Journal of Agricultural Science and Technology ›› 2024, Vol. 26 ›› Issue (12): 176-186.DOI: 10.13304/j.nykjdb.2023.0214
• BIO-MANUFACTURING & RESOURCE AND ECOLOGY • Previous Articles Next Articles
Shaohao LU(), Yongheng XIE, Liping XU, Chongsheng LIU, Zhaoming WU, Lina ZHANG, Gaoyan XU, Zhenjie ZHAO, Yang GAO(
)
Received:
2023-03-22
Accepted:
2023-05-05
Online:
2024-12-15
Published:
2024-12-17
Contact:
Yang GAO
卢绍浩(), 谢永恒, 许利平, 刘崇盛, 吴兆明, 张丽娜, 许高燕, 赵振杰, 高阳(
)
通讯作者:
高阳
作者简介:
卢绍浩 E-mail:lush@zjtobacco.com;
基金资助:
CLC Number:
Shaohao LU, Yongheng XIE, Liping XU, Chongsheng LIU, Zhaoming WU, Lina ZHANG, Gaoyan XU, Zhenjie ZHAO, Yang GAO. Differential Analysis of Aroma Components of Cigar Tobacco Leaves Based on OPLS-DA Model[J]. Journal of Agricultural Science and Technology, 2024, 26(12): 176-186.
卢绍浩, 谢永恒, 许利平, 刘崇盛, 吴兆明, 张丽娜, 许高燕, 赵振杰, 高阳. 基于OPLS-DA模型的雪茄烟叶香气差异分析[J]. 中国农业科技导报, 2024, 26(12): 176-186.
Add to citation manager EndNote|Ris|BibTeX
URL: https://nkdb.magtechjournal.com/EN/10.13304/j.nykjdb.2023.0214
类别 Category | 代码 Number | 香气物质名称 Aroma material name | 品种 Variety | ||
---|---|---|---|---|---|
德雪1号 Dexue 1 | 德雪3号 Dexue 3 | 德雪5号 Dexue 5 | |||
类胡萝卜素降解产物 Carotenoid degradation products | X1 | 巨豆三烯酮1 Megastigmatrienone 1 | 2.78±0.75 b | 3.52±0.56 a | 2.24±0.49 b |
X2 | 巨豆三烯酮2 Megastigmatrienone 2 | 13.11±3.53 a | 11.72±1.14 a | 9.49±1.91 b | |
X3 | 巨豆三烯酮3 Megastigmatrienone 3 | 9.41±0.18 a | 10.06±1.32 a | 0.79±0.27 b | |
X4 | 巨豆三烯酮4 Megastigmatrienone 4 | 15.34±5.08 ab | 13.19±1.01b | 16.33±1.73a | |
X5 | 芳樟醇 Linalool | 1.97±0.34 a | 2.90±0.70 a | 1.95±0.35 a | |
X6 | 氧化异佛尔酮 Isophorone oxide | 0.66±0.11 ab | 0.81±0.22 a | 0.60±0.16 b | |
X7 | β-大马酮 β-damascenone | 41.94±13.19 a | 38.42±1.48 a | 27.28±1.40 b | |
X8 | β-二氢大马酮 β-damascone | 20.56±2.73 a | 18.82±2.76 a | 22.20±2.42 a | |
X9 | 3-羟基-β-二氢大马酮 3-hydroxy-β-damascone | 13.60±2.11 a | 13.40±3.32 a | 12.10±1.50 a | |
X10 | 香叶基丙酮 Geranyl acetone | 3.10±0.38 a | 3.51±0.34 a | 1.92±0.27 a | |
X11 | 二氢猕猴桃内酯 Dihydroactinidiolide | 0.64±0.33 c | 4.96±2.39 b | 7.03±1.02 a | |
X12 | β-环柠檬醛 β-cyclocitral | 0.14±0.02 a | 0.08±0.02 b | 0.04±0.01 c | |
X13 | 螺岩兰草酮 Solavetivone | 0.49±0.13 b | 1.09±0.30 a | 1.20±0.29 a | |
X14 | 法尼基丙酮 Farnesyl acetone | 19.14±2.12 a | 16.95±7.17 a | 15.12±1.79 a | |
X15 | 6-甲基-5-庚烯-2-醇 6-methyl-5-hepten-2-ol | 1.52±0.48 a | 2.68±0.62 a | 2.17±0.42 a | |
X16 | 6-甲基-5-庚烯-2-酮 6-methyl-5-hepten-2-one | 0.58±0.08 b | 1.63±0.58 a | 0.91±0.28 b | |
合计 Total | 144.97±24.69 a | 162.74±29.52 a | 121.39±6.99 b | ||
棕色化反应产物 Maillard reaction products | X17 | 5-甲基糠醛 5-methyl-2-furaldehyde | 1.40±0.80 b | 3.02±0.42 a | 3.80±1.40 a |
X18 | 糠醛 Furfural | 10.76±3.27 a | 12.18±5.32 a | 12.06±4.02 a | |
X19 | 糠醇 Furfuryl alcohol | 6.21±1.00 a | 5.42±1.14 a | 2.04±0.37 b | |
X20 | 2-乙酰基呋喃 2-acetylfuran | 0.41±0.13 c | 1.27±0.25 a | 0.69±0.41 b | |
X21 | 2-乙酰基吡咯 2-acetyl-1H-py-rrole | 0.89±0.30 ab | 0.74±0.12 b | 1.07±0.45 a | |
合计 Total | 19.67±4.01 a | 30.94±5.91 a | 19.65±3.72 a | ||
类西柏烷类降解产物 Degradation products of cembranoids | X22 | 茄酮 Solanone | 41.00±10.31 c | 108.04±18.42 b | 121.62±6.86 a |
苯丙氨酸转化产物 Phenylalanine converting products | X23 | 苯甲醛 Benzaldehyde | 6.07±0.87 a | 4.21±0.56 c | 5.14±0.42 b |
X24 | 苯甲醇 Benzil alcohol | 15.53±0.40 a | 15.37±1.01 a | 6.35±0.76 b | |
X25 | 苯乙醛 Hyacinthin | 13.18±1.51 a | 12.75±7.91 a | 15.86±1.87 a | |
X26 | 苯乙醇 Phenethyl alcohol | 10.71±2.26 b | 22.85±3.73 a | 6.43±0.59 c | |
合计 Total | 45.94±3.13 b | 55.18±12.09 a | 33.78±1.88 c | ||
新植二烯 Neophytadiene | X27 | 新植二烯 Neophytadiene | 245.17±12.20 c | 844.46±103.64 a | 468.87±25.70 b |
其他 Others | X28 | 2,6-壬二烯醛 2,6-nonadienal | 2.13±0.71 a | 0.89±0.20 b | 0.13±0.01 c |
X29 | 愈创木酚 Guaiacol | 1.33±0.21 b | 0.73±0.26 c | 1.57±0.02 a | |
X30 | 藏花醛 Safranal | 0.29±0.08 a | 0.24±0.09 ab | 0.22±0.02 b | |
合计 Total | 3.75±0.90 a | 1.85±0.33 b | 1.91±0.05 b | ||
总计 Total | 300.15±43.67 c | 1 202.91±165.20 a | 767.21±36.51 b |
Table 1 Contents of aroma constituents in different varieties of cigar tobacco leaves (μg·g-1)
类别 Category | 代码 Number | 香气物质名称 Aroma material name | 品种 Variety | ||
---|---|---|---|---|---|
德雪1号 Dexue 1 | 德雪3号 Dexue 3 | 德雪5号 Dexue 5 | |||
类胡萝卜素降解产物 Carotenoid degradation products | X1 | 巨豆三烯酮1 Megastigmatrienone 1 | 2.78±0.75 b | 3.52±0.56 a | 2.24±0.49 b |
X2 | 巨豆三烯酮2 Megastigmatrienone 2 | 13.11±3.53 a | 11.72±1.14 a | 9.49±1.91 b | |
X3 | 巨豆三烯酮3 Megastigmatrienone 3 | 9.41±0.18 a | 10.06±1.32 a | 0.79±0.27 b | |
X4 | 巨豆三烯酮4 Megastigmatrienone 4 | 15.34±5.08 ab | 13.19±1.01b | 16.33±1.73a | |
X5 | 芳樟醇 Linalool | 1.97±0.34 a | 2.90±0.70 a | 1.95±0.35 a | |
X6 | 氧化异佛尔酮 Isophorone oxide | 0.66±0.11 ab | 0.81±0.22 a | 0.60±0.16 b | |
X7 | β-大马酮 β-damascenone | 41.94±13.19 a | 38.42±1.48 a | 27.28±1.40 b | |
X8 | β-二氢大马酮 β-damascone | 20.56±2.73 a | 18.82±2.76 a | 22.20±2.42 a | |
X9 | 3-羟基-β-二氢大马酮 3-hydroxy-β-damascone | 13.60±2.11 a | 13.40±3.32 a | 12.10±1.50 a | |
X10 | 香叶基丙酮 Geranyl acetone | 3.10±0.38 a | 3.51±0.34 a | 1.92±0.27 a | |
X11 | 二氢猕猴桃内酯 Dihydroactinidiolide | 0.64±0.33 c | 4.96±2.39 b | 7.03±1.02 a | |
X12 | β-环柠檬醛 β-cyclocitral | 0.14±0.02 a | 0.08±0.02 b | 0.04±0.01 c | |
X13 | 螺岩兰草酮 Solavetivone | 0.49±0.13 b | 1.09±0.30 a | 1.20±0.29 a | |
X14 | 法尼基丙酮 Farnesyl acetone | 19.14±2.12 a | 16.95±7.17 a | 15.12±1.79 a | |
X15 | 6-甲基-5-庚烯-2-醇 6-methyl-5-hepten-2-ol | 1.52±0.48 a | 2.68±0.62 a | 2.17±0.42 a | |
X16 | 6-甲基-5-庚烯-2-酮 6-methyl-5-hepten-2-one | 0.58±0.08 b | 1.63±0.58 a | 0.91±0.28 b | |
合计 Total | 144.97±24.69 a | 162.74±29.52 a | 121.39±6.99 b | ||
棕色化反应产物 Maillard reaction products | X17 | 5-甲基糠醛 5-methyl-2-furaldehyde | 1.40±0.80 b | 3.02±0.42 a | 3.80±1.40 a |
X18 | 糠醛 Furfural | 10.76±3.27 a | 12.18±5.32 a | 12.06±4.02 a | |
X19 | 糠醇 Furfuryl alcohol | 6.21±1.00 a | 5.42±1.14 a | 2.04±0.37 b | |
X20 | 2-乙酰基呋喃 2-acetylfuran | 0.41±0.13 c | 1.27±0.25 a | 0.69±0.41 b | |
X21 | 2-乙酰基吡咯 2-acetyl-1H-py-rrole | 0.89±0.30 ab | 0.74±0.12 b | 1.07±0.45 a | |
合计 Total | 19.67±4.01 a | 30.94±5.91 a | 19.65±3.72 a | ||
类西柏烷类降解产物 Degradation products of cembranoids | X22 | 茄酮 Solanone | 41.00±10.31 c | 108.04±18.42 b | 121.62±6.86 a |
苯丙氨酸转化产物 Phenylalanine converting products | X23 | 苯甲醛 Benzaldehyde | 6.07±0.87 a | 4.21±0.56 c | 5.14±0.42 b |
X24 | 苯甲醇 Benzil alcohol | 15.53±0.40 a | 15.37±1.01 a | 6.35±0.76 b | |
X25 | 苯乙醛 Hyacinthin | 13.18±1.51 a | 12.75±7.91 a | 15.86±1.87 a | |
X26 | 苯乙醇 Phenethyl alcohol | 10.71±2.26 b | 22.85±3.73 a | 6.43±0.59 c | |
合计 Total | 45.94±3.13 b | 55.18±12.09 a | 33.78±1.88 c | ||
新植二烯 Neophytadiene | X27 | 新植二烯 Neophytadiene | 245.17±12.20 c | 844.46±103.64 a | 468.87±25.70 b |
其他 Others | X28 | 2,6-壬二烯醛 2,6-nonadienal | 2.13±0.71 a | 0.89±0.20 b | 0.13±0.01 c |
X29 | 愈创木酚 Guaiacol | 1.33±0.21 b | 0.73±0.26 c | 1.57±0.02 a | |
X30 | 藏花醛 Safranal | 0.29±0.08 a | 0.24±0.09 ab | 0.22±0.02 b | |
合计 Total | 3.75±0.90 a | 1.85±0.33 b | 1.91±0.05 b | ||
总计 Total | 300.15±43.67 c | 1 202.91±165.20 a | 767.21±36.51 b |
Fig. 1 Content of various aroma components in different varieties of cigar tobacco leavesNote:Different lowercase letters indicate significantly differences between different varieties at P<0.05 level.
预测主成分数 Number of prediction principal component | 正交主成分数 Number of orthogonal principal component | 自变量拟合指数 R2X | 因变量拟合指数 R2Y | 模型预测指数 Q2 |
---|---|---|---|---|
2 | 2 | 0.806 | 0.993 | 0.988 |
Table 2 OPLS-DA model performance statistics
预测主成分数 Number of prediction principal component | 正交主成分数 Number of orthogonal principal component | 自变量拟合指数 R2X | 因变量拟合指数 R2Y | 模型预测指数 Q2 |
---|---|---|---|---|
2 | 2 | 0.806 | 0.993 | 0.988 |
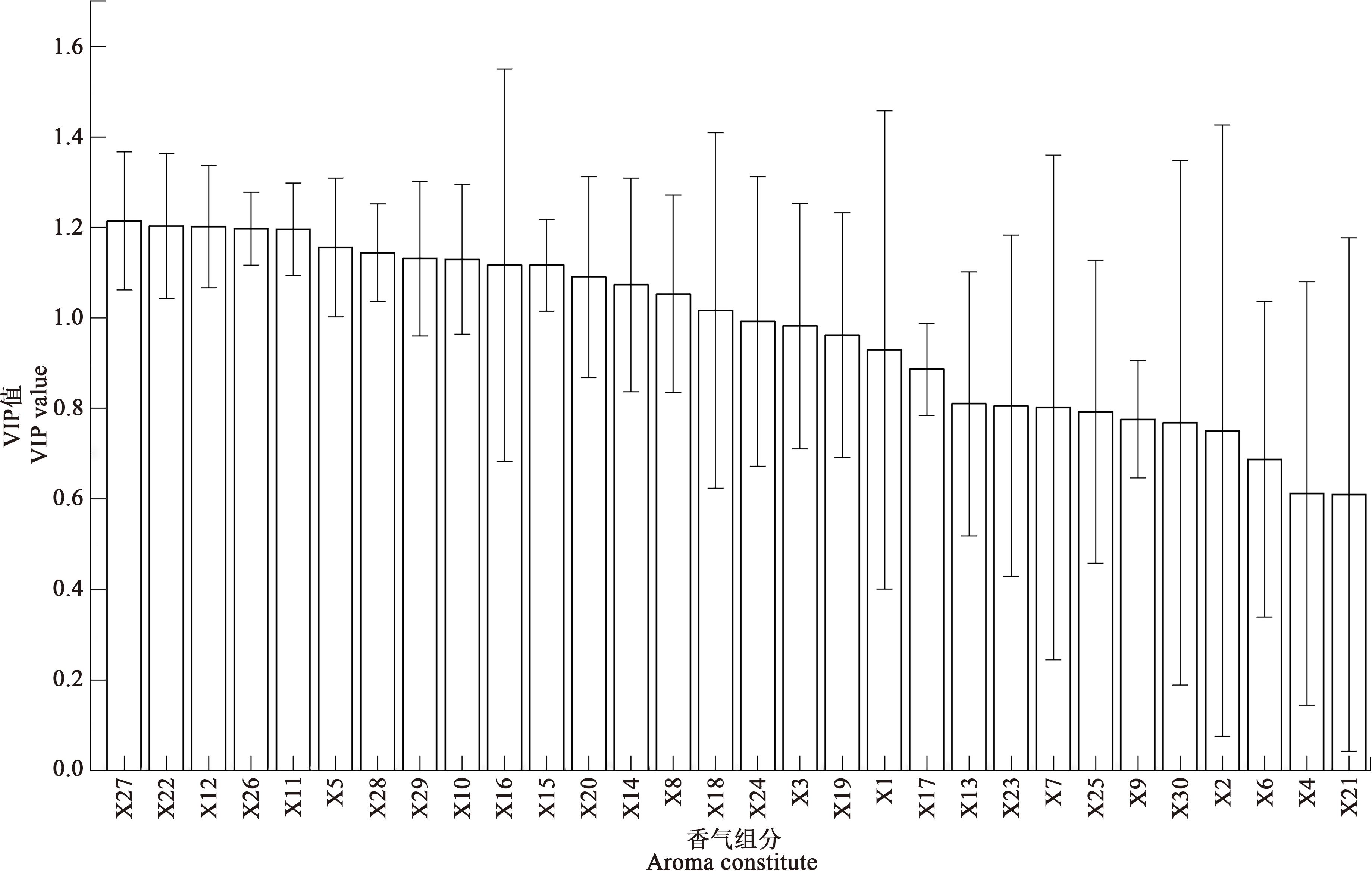
序号 Number | 化合物名称 Compound name | VIP值 VIP value |
---|---|---|
X27 | 新植二烯 Neophytadiene | 1.21 |
X22 | 茄酮 Solanone | 1.20 |
X12 | β-环柠檬醛 β-cyclocitral | 1.20 |
X26 | 苯乙醇 Phenethyl alcohol | 1.19 |
X11 | 二氢猕猴桃内酯 Dihydroactinidiolide | 1.19 |
X5 | 芳樟醇 Linalool | 1.16 |
X28 | 2,6-壬二烯醛 2,6-nonadienal | 1.14 |
X29 | 愈创木酚 Guaiacol | 1.13 |
X10 | 香叶基丙酮 Geranyl acetone | 1.12 |
X16 | 6-甲基-5-庚烯-2-酮 6-methyl-5-hepten-2-one | 1.11 |
X15 | 6-甲基-5-庚烯-2-醇 6-methyl-5-hepten-2-ol | 1.11 |
X20 | 2-乙酰基呋喃 2-acetylfuran | 1.09 |
X14 | 法尼基丙酮 Farnesyl acetone | 1.07 |
X8 | β-二氢大马酮 β-damascone | 1.05 |
X18 | 糠醛 Furfural | 1.02 |
Table 3 VIP score of cigar tobacco leaves
序号 Number | 化合物名称 Compound name | VIP值 VIP value |
---|---|---|
X27 | 新植二烯 Neophytadiene | 1.21 |
X22 | 茄酮 Solanone | 1.20 |
X12 | β-环柠檬醛 β-cyclocitral | 1.20 |
X26 | 苯乙醇 Phenethyl alcohol | 1.19 |
X11 | 二氢猕猴桃内酯 Dihydroactinidiolide | 1.19 |
X5 | 芳樟醇 Linalool | 1.16 |
X28 | 2,6-壬二烯醛 2,6-nonadienal | 1.14 |
X29 | 愈创木酚 Guaiacol | 1.13 |
X10 | 香叶基丙酮 Geranyl acetone | 1.12 |
X16 | 6-甲基-5-庚烯-2-酮 6-methyl-5-hepten-2-one | 1.11 |
X15 | 6-甲基-5-庚烯-2-醇 6-methyl-5-hepten-2-ol | 1.11 |
X20 | 2-乙酰基呋喃 2-acetylfuran | 1.09 |
X14 | 法尼基丙酮 Farnesyl acetone | 1.07 |
X8 | β-二氢大马酮 β-damascone | 1.05 |
X18 | 糠醛 Furfural | 1.02 |
1 | 卢绍浩,张嘉雯,赵喆,等.晾制湿度对雪茄烟叶碳氮代谢关键酶活性及品质的影响[J].中国烟草学报,2020,26(4):26-34. |
LU S H, ZHANG J W, ZHAO Z, et al.. Effects of air-curing humidity on key enzyme activities related to carbon and nitrogen metabolism in and quality of cigar tobacco leaves [J]. Acta Tab. Sin., 2020, 26(4):26-34. | |
2 | 闫铁军,丁宁,王剑,等.雪茄烟马杜罗茄衣化学品质指数与中性香气物质的关系[J].南方农业学报,2022,53(6):1543-1551. |
YAN T J, DING N, WANG J, et al.. Relationship between chemical quality index and neutral aroma substances of Maduro wrapper [J]. J. Southern Agric., 2022, 53(6):1543-1551. | |
3 | 戚莹.烤烟基因型间美拉德反应差异研究[D].郑州:河南农业大学,2016. |
QI Y. Research of maillard reaction differences among flue-cured tobacco genotypes [D]. Zhengzhou: Henan Agricultural University, 2016. | |
4 | 史宏志,谢子发,赵永利,等.四川白肋烟不同品种中性香气成分含量及感官品质分析[J].中国烟草学报,2010,16(1):1-5. |
SHI H Z, XIE Z F, ZHAO Y L, et al.. Quantitative determination of neutral volatil aroma component and sensory evaluation of air-cured leaves of major Chinese burley varieties [J]. Acta Tab. Sin., 2010, 16(1):1-5. | |
5 | 王惠文,吴载斌,孟洁.偏最小二乘回归的线性与非线性方法[M].北京:国防工业出版社,2006:1-141. |
WANG H W, WU Z B, MENG J. Linear and Nonlinear Methods of Partial Least Squares Regression [M]. Beijing: National Defense Industry Press, 2006:1-141. | |
6 | 邵淑贤,徐梦婷,林燕萍,等.基于电子鼻与HS-SPME-GC-MS技术对不同产地黄观音乌龙茶香气差异分析[J].食品科学,2023,44(4):232-239. |
SHAO S X, XU M T, LIN Y P, et al.. Differential analysis of aroma components of Huangguanyin Oolong tea from different origins based on electronic EOSE and HS-SPME-GC-MS [J]. Food Sci., 2023, 44(4):232-239. | |
7 | 李武峰,邱丽霞,关家伟,等.基于HS-SPME-GC-MS和OPLS-DA模型探究不同嫩度驴肉的关键挥发性物质成分差异[J].畜牧兽医学报,2022,53(12):4258-4270. |
LI W F, QIU L X, GUAN J W, et al.. Exploring the differences of key volatile compounds in donkey meat with different tenderness based on HS-SPME-GC-MS and OPLS-DA models [J]. J. Anim. Husb. Veter. Med., 2022, 53(12):4258-4270. | |
8 | 欧阳红军,刘义军,袁源,等.HS-SPME-GC-MS结合OPLS-DA分析提取方法对牛油果油挥发性香气化合物的影响[J].南方农业学报,2021,52(3):779-788. |
OUYANG H J, LIU Y J, YUAN Y, et al.. HS-SPME-GC-MS coupled with OPLS-DA to analyze the effects of extraction methods on volatile aroma compounds of avocado oil [J]. J. Southern Agric., 2021, 52(3):779-788. | |
9 | 何启川,杨敏莉,王秀娟,等.基于超高效液相色谱-四极杆-静电场轨道阱高分辨质谱法结合化学计量学鉴别新鲜和反复冻融牛肉[J].食品安全质量检测学报,2021,12(16):6324-6331. |
HE Q C, YANG M L, WANG X J, et al.. Identification of fresh and frozen-thawed beef based on ultra performance liquid chromatography-quadrupole-orbitrap high resolution mass spectrometry combined with chemometrics [J]. J. Food Saf. Qual., 2021, 12(16): 6324-6331. | |
10 | 刘典三,刘国顺,贾芳芳,等.不同光强对烤烟质体色素及其降解产物的影响[J].华北农学报, 2013,28(1):234-238. |
LIU D S, LIU G S, JIA F F, et al.. Effects of light intensity on plastid pigment and its degraded products in flue-cured tobacco [J]. Acta Agric. Boreali-Sin., 2013, 28(1):234-238. | |
11 | 彭黔荣,杨敏,石炎福,等.烟草香味物质的样品前处理和分析方法研究进展[J].香料香精化妆品,2003,7(5):22-26. |
PENG Q R, YANG M, SHI Y F, et al.. Study of the pre-treatments with the samples and analysis of the tobacco aroma substances [J]. Flavour Fragrance Cosmetics, 2003, 7(5):22-26. | |
12 | 景延秋,宫长荣,张月华,等.烟草香味物质分析研究进展[J].中国烟草科学,2005,26(2):44-48. |
JING Y Q, GONG C R, ZHANG Y H, et al.. Research progress of aroma compositions of tobacco [J]. Chin. Tob. Sci., 2005, 26(2):44-48. | |
13 | 孙凤林,郝志峰.OPLS在非线性偏最小二乘回归模型的应用[J].计算机工程与设计,2010,31(12):2826-2829. |
SUN F L, HAO Z F. Application of OPLS in non-linear partial least squares regression model [J]. Computer Eng. Design., 2010, 31(12):2826-2829. | |
14 | 赵铭钦,李晓强,韩静,等.不同基因型烤烟中性致香物质含量的研究[J].中国烟草学报,2008,14(3):46-50. |
ZHAO M Q, LI X Q, HAN J, et al.. Study on neutral aroma constituent contents in different genotypes of flue-cured tobacco [J]. Acta Tab. Sin., 2008, 14(3):46-50. | |
15 | 秦卫普,赵铭钦,瞿永生,等.牡丹江生态条件下不同基因型烤烟品种香气物质含量比较[J].中国烟草科学,2010,31(5):29-33. |
QIN W P, ZHAO M Q, QU Y S, et al.. The comparison on the content of aroma substances in different genotypic flue-cured tobacco leaves under the ecological conditions of Mudanjiang [J]. Chin. Tob. Sci., 2010, 31(5):29-33. | |
16 | 卢绍浩,张嘉雯,赵喆,等.不同部位雪茄烟叶晾制过程中多酚、色素及相关酶活性的变化[J].中国烟草科学,2019,40(3):84-90, 98. |
LU S H, ZHANG J W, ZHAO Z, et al.. Changes of polyphenols, pigments and related enzyme activities in cigars leaves of different positions during air-curing [J]. Chin. Tob. Sci., 2019, 40(3):84-90, 98. | |
17 | 韩富根.烟草化学[M].北京:中国农业出版社,2010:102-116. |
HAN F G. Tobacco Chemistry [M]. Beijing: China Agriculture Press, 2010:102-116. | |
18 | 杜丛中,宋晶,王生才,等.郴州地区不同品种烤烟烟叶质体色素及其降解致香物质含量差异研究[J].中国农学通报,2012,28(21):260-263. |
DU C Z, SONG J, WANG S C, et al.. Study on chromoplast pigment and the differences of degraded products contents in flue-cured tobacco from different cultivars in Chenzhou areas [J]. Chin. Agric. Sci. Bull., 2012, 28(21):260-263. | |
19 | 史宏志,刘国顺,谢子发,等.不同产地白肋烟中性香气成分及生物碱组成和含量分析[J].中国烟草学报,2008,14(4):23-27. |
SHI H Z, LIU G S, XIE Z F, et al.. Comparison of composition and contents of neutral aroma components and alkaloids between burley tobaccos from different producing areas [J]. Acta Tab. Sin., 2008, 14(4):23-27. | |
20 | 闫铁军.不同产区烤烟配方模块在醇化过程中质量的变化趋势及醇化周期研究[D].郑州:河南农业大学,2009. |
YAN T J. The quality change tendency and aging period of flue-cured tobacco blending modules in different growing-areas during aging [D]. Zhengzhou: Henan Agricultural University, 2009. | |
21 | 李鹏,吴鸣,谢剑平.白肋烟中一些重要碱性成分和羰基化合物的分析研究[J].中国烟草学报,2002,8(1):3-8, 15. |
LI P, WU M, XIE J P. Analysis of some basic alkaline components and carbonyl compounds in burley tobacco [J]. Acta Tab. Sin., 2002, 8(1):3-8, 15. | |
