Journal of Agricultural Science and Technology ›› 2022, Vol. 24 ›› Issue (7): 108-116.DOI: 10.13304/j.nykjdb.2021.0408
• INTELLIGENT AGRICULTURE & AGRICULTURAL MACHINERY • Previous Articles Next Articles
Jie ZHENG(), Hong CHEN(
), Lingjian MENG, Shanjun LI, Luchang MA
Received:
2021-05-13
Accepted:
2021-08-23
Online:
2022-07-15
Published:
2022-08-15
Contact:
Hong CHEN
通讯作者:
陈红
作者简介:
郑杰 E-mail:1424080052@qq.com;
基金资助:
CLC Number:
Jie ZHENG, Hong CHEN, Lingjian MENG, Shanjun LI, Luchang MA. Effect of Different Emitter Types on Anti-clogging Performance of Biogas Slurry Concentrations[J]. Journal of Agricultural Science and Technology, 2022, 24(7): 108-116.
郑杰, 陈红, 孟令剑, 李善军, 马露畅. 不同类型灌水器滴头对沼液抗堵塞性能的影响[J]. 中国农业科技导报, 2022, 24(7): 108-116.
Add to citation manager EndNote|Ris|BibTeX
URL: https://nkdb.magtechjournal.com/EN/10.13304/j.nykjdb.2021.0408
参数Parameter | 值Value |
---|---|
pH | 8.2±0.1 |
总固体Total soilds/ % | 0.50±0.02 |
挥发性固体Volatile solids/ % | 0.030±0.002 |
化学需氧量Chemical oxygen demand/(mg∙L-1) | 2 896.5±120.5 |
浊度Turbidity/NTU | 621.2±13.4 |
电导率Conductivity/(μs∙cm-1) | 2 875.7±13.2 |
Ca/(mg∙kg-1) | 489.075 |
Cu/(mg∙kg-1) | 24.675 |
Fe/(mg∙kg-1) | 5.200 |
K/(mg∙kg-1) | 1 852.675 |
Mg/(mg∙kg-1) | 1 8153.75 |
Mn/(mg∙kg-1) | 62.950 |
Table 1 Composition of biogas slurry and basic parameter of main metal element
参数Parameter | 值Value |
---|---|
pH | 8.2±0.1 |
总固体Total soilds/ % | 0.50±0.02 |
挥发性固体Volatile solids/ % | 0.030±0.002 |
化学需氧量Chemical oxygen demand/(mg∙L-1) | 2 896.5±120.5 |
浊度Turbidity/NTU | 621.2±13.4 |
电导率Conductivity/(μs∙cm-1) | 2 875.7±13.2 |
Ca/(mg∙kg-1) | 489.075 |
Cu/(mg∙kg-1) | 24.675 |
Fe/(mg∙kg-1) | 5.200 |
K/(mg∙kg-1) | 1 852.675 |
Mg/(mg∙kg-1) | 1 8153.75 |
Mn/(mg∙kg-1) | 62.950 |
滴头编号 Emitter number | 滴头类型 Emitter type | 额定流量 Rated flow/(L·h-1) | 额定压力 Rated pressure/kPa | 长×宽×深 Length×width×depth/mm | 制造偏差系数 Manufacture warp coefficient/% |
---|---|---|---|---|---|
E1 | 片式plate | 2.0 | 160 | 54.2×1.12×0.82 | 2.3 |
E2 | 片式plate | 3.0 | 180 | 36.8×1.18×0.93 | 2.8 |
E3 | 圆柱cylinder | 2.0 | 180 | 162.63×1.12×0.83 | 4.2 |
E4 | 圆柱cylinder | 3.0 | 180 | 187.83×1.33×1.15 | 4.1 |
E5 | 片式补偿plate-compensation | 2.4 | 350 | 43.32×1.26×0.85 | 2.1 |
Table2 Basic parameters of irrigation emitter
滴头编号 Emitter number | 滴头类型 Emitter type | 额定流量 Rated flow/(L·h-1) | 额定压力 Rated pressure/kPa | 长×宽×深 Length×width×depth/mm | 制造偏差系数 Manufacture warp coefficient/% |
