Journal of Agricultural Science and Technology ›› 2023, Vol. 25 ›› Issue (3): 132-139.DOI: 10.13304/j.nykjdb.2022.0880

• ANIMAL AND PLANT HEALTH • Previous Articles     Next Articles

Expression and Characterization of Enzymes for Polyethylene Degradation in the Gut of Galleria mellonella L. larvae

Chunyu LIU1,2(), Lina MEN1, Yaqin LIAN1, Yuhong ZHANG2(), Zhiwei ZHANG1(), Wei ZHANG2   

  1. 1.College of Forestry,Shanxi Agricultural University,Shanxi Jinzhong 030801,China
    2.Bitotechnology Research Institute,Chinese Academy of Agricultural Sciences,Beijing 100081,China
  • Received:2022-10-17 Accepted:2022-11-27 Online:2023-03-15 Published:2023-05-22
  • Contact: Yuhong ZHANG,Zhiwei ZHANG

大蜡螟幼虫肠道微生物聚乙烯降解酶基因的表达及性质分析

柳春雨1,2(), 门丽娜1, 连雅琴1, 张宇宏2(), 张志伟1(), 张伟2   

  1. 1.山西农业大学林学院,山西 晋中 030801
    2.中国农业科学院生物技术研究所,北京 100081
  • 通讯作者: 张宇宏,张志伟
  • 作者简介:柳春雨 E-mail:1792505350@qq.com
  • 基金资助:
    中央级公益性科研院所基本科研业务费专项(Y2019XK09);山西省基础研究计划(自由探索类)青年科学研究项目(20210302124155)

Abstract:

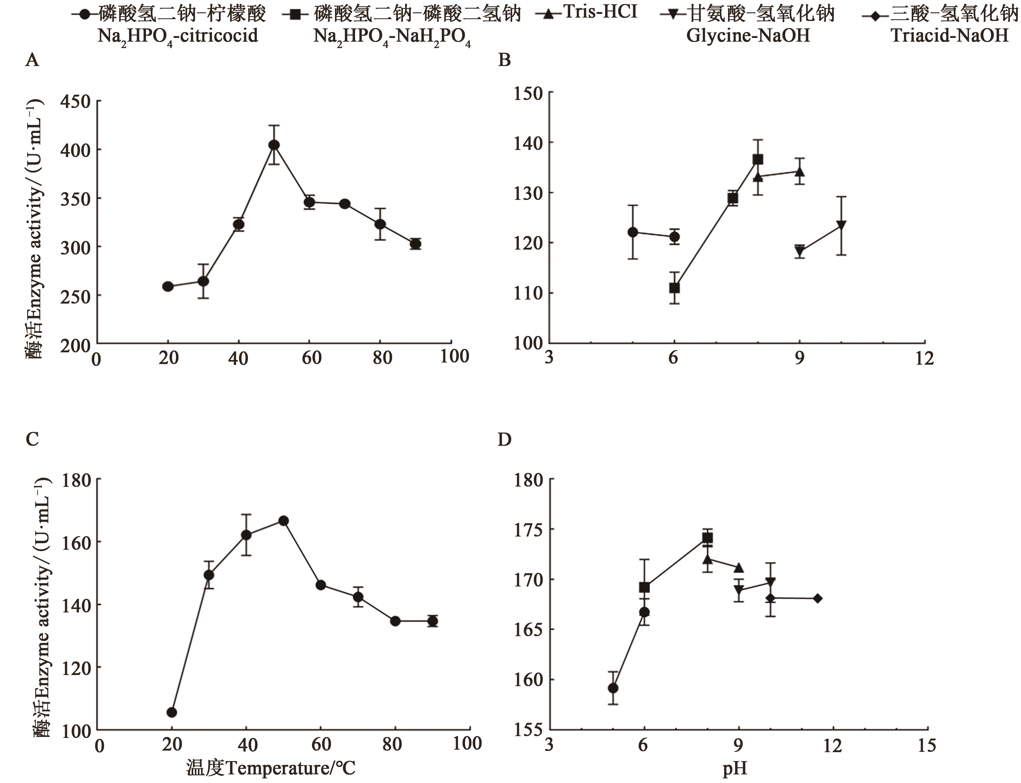
Polyethylene (PE) is one of the most widely used plastic, which has stable structure, difficult to degrade and causes great pollution to the environment. In this study, the changes of PE in gut of Galleria mellonella L. larvae were investigated, the appearance of carbonyl (C-O) and hydroxyl (R-OH) functional groups indicated that the long chain structure in PE plastic film was depolymerized. Based on culture-independent method, high-throughput metagenomic and metaproteomic analysis of the microorganism in the intestinal contents of Galleria mellonella L., two PE degrading enzyme encoding genes, POD8747 and Ahpc5341, were identified. Heterologous expression, purification and characterization were performed for both genes in Escherichia coli. The results showed the optimal temperature and optimal pH for both POD8747 and AhpC5341 were 50 ℃ and 8.0, respectively. The purified enzyme was evaluated for biodegradation of PE, after treated by POD8747 and AhpC5341, the PE film’s hydrophilicity increased and its contact angle of the PE film decreased from 100° to (90.07±3.45) and (91.73±1.70)°, respectively. These results indicated that POD8747 and AhpC5341 could exert surface oxidation ability in PE degradation, and could be used for PE degradation along with other enzymes in future.

Key words: polyethylene, Galleria mellonella L., gut microbiota, peroxidase, biodegradation

摘要:

聚乙烯(polyethylene, PE)塑料结构稳定,难以自然降解,对环境造成严重污染。大蜡螟(Galleria mellonella L.)幼虫取食聚乙烯后,排泄物出现羰基(C-O)和羟基(R-OH)官能团,能够使PE膜长链结构发生解聚。为研究其原理,基于免培养技术,对大蜡螟幼虫肠道内容物进行宏基因组和宏蛋白质组分析,挖掘得到2个潜在新PE降解酶基因POD8747AhpC5341,并在大肠杆菌表达系统中进行了异源表达、纯化和初步性质分析。结果表明,重组POD8747和AhpC5341的最适温度均为50 ℃,最适pH均为8.0。经POD8747和AhpC5341处理后的PE膜亲水性增加,且其接触角从100?分别降低到(90.07±3.45)和(91.73±1.70)?。以上结果表明,POD8747和AhpC5341在PE降解中能够发挥表面氧化能力,从而促进其他酶进一步降解PE。

关键词: 聚乙烯, 大蜡螟, 肠道微生物, 过氧化物酶, 生物降解

CLC Number: