Journal of Agricultural Science and Technology ›› 2024, Vol. 26 ›› Issue (4): 215-224.DOI: 10.13304/j.nykjdb.2023.0758
• INNOVATIVE METHODS AND TECHNOLOGIES • Previous Articles Next Articles
Yi CAO(), Wenjing CUI, Ruiqiang MA(
)
Received:
2023-10-16
Accepted:
2023-12-04
Online:
2024-04-15
Published:
2024-04-23
Contact:
Ruiqiang MA
通讯作者:
马瑞强
作者简介:
曹轶 E-mail: ycao@agreenbio.com;
CLC Number:
Yi CAO, Wenjing CUI, Ruiqiang MA. Research and Application of Directed Micro-Ecology in Soybean-Nodulating Rhizobia[J]. Journal of Agricultural Science and Technology, 2024, 26(4): 215-224.
曹轶, 崔文靖, 马瑞强. 大豆根瘤菌定向微生态研究与应用[J]. 中国农业科技导报, 2024, 26(4): 215-224.
Add to citation manager EndNote|Ris|BibTeX
URL: https://nkdb.magtechjournal.com/EN/10.13304/j.nykjdb.2023.0758
参数Parameter | 数值Value |
---|---|
大小Size/mm | 1 100×1 050×1 400 |
重量Weight/kg | 300 |
功率Power/kW | 6-8 |
电压Voltage/V | 380/220 |
容量Volume/L | 60 |
温度Temperature/℃ | 25~95 |
转速Rotation speed/(r·min-1) | 150~300 |
通气量Ventilation capacity/(L·min-1) | 50~150 |
Table 1 Parameter of the directed micro-ecology microbial incubator DME-05
参数Parameter | 数值Value |
---|---|
大小Size/mm | 1 100×1 050×1 400 |
重量Weight/kg | 300 |
功率Power/kW | 6-8 |
电压Voltage/V | 380/220 |
容量Volume/L | 60 |
温度Temperature/℃ | 25~95 |
转速Rotation speed/(r·min-1) | 150~300 |
通气量Ventilation capacity/(L·min-1) | 50~150 |
水平Level | 糖蜜液体积分数Volume fraction of molasses/% | 酵母膏质量分数 Mass fraction of yeast/% | pH |
---|---|---|---|
-1 | 2.0 | 1.0 | 6.5 |
0 | 2.5 | 1.5 | 7.0 |
1 | 3.0 | 2.0 | 7.5 |
Table 2 Single factor level setting
水平Level | 糖蜜液体积分数Volume fraction of molasses/% | 酵母膏质量分数 Mass fraction of yeast/% | pH |
---|---|---|---|
-1 | 2.0 | 1.0 | 6.5 |
0 | 2.5 | 1.5 | 7.0 |
1 | 3.0 | 2.0 | 7.5 |
Fig. 1 Effects of medium composition and initial pH on viable cell concentration of S. fredii strain GN85Note: Different lowercase letters indicate significant differences between different treatments at P<0.05 level.
编号 Code | 变量水平Coded variable level | 菌量 Cell concentration/(108 CFU·mL-1) | ||
---|---|---|---|---|
糖蜜液Molasses | 酵母膏Yeast extract | pH | ||
1 | 0 | -1 | 1 | 31 |
2 | -1 | 1 | 0 | 38 |
3 | 1 | 0 | -1 | 35 |
4 | 0 | 1 | 1 | 33 |
5 | 0 | 0 | 0 | 48 |
6 | 1 | 0 | 1 | 37 |
7 | -1 | 0 | 1 | 26 |
8 | 1 | 1 | 0 | 35 |
9 | 0 | 1 | -1 | 34 |
10 | 1 | -1 | 0 | 34 |
11 | 0 | -1 | -1 | 34 |
12 | 0 | 0 | 0 | 53 |
13 | 0 | 0 | 0 | 46 |
14 | 0 | 0 | 0 | 44 |
15 | 0 | 0 | 0 | 50 |
16 | -1 | -1 | 0 | 37 |
17 | -1 | 0 | -1 | 29 |
Table 3 Result of Single factor test
编号 Code | 变量水平Coded variable level | 菌量 Cell concentration/(108 CFU·mL-1) | ||
---|---|---|---|---|
糖蜜液Molasses | 酵母膏Yeast extract | pH | ||
1 | 0 | -1 | 1 | 31 |
2 | -1 | 1 | 0 | 38 |
3 | 1 | 0 | -1 | 35 |
4 | 0 | 1 | 1 | 33 |
5 | 0 | 0 | 0 | 48 |
6 | 1 | 0 | 1 | 37 |
7 | -1 | 0 | 1 | 26 |
8 | 1 | 1 | 0 | 35 |
9 | 0 | 1 | -1 | 34 |
10 | 1 | -1 | 0 | 34 |
11 | 0 | -1 | -1 | 34 |
12 | 0 | 0 | 0 | 53 |
13 | 0 | 0 | 0 | 46 |
14 | 0 | 0 | 0 | 44 |
15 | 0 | 0 | 0 | 50 |
16 | -1 | -1 | 0 | 37 |
17 | -1 | 0 | -1 | 29 |
源Source | 合计 Sum | 自由度 df | 均值 Mean | F值 F value | P值 P value |
---|---|---|---|---|---|
R2 =0.932 2, RAdj2 =0.901 6 | |||||
模型Model | 622.2 | 9 | 69.13 | 4.145 0 | 0.037 1* |
A | 190.1 | 1 | 190.10 | 11.400 0 | 0.011 8* |
B | 28.13 | 1 | 28.13 | 1.686 0 | 0.235 2 |
C | 12.5 | 1 | 12.50 | 0.749 5 | 0.415 3 |
AB | 6.25 | 1 | 6.25 | 0.374 7 | 0.559 8 |
AC | 1×10-13 | 1 | 1.00×10-13 | 0.000 0 | 1.000 0 |
BC | 4 | 1 | 4.00 | 0.239 8 | 0.639 3 |
A2 | 11.12 | 1 | 11.12 | 0.666 6 | 0.441 1 |
B2 | 19.01 | 1 | 19.01 | 1.140 0 | 0.321 1 |
C2 | 331.6 | 1 | 331.60 | 19.888 0 | 0.002 9* |
残差Residual | 116.8 | 7 | 16.68 | ||
失拟检验Lack of fit | 56.75 | 3 | 18.92 | 1.261 0 | 0.399 9 |
纯差Pure error | 60 | 4 | 15.00 | ||
总离差Cor total | 738.9 | 16 |
Table 4 ANOVA test for the response surface quadratic model
源Source | 合计 Sum | 自由度 df | 均值 Mean | F值 F value | P值 P value |
---|---|---|---|---|---|
R2 =0.932 2, RAdj2 =0.901 6 | |||||
模型Model | 622.2 | 9 | 69.13 | 4.145 0 | 0.037 1* |
A | 190.1 | 1 | 190.10 | 11.400 0 | 0.011 8* |
B | 28.13 | 1 | 28.13 | 1.686 0 | 0.235 2 |
C | 12.5 | 1 | 12.50 | 0.749 5 | 0.415 3 |
AB | 6.25 | 1 | 6.25 | 0.374 7 | 0.559 8 |
AC | 1×10-13 | 1 | 1.00×10-13 | 0.000 0 | 1.000 0 |
BC | 4 | 1 | 4.00 | 0.239 8 | 0.639 3 |
A2 | 11.12 | 1 | 11.12 | 0.666 6 | 0.441 1 |
B2 | 19.01 | 1 | 19.01 | 1.140 0 | 0.321 1 |
C2 | 331.6 | 1 | 331.60 | 19.888 0 | 0.002 9* |
残差Residual | 116.8 | 7 | 16.68 | ||
失拟检验Lack of fit | 56.75 | 3 | 18.92 | 1.261 0 | 0.399 9 |
纯差Pure error | 60 | 4 | 15.00 | ||
总离差Cor total | 738.9 | 16 |
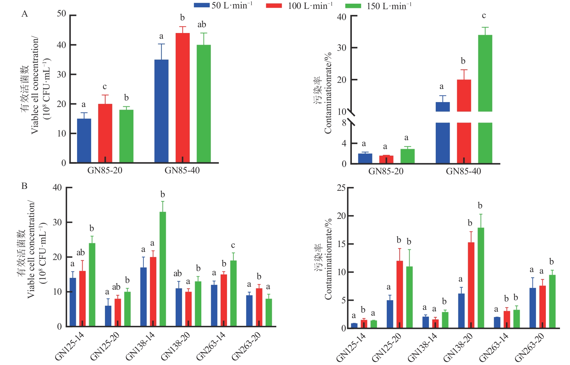