22 | 邵惠芳,郑聪,许自成,等.三门峡优质烤烟中性香气物质的特点及香型风格评价[J].河南农业大学学报,2010,44(5):508-512. |
SHAO H F, ZHENG C, XU Z C, et al.. Characteristics of aromatic components and flavoring styles evaluation of Sanmenxia flue-curde tobacco [J]. J. Henan Agric. Univ., 2010, 44(5):508-512. | |
23 | 张晓兵,卢秀萍,许自成,等.不同基因型烤烟化学成分与中性香气物质含量的相关分析[J].安徽农业科学,2007,35(31):9947-9948, 9950. |
ZHANG X B, LU X P, XU Z C, et al.. Correlation analysis between chemical components and neutral aromatic matter contents in different genotypes of flue-cured tobacco [J]. J. Anhui Agric. Sci., 2007, 35(31):9947-9948, 9950. | |
24 | TRYGG J, WOLD S. Orthogonal projections to latent structures (O-PLS) [J]. J. Chem., 2002, 16(3):119-128. |
25 | 赵华武,贺帆,李祖良,等.基于主成分分析法的烤烟香气品质评价模型构建[J].西北农业学报,2012,21(2):88-93. |
ZHAO H W, HE F, LI Z L, et al.. Modeling of aroma quality evalutation of flue-cured tobacco based on principal component analysis [J]. Acta Agric. Bor-Occid. Sin., 2012, 21(2):88-93. | |
26 | 许国旺.代谢组学—方法与应用[M].北京:科学出版社,2008:13-14. |
XU G W. Metabolomics—Method and Application [M]. Beijing: Science Press, 2008:13-14. | |
27 | 王俊.四川烟区烤烟挥发性香气成分区域特征研究[D].成都:四川农业大学,2013. |
WANG J. Study on regional characteristics of volatile aroma components of flue-cured tobacco in Sichuan province [D]. Chengdu: Sichuan Agricultural University, 2013. | |
28 | 李东亮.数据处理方法及其在烟草质量评价中的应用[M].郑州:郑州大学出版社,2014:36-45. |
LI D L. Data Processing Method and Its Application in Tobacco Quality Evaluation [M]. Zhengzhou: Zhengzhou University Press, 2014:36-45. |
[1] | Haijun ZHANG, Juan ZHANG, Yinan JIA, Jianglong WANG, Li FENG. Effect of Different Frame Type on Aroma Components and Berry Quality of ‘Nantaihutezao’ [J]. Journal of Agricultural Science and Technology, 2024, 26(1): 201-213. |
[2] | NIU Li\|li1, ZHANG Bao\|quan2, XU Zi\|cheng1*, GENG Zong\|ze3, HUANG Guang\|hua2. Difference Analysis of Neutral Aroma Component Contents in Flue\|cured Tobacco Groups with Different Taste Characteristic [J]. , 2014, 16(2): 100-108. |
Viewed | ||||||
Full text |
|
|||||
Abstract |
|
|||||