-1,其保温性能较传统保温设施更好。与此同时,新型前屋面保温设施也可以通过材料的选取满足机械性能优越、节能环保、经济性良好、耐候性强、重量轻等指标的要求,应用前景广阔,更利于农业设施现代化。

关键词: 日光温室, 保温, 双稳态, 折叠结构

Abstract:

In order to improve the keeping warm capability of greenhouse, a new type of solar greenhouse bistable folding structure thermal insulation facility was researched and developed, which could replace the traditional covering such as straw curtain and thermal insulation quilt. It had a stable cavity structure after the front roof was unfolded and covered, which not only beared the snow load, but also was more conducive to the thermal insulation. In addition, compared with the traditional front roof thermal insulation facilities, the bistable nature of the new thermal insulation facilities made it have two structural stable states of unfolding and folding, which also directly leaded to the fundamental change of its operation mode. As long as the geometric incompatibility was destroyed by inflation or air extraction, the state could be switched to carry out unfolding and folding operations without the use of curtain rolling machines. Through the method proposed in this study, any size of solar greenhouse folding structure insulation facilities could be made. Through the example of finite element analysis, it was concluded to ensure the structural stability of the unit structure only when the inclination angle was 0°, and the internal maximum stress was less than the material strength. Through the static hot box test, it was found that the heat transfer coefficient of the folding thermal insulation facilities was only 2.62 W·m-2·K-1, and its thermal insulation performance was better than that of the traditional thermal insulation facilities. At the same time, the new type of front roof insulation facilities also met the requirements of superior mechanical properties, energy saving, environmental protection, good economy, strong weather resistance, light weight and other indicators through the selection of materials, which had a broad application prospect and is more conducive to the modernization of agricultural facilities.

Key words: solar greenhouse, heat preservation, bistability, pleated sheet structure

中图分类号: