SNF1与MetK1共表达促进酵母S-腺苷-L-甲硫氨酸合成 |
| 陈海龙, 戴佳良, 邓晶, 高新星, 朱官兴, 何清明, 朱年青 |
|
Co-expression of SNF1 and MetK1 Promoted S-adenosine-L-methionine Synthesis in Saccharomyces cerevisiae |
| Hailong CHEN, Jialiang DAI, Jing DENG, Xinxing GAO, Guanxing ZHU, Qingming HE, Nianqing ZHU |
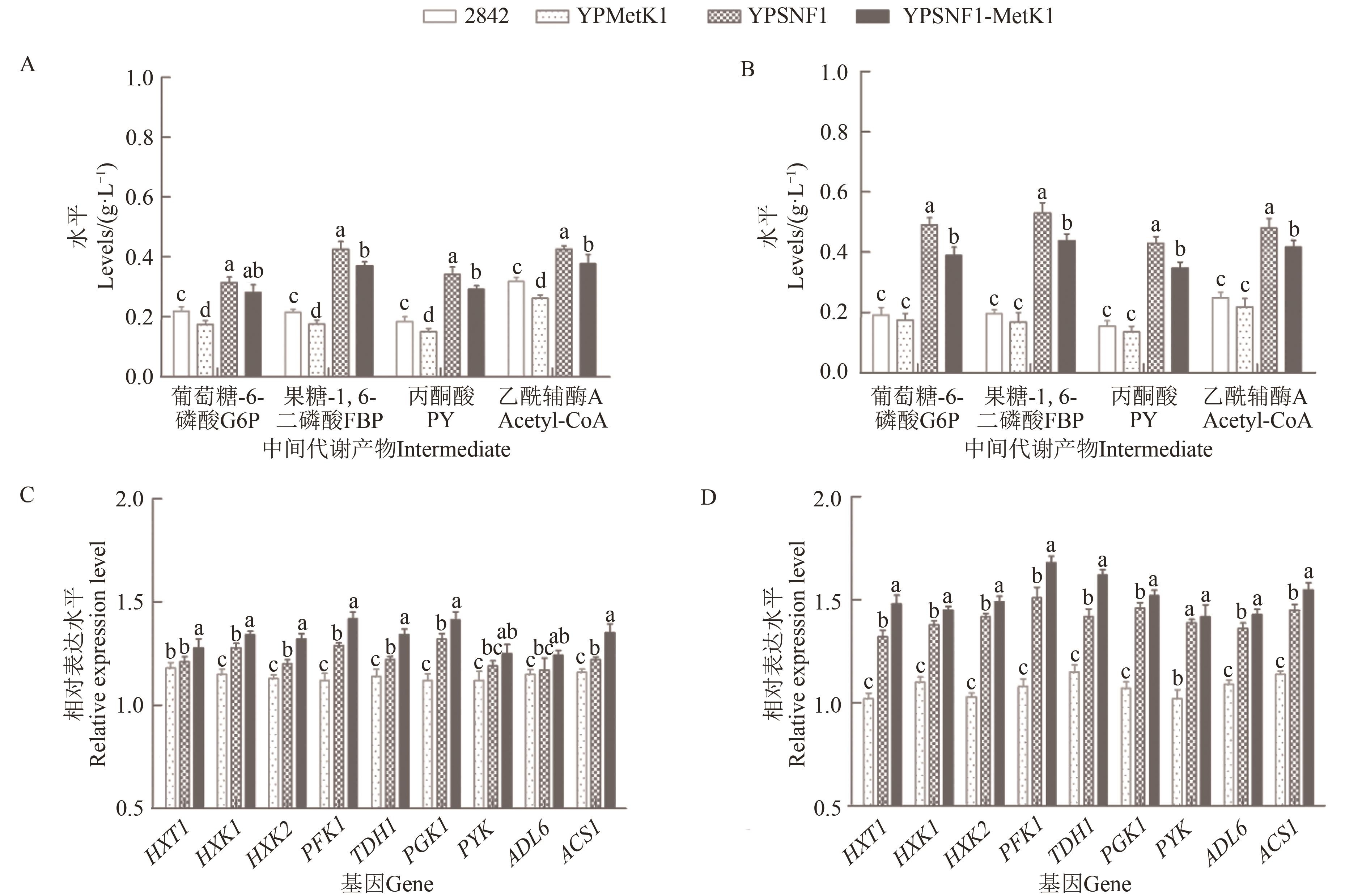
| 图4 SNF1和MetK1过表达对酵母糖酵解代谢的影响 A~B:5%和10%葡萄糖中酵解中间代谢产物积累水平;C~D: 5%和10%葡萄糖中糖酵解代谢途径相关基因表达水平;不同小写字母表示不同菌株间在P<0.05水平差异显著 |
| Fig. 4 Effects of SNF1 and MetK1 overexpression on glycolytic metabolism of yeast A~B: Levels of glycolytic intermediates in 5% and 10% glucose, respectively; C~D: Expression levels of genes related to glycolytic pathways in 5% and 10% glucose, respectively; different lowercase letters indicate significant differences between different strains at P<0.05 level |
|