Fig. 3 Culture status of rhizobia and bacillus strains under differnet ventilation volume by DME incubatorA: Final concentration and contamination rate of rhizobia; B: Final concentration and contamination rate of 3 bacillus strains.The culture time is fallowed by strain number. Different lowercase letters indicate significant differences between different treatments at P<0.05 level
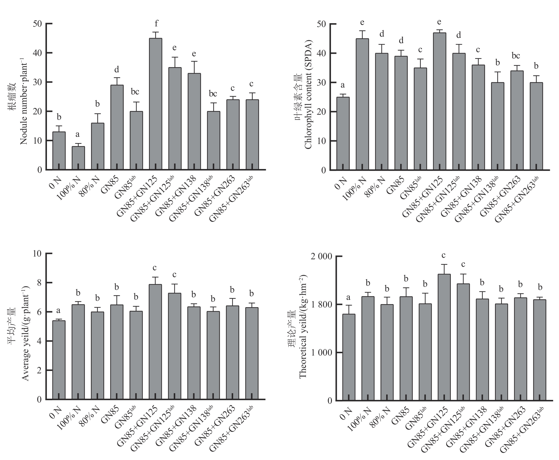
Fig. 4 Effects of the inoculation with DME incubated medium and laboratory pure culture medium on seedling phenotype and final yieldNote: Different lowercase letters indicate significant differences between different treatments at P<0.05 level.
1 | HUNGRIA M, MENDES I C. Nitrogen Fixation with Soybean: The Perfect Symbiosis? Biological Nitrogen Fixation [M]. New York: John Wiley & Sons, 2015: 1009-1024. |
2 | LÓPEZ-GARCÍA S L, PERTICARI A, PICCINETTI C, et al.. In-furrow inoculation and selection for higher motility enhances the efficacy of Bradyrhizobium japonicum nodulation [J]. Agron. J., 2009, 101(2): 357-363. |
3 | TIAN C F, ZHOU Y J, ZHANG Y M, et al.. Comparative genomics of rhizobia nodulating soybean suggests extensive recruitment of lineage-specific genes in adaptations [J]. Proc. Natl. Acad. Sci. USA, 2012, 109(22): 8629-8634. |
4 | 陈文新,汪恩涛.中国根瘤菌[M].北京:科学出版社,2011: 477. |
5 | 韩福成.大豆根瘤菌剂技术的推广应用[J].农民致富之友,2016,23: 68. |
6 | 关大伟,李力,岳现录,等.我国大豆的生物固氮潜力研究[J].植物营养与肥料学报,2014,20(6): 1497-1504. |
GUAN D W, LI L, YUE X L, et al.. Study on potential of biological nitrogen fixation of soybean in China [J]. J. Plant Nutr. Fert., 2014, 20(6): 1497-1504. | |
7 | SCHUMPP O, DEAKIN W J. How inefficient rhizobia prolong their existence within nodules [J]. Trends Plant Sci., 2010, 15(4): 189-195. |
8 | 李彦连,王传雷,徐保民,等.徐豆24大豆根瘤菌共生匹配性筛选及应用[J].大豆科学, 2020,39(4):612-620. |
LI Y L, WANG C L, XU B M, et al.. Screening and application of suitable symbiotic combination between rhizobia and soybean cultivar Xudou 24 [J]. Soybean Sci., 2020, 39(4): 612-620. | |
9 | 管凤贞,邱宏端,陈济琛,等.根瘤菌菌剂的研究与开发现状[J].生态学杂志, 2012,31(3):755-759. |
GUAN F Z, QIU H D, CHEN J C, et al.. Rhizobium inoculants: research progress and development status [J]. Chin. J. Ecol., 2012, 31(3): 755-759. | |
10 | 乔李锦,姚莉,徐冲,等.皖豫高效抗逆大豆根瘤菌Y2-4的选育[J].大豆科学, 2024,43(1):45-53. |
QIAO L J, YAO L, XU C, et al.. Screening of highly efficient and stress-tolerant soybean rhizobium Y2-4 used in Anhui and Henan provinces [J]. Soybean Sci., 2024,43(1):45-53. | |
11 | 李艳萍,张敏,袁梅,等.根瘤菌和复合促生菌对大豆结瘤和生长的影响[J].大豆科学,2017,36(4):583-591. |
LI Y P, ZHANG M, YUAN M, et al.. Influence of combination of rhizobia and compound growth-promoting bacteria on the nodulation and growth of soybean [J]. Soybean Sci., 2017, 36(4): 583-591. | |