---|---|---|---|---|---|
E1 | 片式plate | 2.0 | 160 | 54.2×1.12×0.82 | 2.3 |
E2 | 片式plate | 3.0 | 180 | 36.8×1.18×0.93 | 2.8 |
E3 | 圆柱cylinder | 2.0 | 180 | 162.63×1.12×0.83 | 4.2 |
E4 | 圆柱cylinder | 3.0 | 180 | 187.83×1.33×1.15 | 4.1 |
E5 | 片式补偿plate-compensation | 2.4 | 350 | 43.32×1.26×0.85 | 2.1 |
滴头编号 Emitter number | 沼液配比1∶1 Biogas ratio 1∶1 | 沼液配比1∶3 Biogas ratio 1∶3 | ||
---|---|---|---|---|
拟合关系式 Fitting relation | R2 | 拟合关系式 Fitting relation | R2 | |
E1 | y=0.79x+21.78 | 0.972 | y=0.73x+25.84 | 0.973 |
E2 | y=0.61x+38.84 | 0.941 | y=0.71x+25.11 | 0.982 |
E3 | y=0.74x+24.29 | 0.983 | y=0.88x+10.81 | 0.933 |
E4 | y=0.68x+30.92 | 0.964 | y=0.65x+32.68 | 0.981 |
E5 | y=0.81x+20.58 | 0.912 | y=0.89x+10.53 | 0.976 |
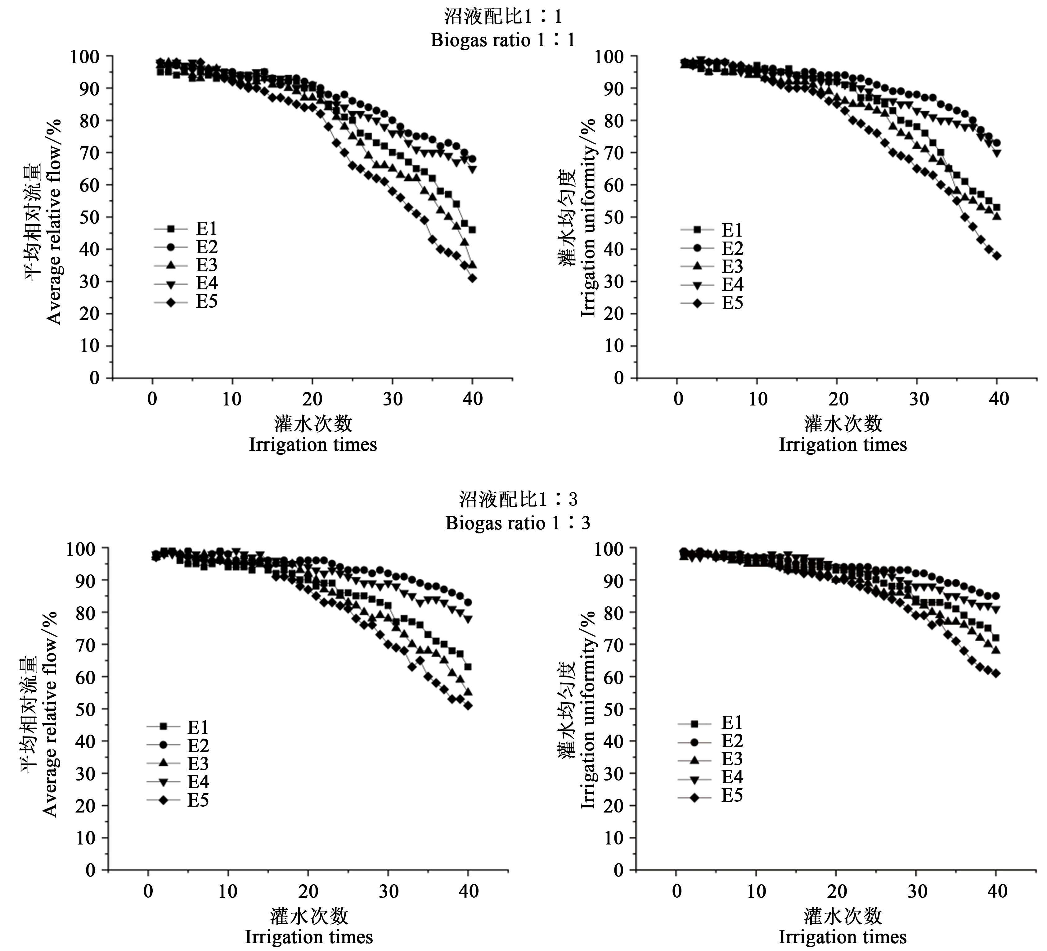
Table3 Fitting relation of average relative discharge and irrigation uniformity
滴头编号 Emitter number | 沼液配比1∶1 Biogas ratio 1∶1 | 沼液配比1∶3 Biogas ratio 1∶3 | ||
---|---|---|---|---|
拟合关系式 Fitting relation | R2 | 拟合关系式 Fitting relation | R2 | |
E1 | y=0.79x+21.78 | 0.972 | y=0.73x+25.84 | 0.973 |
E2 | y=0.61x+38.84 | 0.941 | y=0.71x+25.11 | 0.982 |
E3 | y=0.74x+24.29 | 0.983 | y=0.88x+10.81 | 0.933 |
E4 | y=0.68x+30.92 | 0.964 | y=0.65x+32.68 | 0.981 |
E5 | y=0.81x+20.58 | 0.912 | y=0.89x+10.53 | 0.976 |
1 | 毕婷婷,胡涵,刘丽春,等.沼液施用对核桃高效生产的影响研究[J].东北农业科学,2020,45(6):119-121, 128. |
BI T T, HU H, LIU L C, et al.. Effect of biogas application on high effcient production of walnut [J]. Northeast Agric. Sci., 2020, 45(6):119-121, 128. | |
2 | 孟清波,张谨薇,马万成,等.沼渣沼液肥对辣椒生长发育·果实品质及产量的影响[J].安徽农业科学,2020,48(23):190-193. |
MENG Q B, ZHANG J W, MA W C, et al.. Effects of biogas slurry fertilizer on growth and development, fruit quality and yield nof chili [J]. Anhui Agric. Sci., 2020, 48(23):190-193. | |
3 | 杨清霖,杨向德,石元值,等.茶园滴灌与水肥一体化技术研究[J].茶叶学报,2019,242(1):36-41. |
YANG Q L, YANG X D, SHI Y Z, et al.. Fertigation for tea plantations [J]. Acta Tea Sin., 2019, 242(1):36-41. | |
4 | 杜文波.日光温室番茄应用滴灌水肥一体化技术初探[J].山西农业科学,2009,37(1):58-60. |
DU W B. Effects of drip fertigation on tomato in the solar greenhouse [J]. Shanxi Agric. Sci., 2009, 37(1):58-60. | |
5 | 闫大壮,杨培岭,李云开,等.再生水滴灌条件下滴头堵塞特性评估[J].农业工程学报,2011,27(5):19-24. |
YAN D Z, YANG P L, LI Y K, et al.. Evaluation of drip emitter clogging with reclaimed wastewater irrigation [J]. Trans. Chin. Soc. Agric. Eng., 2011, 27(5):19-24. | |
6 | 温圣林,牛文全,邬梦龙,等.浑水滴灌过程中不同类型滴头堵塞的动态变化特征[J].农业机械学报,2020,51(3):287-294. |
WEN S L, NIU W Q, WU M L, et al.. Dynamic characteristics of different emitters clogging in drip irrigation with muddy water [J]. Trans. Chin. Soc. Agric. Mach., 2020, 51(3):287-294. | |
7 | 李久生,陈磊,栗岩峰.加氯处理对再生水滴灌系统灌水器堵塞及性能的影响[J].农业工程学报,2010,26(5):7-13. |
LI J S, CHEN L, LI Y F. Effect of chlorination on emitter clogging and system performance for drip irrigation with sewage effluent [J]. Trans. Chin. Soc. Agric. Eng., 2010, 26(5):7-13. | |
8 | ZHOU B, LI Y K, SONG P, et al.. Anti-clogging evaluation for drip irrigation emitters using reclaimed water [J]. Irrig. Sci., 2017, 35(3):181-192. |
9 | 刘海军,黄冠华,王鹏超,等.再生水滴灌对滴头堵塞的影响[J].农业工程学报,2009,25(9):15-20. |
LIU H J, HUANG G H, WANG P C, et al.. Effect of drip irrigation with reclaimed water on emitter clogging [J]. Trans. Chin. Soc. Agric. Eng., 2009, 25(9):15-20. | |
10 | 丁京涛,沈玉君,孟海波,等.沼渣沼液养分含量及稳定性分析[J].中国农业科技导报,2016,18(4):139-146. |
DING J T, SHEN Y J, MENG H B, et al.. Nutrition contents and its stability analysis of biogas residue and slurry [J]. J. Agric. Sci. Technol., 2016 18(4):139-146. | |
11 | 王小彬,闫湘,李秀英.畜禽粪污厌氧发酵沼液农用之环境安全风险[J].中国农业科学,2021,54(1):110-139. |
WANG X B, YAN X, LI X Y. Environment safety risk for application of anaerobic fermentation biogas slurry from livestock manure in agricultural land China [J]. Sci. Agric. Sin., 2021, 54(1):110-139. | |
12 | 盛婧,徐乔,朱普平,等.基于分级过滤的喷灌用沼液颗粒物组成分析[J].农业工程学报,2016,32(8):212-216. |
SHENG J, XU Q, ZHU P P, et al.. Composition analysis of particles filtered from biogas slurry by sieves with different mesh for sprinkling irrigation [J]. Trans. Chin. Soc. Agric. Eng., 2016, 32(8):212-216. | |
13 | 席奇亮,葛国锋,周方,等.2种滴灌带灌水均匀度对铺设长度和进水压力的响应[J].灌溉排水学报,2018,37(3):78-83. |
XI Q L, GE G F, ZHOU F, et al.. Responses of irrigation uniformity of two types of drip irrigation belts to inlet pressure and laying length [J]. J. Irrig. Dra, 2018, 37(3):78-83. | |
14 | LIU Z, XIAO W, LI Y, et al.. Influence of operating pressure on emitter anti-clogging performance of drip irrigation system with high-sediment water [J]. Agric. Water Manage., 2019, 213:174-184. |
15 | 陈红,夏彬芸,邵显,等.沼液滴灌系统灌水器堵塞模型构建及系统参数优化[J].农业工程学报,2020,36(3):99-106. |
CHEN H, XIA B Y, SHAO X, et al.. Development of emitter clogging predication for drip irrigation system with biogas slurry and optimization of its system parameters [J]. Trans. Chin. Soc. Agric. Eng., 2020, 36(3):99-106. | |
16 | 周博.滴灌系统灌水器生物堵塞特性,评估及机理研究[D].北京:中国农业大学,2016. |