12 | CHIBEBA A M, KYEI-BOAHEN S, DE FÁTIMA GUIMARÃES M, et al.. Towards sustainable yield improvement: field inoculation of soybean with Bradyrhizobium and co-inoculation with Azospirillum in Mozambique [J]. Arch. Microbiol., 2020, 202(9): 2579-2590. |
13 | ELSAKHAWY T, GHAZI A, ABDEL-RAHMAN M A. Developing liquid rhizobium inoculants with enhanced long-term survival, storage stability, and plant growth promotion using ectoine additive [J]. Curr. Microbiol., 2021, 78(1): 282-291. |
14 | 王鹏辉,姜昕,马鸣超,等.一株耐干燥大豆根瘤菌菌株的筛选与固氮效果评价[J].大豆科学,2020,39(1):90-96. |
WANG P H, JIANG X, MA M C, et al.. Screening of drought-tolerant soybean rhizobium and its symbiotic compatibility verification [J]. Soybean Sci., 2020, 39(1): 90-96. | |
15 | KECSKES M L, CHOUDHURY A T M A, CASTERIANO A V, et al.. Effects of bacterial inoculant biofertilizers on growth, yield and nutrition of rice in Australia [J]. J. Plant Nutr., 2016, 39(3): 377-388. |
16 | 韦中,杨天杰,任鹏,等.合成菌群在根际免疫研究中的现状与未来 [J].南京农业大学学报,2021,44(4):597-603. |
WEI Z, YANG T J, REN P, et al.. Advances and perspectives on synthetic microbial community in the study of rhizosphere immunity [J]. J. Nanjing Agric. Univ., 2021, 44(4): 597-603. | |
17 | HUBÁLEK Z. Protectants used in the cryopreservation of microorganisms [J]. Cryobiology, 2003, 46(3): 205-229. |
18 | ALONSO S. Novel Preservation Techniques for Microbial Cultures. Novel Food Fermentation Technologies. Food Engineering Series [M]. Cham: Springer, 2016: 7-33. |
[1] | Haiyan LI, Ting ZHANG, Xinchang LI, Ling ZHANG, Pei WANG, Minhu BAO. Screening and Identification of a Strain of Bacillus velezensis Against Botrytis cinerea [J]. Journal of Agricultural Science and Technology, 2025, 27(8): 110-118. |
[2] | Haili LI, Fan YANG, Jianhao CHEN, Kang YANG, Yiping YANG, Jingang DUAN, Bin LI, Wanqi ZHANG, Chunjiang MA. Analysis of Bacteriostasis Activity of Paenibacillus sp. Against Super Drug-resistant Escherichia coli Carrying NDM Genes [J]. Journal of Agricultural Science and Technology, 2025, 27(8): 119-131. |
[3] | Jiao WANG, Wenqiao LI, Fengying SHEN, Yaning LI, Daqun LIU. Synergistic Effect of Combination of Antagonists and Chemical Fungicides on Atractylodes macrocephala Blight Disease [J]. Journal of Agricultural Science and Technology, 2025, 27(4): 133-139. |
[4] | Ruoheng JIN, Xiaoyu LI, Jingwu YAO, Beibei WANG, Chunxia CAO, Daye HUANG. Effects of Bacillus thuringiensi on Intestinal Bacteria in Ectropis obliqua [J]. Journal of Agricultural Science and Technology, 2025, 27(2): 141-149. |
[5] | Zhikang SUN, Liqun LI, Jie HAO, Han WU, Na WU, Chao ZHENG, Qiang JI, Xuanwen LI, Chen CHEN. Recent Advances of CRISPR-Cas System in Genome Editing of Bacillus subtilis [J]. Journal of Agricultural Science and Technology, 2025, 27(2): 24-32. |
[6] | Linbo SHI, Qing PENG, Xiaoqing XU, Yuwei ZHANG, Shuo YANG, Dandan TIAN, Mengxin HE, Bo SHI, Yu QIAO. Effects of Co-culture of Lactobacillus casei NA-2 and Lactobacillus rhamnosus LGG on Antibacterial Activity [J]. Journal of Agricultural Science and Technology, 2024, 26(6): 63-71. |
[7] | Chunping HE, Lanyan FAN, He WU, Yanqiong LIANG, Weihuai WU, Rui LI, Fucong ZHENG. Study on Inhibitory Effect of Lipopeptides Produced by Bacillus subtilis Czk1 on Anthracnose and Powdery Mildewof Rubber Tree [J]. Journal of Agricultural Science and Technology, 2023, 25(6): 126-134. |
[8] | Xiaoxia DING, Shengjun MA, Wenfeng CHEN, Aogang ZHANG, Hongchao YU, Yilihanmujiang Jiapaer. Effects of Rhizobia Inoculated On Content of Main Active Ingredients in Licorice and Multivariate Statistical Analysis [J]. Journal of Agricultural Science and Technology, 2023, 25(3): 212-220. |
[9] | Yingchao NIU, Xing WANG, Qingyun GUO, Xiaohua DAI, Xiaoyong YUAN, Lin CHEN. Identification and Antifungal Activity of a Bacteria Strain Against Rhizoctonia solani [J]. Journal of Agricultural Science and Technology, 2023, 25(12): 138-144. |
[10] | Bianqing HAO, Liping MA, Yongsheng ZHAO, Wenxin SHI, Jianxiong WANG, Yuchuan JING. Effect of BC98-Ⅰ and B96-Ⅱ Fermentation Broth on Potato Disease Prevention and Growth and Its Effect on Soil Enzyme Activity [J]. Journal of Agricultural Science and Technology, 2022, 24(8): 116-123. |
[11] | Congcong MA, Zehua LUO, Bin CAI, Haobao LIU, Yunshan WANG, Rui MA, Jingang GU. Screening of Carbon Sources for Growth and Spore Formation of Bacillus altitudinis YC-9 [J]. Journal of Agricultural Science and Technology, 2022, 24(7): 77-85. |
[12] | Tianwei PENG, Huiya XIE, Sijun LI, Yixuan LIU, Kaifeng SHUAI, Yuanyuan PENG, Qing WANG, Diqin LI. Effects of Sodium Dinitrate with Bacillus Sbutilis Complex on Growth and Physiological Indexes of Tobacco Seedlings [J]. Journal of Agricultural Science and Technology, 2022, 24(4): 154-161. |
[13] | Yanqiong LIANG, Rui LI, Weihuai WU, Jingen XI, Shibei TAN, Xing HUANG, Ying LU, Chunping HE, Kexian YI. Inhibitory Mechanism of Volatilized Active Components from Bacillus subtilis Czk1 on Ganoderma pseudoferreum [J]. Journal of Agricultural Science and Technology, 2022, 24(2): 152-159. |
[14] | Mengshi PAN, Wenyang GUO, Liuzhu ZHOU, Li DENG, Jianli MIAO, Hongguang XU, Zongyuan ZHANG, Landa QI. Evaluation of Efficacy in Field and Mechanism of Bacillus velezensis Agents for Controling Peanut Stem Rot Caused by Sclerotium rolfsii [J]. Journal of Agricultural Science and Technology, 2022, 24(11): 130-136. |
[15] | Yin HUANG, Qing PENG, Quan WANG, Xiaoqing XU, Yuwei ZHANG, Lan MA, Bo SHI, Yu QIAO. [J]. Journal of Agricultural Science and Technology, 2022, 24(1): 202-210. |
Viewed | ||||||
Full text |
|
|||||
Abstract |
|
|||||