ZHOU B. Characteristics, evaluation and mechanism of biological-clogging process in drip irrigation emitters [D]. Beijing: China Agriculture University, 2016. | |
17 | RAVINA E, PAZ Z, SOFER A, et al.. Control of emitter clogging in drip irrigation with reclaimed wastewater [J]. Irrig. Sci., 1992, 13(3):129-139. |
18 | RAVINA E, PAZ Z, SOFER A, et al.. Control of clogging in drip irrigation with stored treated municipal sewage effluent [J]. Agric. Water Manage., 1997, 33(2-3):127-137. |
19 | PUIG-BARGUE J, ARBA G, BARRAGAN J, et al.. Hydraulic performance of drip irrigation subunits using WWTP effluents [J]. Agric. Water Manage., 2004, 77(1):249-262. |
20 | 陈慧芳.微咸水灌溉陶瓷灌水器堵塞规律及控制措施研究[D].杨凌:西北农林科技大学,2020. |
CHEN H F. Rule of the ceramic emitters clogging under irrigation with saline water and its prevention measures [D]. Yangling: Northwest A&F University, 2020. | |
21 | KUMAR M, ADHAM S S, PEARCE W R. Investigation of seawater reverse osmosis fouling and its relationship to pretreatment type [J]. Environ. Sci. Technol., 2006, 40(6):2037-2044. |
22 | 李彬,王志伟,安莹,等.膜-生物反应器处理高盐废水膜面污染物特性研究[J].环境科学,2014,35(2):643-650. |
LI B, WANG Z W, AN Y, et al.. Membrane surface fouling properties in MBRs for high-salinity wastewater treatment [J]. Chin. J. Environ. Sci., 2014, 35(2):643-650. | |
23 | 薛怡亭,党岩,郭慧雯,等.外置管式MBR处理垃圾焚烧渗沥液中的膜污染[J].环境工程学报,2015,9(3):1269-1275. |
XUE Y T, DANG Y, GUO H W, et al.. Membrane fouling of recirculated tubular MBR treating leachate from MSW incineration plant [J]. J. Chin. Environ. Eng., 2015, 9(3):1269-1275. | |
24 | 翁诗甫.傅里叶变换红外光谱分析[M].北京:化学工业出版社,2010:1-508. |
WENG S F. Fourier Transform Infrared Spectroscopy [M]. Beijing: Chemical Industry Press, 2010:1-508. | |
25 | 张钟莉莉. 微咸水滴灌系统灌水器化学堵塞机理及控制方法研究[D].北京:中国农业大学,2016. |
ZHANG Z L L. Mechanism of the emitters chemical-clogging under drip irrigation with saline and its preventation methods [D]. Beijing: China Agriculture University, 2016. | |
26 | 冯吉.引黄滴灌系统泥沙逐级调控机制及方法研究[D].北京:中国农业大学,2017. |
FENG J. Step regulation mechanism and method of sediment in drip irrigation system with yellow river water [D]. Beijing: China Agricultural University, 2017. | |
27 | 吴显斌,吴文勇,刘洪禄,等.再生水滴灌系统滴头抗堵塞性能试验研究[J].农业工程学报,2008,24(5):61-64. |
WU X B, WU W Y, LIU H L, et al.. Experimental study on anti-clogging performance of emitters for reclaimed wastewater irrigation [J]. Trans. Chin. Soc. Agric. Eng., 2008, 24(5):61-64. | |
28 | 李小东,张凤华,朱煜.新疆南疆典型地区农业灌溉水质与土壤盐渍化关系的研究[J].新疆农业科学,2016,53(7):1260-1267. |
LI X D, ZHANG F H, ZHU Y. Agricultural irrigation water quality and soil salinization in typical areas of Southern Xinjiang [J]. Xinjiang Agric. Sci., 2016, 53(7):1260-1267. | |
29 | 刘燕芳,吴普特,朱德兰,等.滴灌条件下水的硬度对滴头堵塞的影响[J].农业工程学报,2015,31(20):95-100. |
LIU Y F, WU P T, ZHU D L, et al.. Effect of water hardness on emitter clogging of drip irrigation [J]. Trans. Chin. Soc. Agric. Eng., 2015, 31(20):95-100. | |
30 | 吴泽广,牛文全.泥沙级配对迷宫流道滴头堵塞及毛管内泥沙沉积的影响[J].西北农林科技大学学报(自然科学版),2014,42(5):223-228. |
WU Z G, NIU W Q. Influence of sediment composition on clogging of labyrinth channels emitters and deposition in emitter-pipe [J]. J. Northwest Sci-Tech Univ. Agric. For. (Nat. Sci.), 2014, 42(5):223-228. | |
31 | 李云开,周博,杨培岭.滴灌系统灌水器堵塞机理与控制方法研究进展[J].水利学报,2018,49(1):103-114. |
LI Y K, ZHOU B, YANG P L. Research advances in drip irrigation emitter clogging mechanism and controlling methods [J]. J. Hydraul. Eng., 2018, 49(1):103-114. | |
32 | 夏彬芸,陈红,李善军,等.滴灌条件下水溶性肥料对灌水器堵塞影响[J].中国农业科技导报,2019,21(7):120-127. |
XIA B Y, CHEN H, LI S J, et al.. Effect of emitter clogging on water-soluble fertilizer in drip irrigation system [J]. J. Agric. Sci. Technol., 2019, 21(7):120-127. | |
33 | 李康勇,牛文全,张若婵,等.施肥对浑水灌溉滴头堵塞的加速作用[J].农业工程学报,2015,31(17):81-90. |
LI K Y, NIU W Q, ZHANG R C, et al.. Accelerative effect of fertigation on emitter clogging by muddy water irrigation [J]. Trans. Chin. Soc. Agric. Eng., 2015, 31(17):81-90. | |
34 | 刘璐,牛文全,武志广,等.施肥滴灌加速滴头堵塞风险与诱发机制研究[J].农业机械学报,2017,48(1):228-236. |
LIU L, NIU W Q, WU Z G, et al.. Risk and inducing mechanism of acceleration emitter clogging with fertigation through drip irrigation systems [J]. Trans. Chin. Soc. Agric. Mach., 2017, 48(1):228-236. | |
35 | 陈珂莉,李朋,金伟,等.排水管道沉积物中胞外聚合物的提取及检测方法研究[J].中国给水排水,2018,34(7):32-36. |
CHEN K L, LI P, JIN W, et al.. Extraction and detection method of extracellular polymeric substance (EPS) in sediment of sewage system [J]. China Water Wastewater, 2018, 34(7):32-36. | |
36 | 马晓鹏,龚时宏,王建东,等.额定压力及低压下内镶片式滴头抗堵塞性能试验[J].农业机械学报,2011,42(7):86-90, 134. |
MA X P, GONG S H, WANG J D, et al.. Anti-clogging performance of dental labyrinth emitters under rated pressure and low operating pressure [J]. Trans. Chin. Soc. Agric. Mach., 2011, 42(7):86-90, 134. |
[1] | ZHAO Wan-hua . The key technology of drip irrigation system [J]. , 2007, 9(1): 21-25. |
Viewed | ||||||
Full text |
|
|||||
Abstract |
|
|||||